Metoda de planificare a extinderii sistemului de transport folosind criteriul probabilistic pentru siguranta in functionare
Abstract – Acest document
propune alegerea unei metode de planificare a extinderii sistemului de
transport folosind criteriul probabilistic pentru siguranta in functionare
.
Metoda minimizeaza bugetul de
investitii pentru constructia unor noi linii electrice, luand in considerare criteriul
probabilistic pentru siguranta in functionare, care cuprinde probabilitatea de
defect a elementelor sistemului de transport. Se folosesc ca si conditii doua criterii
probabilistice pentru siguranta in functionare: prima conditie este un criteriu
pentru siguranta in functionare a sistemului de transport
, si cealalta conditie este criteriu
pentru siguranta in functionare a unui nod
. Metoda propusa modeleaza problema
extinderii sistemului de transport, ca o problema de programare in numere
intregi. Metoda gaseste solutia optima folosind o metoda probabilistica pentru
axele si ramurile sistemului, care foloseste o retea pentru aproximarea
fluxului (curentului) si o teoremaIn
acest document sunt incluse rezultatele testului pentru un sistem cu 21 de
noduri. Rezultatele arata rezistenta metodei propuse pentru rezolvarea problemei
de planificare a extinderii sistemului de transport, luand in considerare
probabilitatea de defect a viitoarelor elemente ale sistemului.
I. INTRODUCERE
Planificarea extinderii sistemului de transport cu acces direct la sistemul de transport a devenit o problema importanta in industria energiei electrice in ultimii ani. Accesul pietei de energie a translatat industria de la pietele conventionale de energie la cele competitive. Intr-o piata competitiva, pretul energiei livrate si calitatea energiei furnizate, incluzand calitatea tensiunii si siguranta in functionare, sunt principalii factori pentru succesul in afaceri. Un factor cheie in actualul mediu competitiv este orientarea catre nevoile clientilor si bunavointa de a plati pentru caliatate. Planificarea extinderii sistemului de transport scoate in evidenta problema extinderii si consolidarii generarii existente si a retelei de transport pentru aprovizionarea oprima a pietei de energie, cat timp sunt satisfacute o serie de constante economice si tehnice. Problema consta in minimizarea costurilor pana la un nivel limita de siguranta. S-au folosit diferite tehnici incluzand analiza sensibilitatii ramurilor si axelor sistemului, descompunerea Bender, simularea regenerarii, algoritmii generici, cautaru tabu, si procedura de cautare adaptativa si aleatoare de tip greedy (GRASP). Este dificila obtinerea solutiei optime pentru un 525b15f sistem electroenergetic complex, considerand simultan in sistemul actual transformatoarele si liniile electrice, si prin urmare, planificarea extinderii sistemului de transport se face de obicei dupa generarea planificarii extinderii. Criteriul deterministic al sigurantei in functionare, cum ar fi criteriul de contingenta N-1 sau N-2 si conditiile de incarcare a circuitului de echilibrare sunt folosite in majoritatea sistemelor de transport si planificarii extinderii sistemului electroenergetic complex datorita problemelor date de timpul de calcul. Iesirile recente din functiune aparute in tarile indepartate, cer intensificarea structurii retelei in scopul restabilirii cu succes a pietei liberalizate de energie. Incidentele necesita dezvoltarea echipamentelor, ceea ce duce la incertirudini si sporeste semnificativ abilitatea de coordonare efectiva a planificarii transportului. Capacitatea de transfer disponibila (ATC) este un parametru cheie, care indica abilitatea sistemului electroenergetic de a creste garantat(sigur), puterea transferata intre doua zone sau doua puncte. NERC sugereaza folosirea criteriului sigurantei de transfer (TRC), bazat pe ARC pentru producerea si planificarea sistemului de transport a ISO. TRC se bazeaza pe conceptul criteriului deterministic de contingenta N-1. A fost folosit numai pentru planificarea sistemului de transport, in medii stabile. Recent a fost propusa o metodologie probabilistica a capacitatii de transfer.
De obicei, problema planificarii extinderii sistemului electroenergetic, este analizata folosind o macroaproximare si apoi o microaproximare considerand caracteristicile de stabilitate si cele dinamice a noului sistem. Intr-un mediu neregulat, se asteapta ca utilitatile electrice sa fie in fruntea competitiei. Efectul asupra succesului pietei de energie, intr-un astfel de mediu depinde de sistemul de transport si de managementul sigurantei nodale. Deci, pietele de energie neregulate, cer indici nodali de baza in sistemul de producere si planificare. Indicii de siguranta nodala impreuna cu informatii asemanatoare pot fi folositi pentru managementul si controlul congestiei si sigurantei de ISO si TRANSCO pe pietele liberalizate. Este important ca aceste piete invecinate sa estimeze si sa asigure criterii de siguranta rezonabile in punctele de sarcina. Intr-un astfel de mediu, indicii de siguranta probabilistici devin parametrii importanti in extinderea sistemului de transport.
Cumuland, pe o piata
competitiva de energie, bugetul de investitii pentru constructii, ea variaza
mai mult si creste probabilitatea de defectare a sigurantei de transfer a
sistemului de transport. Aceasta se datoreaza preocuparii principale: cresterea
profitului pentru detinatorul sistemului, in timp ce pentru un sistem
electroenergetic conventional, preocuparea principala este sa furnizeze energie
clientilor, la un pret bun si cu grad acceptabil de continuitate si calitate.
Se asteapta ca producatorii si proprietarii de sisteme sa evalueza parametrii
economici si de siguranta, folosind mai multe detalii pentru planificarea
retelei, unde problema implica nenumarate probabilitati de defectare, incluzand
bugetul de investitii, criteruil de siguranta, prognoza sarcinii si
caracteristicile sistemului. Dezvoltarea unui plan de extindere care cuprinde
toate informatiile intr-o maniera practica si efectiva este o provocare. La
astfel de circumstante incerte, metodologiile bazate pe teoria multimilor vagi
si pe aproximarea probabilistica, devin ctractive si folositoare pentru
indeplinirea sarcinii. Prima metoda este atractiva pentru ca experienta si
cunostintele expertilor, si hotararea pietei pot fi de mare folos in lupta cu
problema ambiguitatii subiective a planificarii. Documentul este de asemenea
valoros, deoarece cuprinde probabilitati de defect obiective, cum ar fi :
duratele de iesire fortata din functiune
, ale sistemului electroenergetic.
Acest document propune o
metoda noua pentru alegerea celui mai bun plan de extindere a sistemului de
transport, folosind un criteriu probabilistic a sigurantei in functionare
pentru sistemul de transport
. Se folosesc ca si conditii doua criterii
probabilistice pentru siguranta in functionare: prima conditie este un criteriu
pentru siguranta in functionare a sistemului de transport, care solicita
probabilitatea pierderii de sarcina la nivelul sistemului de transport
, si cealalta conditie este criteriu
pentru siguranta in functionare a unui nod, care solicita probabilitatea
pierderii de sarcina la nivelul unui nod
. Metoda propusa minimizeaza bugetul de
investitii pentru construirea unor noi
linii electrice, subiectul criteriului probabilistic pentru siguranta in
functionare, care ia in considerare probabilitatea de defect a elementelor
sistemului de transport. Metoda modeleaza problema extinderii sistemului de
transport, ca o problema de programare in numere intregi si gaseste solutia
optima folosind o metoda probabilistica pentru axele si ramurile sistemului,
care foloseste o retea pentru aproximarea fluxului (curentului) si o teorema
II. PROBLEMA EXTINDERII SISTEMULUI DE TRANSPORT
Fig.1 descrie un sistem electroenergetic compozit, care include facilitatile de generare si transport.
TS – sistemul de transport
NG – numarul de generatoare
- inversarea
curbei de sarcinii
NL – numarul punctelor de sarcina
Fig.1 Sistemul elctroenergetic compozit, incluzand sistemul de transport
In acest document, sistemul
elctroenergetic compozit este conceput cu doua nivele ierarhice: nivel ierarhic
I (HLI) si nivel ierarhic II (HLII), cel din urma indicand numai locurile de
generarre si consum. Se presupune ca schemele sistemului de generare si a celui
de transport sunt separate si construirea noilor generatoare este determinata
independent de
Problema
conventionala a planificarii extinderii sistemului de transport, consta in
minimizarea costurilor totale de construire
,
asociata cu investirea in linii electrice noi.
unde:
numarul
ramurilor (linii electrice)
numarul noilor ramuri care leaga nodul x de nodul y
suma costurilor de constructii de la linia 1 pana la linia i care fac legatura intre nodul x si y
- costurile de constructii pentru cele i linii care fac legatura intre nodul x si y
- variabilele de decizie asociate liniei (1- pentru liniile de la 1 la i, care urmeaza sa se construiasca, si in rest 0)
- suma capacitatilor noilor ramuri (noilor linii electrice), intre nodul x si y
- capacitatea elementului j ale ramurilor ce leaga nodul x de nodul y
- capacitatea liniilor existente care fac legarutra intre nodul x si y
Criteriul sigurantei in functionare in cazul unei probleme de planificare a sistemului electroenergetic compus poate contine doua tipuri de conditii: una este criteriul de siguranta in functionare dinamic, iar cealalta este criteriul probabilistic al sigurantei in functionare.
In abordarea probabilistica, scaderea puterii
generate de sursa, fata de capacitatea ramurilor aflate in setul de taiere
minim, ar trebui sa fie mai mare sau egala cu varful curbei de sarcina
. Aceasta se refera de asemenea la o
gatuire a capacitatii in retea. Asadar, o conditie a scaderii puterii generate
de sursa este:
unde
, este capacitatea setului de taiere
minima celor doua subseturi X si
, continand nudurile sursa s si nodurile terminale t, cand toate nodurile sunt separate de
un setul de taiere minim.
Conditia (3) poate fi exprimata de conditia (4), k – fiind numarul setului de taiere (k=1,,n), unde n – numarul de seturi de taiere
In abordarea probabilistica, indexul criteriului probabilistic de siguranta in functionare LOLE se poate folosi astfel:
unde
este criteriul probabilistic pentru siguranta
in transport a noului sistem.
este
pentru cazul criteriului de siguranta in functionare a sistemului de
transport, si
pentru cazul criteriului de siguranta in
functionare a unui nod.
-
functia curbei de sarcinii. O discutie detaliata asupra
si LOLE este prezentata la paragraful III.
III. EVALUAREA SIGURANTEI IN FUNCTIONARE A SISTEMELOR ELECTROENERGETICE COMPLEXE
In continuare este prezentata o scurta introducere a metodologiei folosita pentru determinarea indicilor sigurantei in functionare a sistemului de transport si indicilor sigurantei in functionare a unui nod. Metodologia se bazeaza pe modelul incarcarii efective a sistemului electroenergetic complex, dezvoltat de autorii din [31].
Indicii sigurantei in functionare a
(probabilitatea pierderii de sarcina) si
(energia neutilizata) la HLI considerand doar
sistemul de generare, se calculeaza folosind curba de sarcina (ELDC),
a
HLI:
unde IC – capacitatea totala
instalata generata [MW],
- varful
curbei de sarcina al sitemului
unde:
-
integrala pe curba inchisa
functia probabilistica de distributie a intreruperii capacitatii generatorului #i
Indicii sigurantei in functionare la HLII se pot
clasifica in indici ai punctelor de sarcina si in indicii sistemului initial,
depinzand de elementul evaluat. Indicii sigurantei in functionare se pot evalua
folosind un sistem electroenergetic complex echivalent curbei de sarcina (CMELDC) a HLII bazat pe modelul incarcarii
efective a sistemului electroenergetic complex din Fig.2. CG, CT, q si
din Fig.2 reprezinta capacitatile si rata
scoaterii din functiune fortata a transformatoarelor si liniilor electrice.
Fig.2 Modelul incarcarii efective a sistemului electroenergetic complex la HLII
(a) Sistemul actual
(b) Sistematizarea echipamentului fictiv al generatorului
(c) Sistemul echivalent
1) Indicii
sigurantei in functionare in punctele de sarcina (noduri) :
si
se
pot calcula folosind relatiile (9) si (10) cu CMELDC
unde:
varful
de sarcina in punctul de sarcina k
[MW]
puterea
maxima de intrare in punctul de sarcina k
[MW]
- integrala pe curba inchisa
- curba de sarcina in punctul de sarcina #k
- intreruperea capacitatii pdf a generatorului fictiv, creata de generatoarele 1 pana la i, in punctul de sarcina #k
Indicii sistemului initial privind
siguranta in functionare:
cat timp
a sistemului initaial este egal cu suma
, in puntele de sarcina date de relatia
(12), LOLE a sitemului initial este diferit in totalitate fata de
in
puntele de sarcina. Reducerea sarcinii generate de sistemul initial
este egala cu suma
in punctele de sarcina.
pentru
sistemul initial se poate calcula folosind relatia (14).

unde:
NL – numarul punctelor de sarcina
- energia ceruta in nodul ![]()
Indicii sigurantei in functionare pentru sistemul de transport pot fi exprimati ca diferenta dintre indicii sigurantei in functionare la HLI si HLII:
III. SOLUTIA ALGORITMULUI
Scopul metodei pentru axele si ramurile sistemului
este minimizarea costurilor de constructie pentru un criteriu specificat al
sigurantei un functionare. Metoda probabilistica propusa pentru axele si
ramurile sistemului minimizeaza costurile totale considerand un criteriul
probabilistic pentru siguranta in functionare a sistemului de transport
, si/sau
Solutia algoritmului pentru aproximarea propusa consta in realizarea urmatorilor pasi:
1). Verificarea nevoii de extindere a sistemului de transport si posibilitatea folosirii de noi linii. Acestea pot fi verificate prin evaluarea sigurantei un functionare a sistemului cu si fara adaugarea de noi linii.
2).
Efectuarea setarii j = 1 (pentru sistemul initial),
3). Daca
, atunci sistemul #j este un nod terminal
la care exploarea ramificatiei in punctele de derivare este descrisa in solutia
grafica, folosita pentru determinarea solutiei optime si nu mai este necesara
folosirea altui graf. Se trece la pasul 13).
4). Calculul setului de taiere minim folosind metoda fluxului maxim pentru sistemul j.
5). Selectarea unei derivatii/linii #i, din setul
derivatiilor/liniilor noi
cuprinsa
in setului de taiere minim si adaugarea sa la sistemul #i. Astfel noul sistem
este redenumit ji.
6). Daca sistemul ji este deja inclus in solutia grafica, atunci se trece la pasul 13).
7). Calculul costului total pentru sistemul ji si evaluarea indexului pentru siguranta in
functionare a sistemului de transport
![]()
8).
Daca atunci, noul sistem (ji) are costul
optim . Altfel
se trece la pasul 11).
9).
Se seteaza
10).
Daca
atunci
se trece la pasul 12).
11).
Se seteaza si se trece la pasul 13).
12). Se adauga solutia jmax(ji) la solutia grafica.
13). Daca au fost luate in considerare toate
ramificatiile/liniile din setul de taiere
,
se trece la pasul 14). Daca nu se seteaza i
= i+1 si se trece la pasul 5).
14). Daca j = jmax, se trece la pasul urmator. In caz contrar se seteaza j = j+1si se trece la pasul 4).
15).
Pentru j = jmax, solutia grafica a
fost in totalitate gasita, si solutia optima jopt cu - fiind costul minim,
satisface criteriul sigurantei in functionare si se
determina la pasul 10).
IV. STUDIU DE CAZ
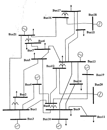
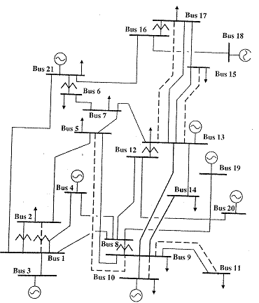
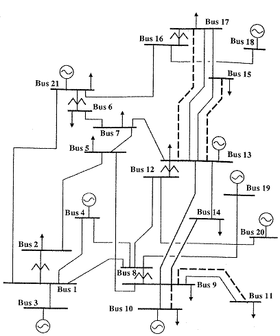
Metoda propusa a fost testata pentru un sistem cu 21 de noduri (Fig.3). Aceasta este o parte a zonei de sud-est din Korea (Youngnam). Criteriul deterministic al sigurantei in functionare si aproximarile probabilistice ale sigurantei in functionare, propuse, unde se aplica si se compara o serie de studii de caz, sunt considerate o viitoare prognoza a sarcinii sistemului. Aproximarile probabilistice cuprind criteriul probabilistic al sigurantei in functionare, fara conditiile deterministice.
Fig.3 Sistemul model cu 21 de noduri
Tabelul I reprezinta datele sistemului, unde GN,
TF, TL, LD sunt generatoarele, transformatoarele, liniile electrice, incarcarile
(sarcina). SB si EB sunt nodul de start si cel terminal al liniei.
si
reprezinta capacitatile si costurile
liniilor existente care leaga nodul x
de nodul y. In aceasta lucrare sunt
alese ca si candidate patru generatoare si linii pentru care m(x,y) = 4 in relatiile (1) si (4). In
Tabelul I se neglijeaza paramerii
si
. Costul unitar din acest table M$ inseamna
milioane de dolari. In Tabelul II sunt relatate ratele iesirii din functiune
fortate a generatoarelor si liniilor electrice. In Fig.4 este figurata
inversarea curbei de sarcina pentru patru dintre nodurile cu cea mai mare
incarcare (sarcina).
Tabelul I: Capaciatea si costul sistemului P(*): (MW) si C(*): (M$) (#0 si #6) reprerentand sursa si nodurile terminale
Tabelul II: Ratele iesirii din functiune fortate, pentru generatoare si linii
Fig.4. Invercarea curbelor de sarcina pentru patru dintre nodurile cu cea mai mare incarcare (sarcina).
In primul studiu de caz se
considera ca si caz de baza, criteriul probabilistic pentru siguranta in
functionare a sistemului de transport
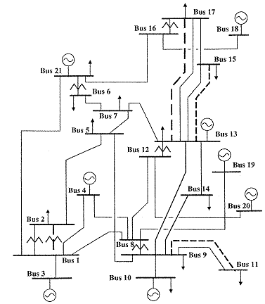
. Noul sistem optim este figurat in Fig.5 ,
iar liniile puctate reprezita liniile noi. Un sistem optim cu costuri de
constructie de 209 [M$] si elementele noi de constructie
este considerat solutia optima a aproximarii
probabilistice propusa in lucrare. Nivelul actual al sigurantei in functionare
al sistemului oprim a fost evaluat la
45.47[ore/an], si acest nivel este satisfacut pentru un nivel al criteriului
probabilistic al sigurantei in functionare
. Este interesant de observat ca acest
sistem este acelasi cu cel rezultat folosind aproximarea probabilistica cu o
rata a nodului de rezerva in punctual de sarcina k,
pentru toate punctele de sarcina [33].
si
reprezinta puterea maxima de intrare si varful
de sarcina, in punctul de sarcina k. un
criteriu deterministic pentru siguranta in functionare a unui nod,
, se
defineste
astfel:
Fig.5. Sistemul optim
obtinut prin aproximarea probabilistica
Tabelul III arata indicii sigurantei in
functionare in nodurile de sarcina, pentru
. Acest tabel arata ca indicii nodali ai sigurantei
in functionare pot avea diferite valori in functie de nivelul sigurantei in
functionare al sistemului de transport.
. Oricum, acest tabel arata ca valorile
indicilor LOLE in nodurile #2, #13 si #17, depasesc criteriul sigurantei in
functionare al sistemului
Tabelul III: Indicii
sigurantei in functionare in nodurile de sarcina, pentru
Fig.6 reprezinta un alt sistem optim folosind
aproximarea probabilistica cu
pentru criteriul sigurantei in functionare. Acest caz utilizeaza un
criteriu mai riguros al sigurantei in functionare decat cele anterioare.
Solutia optima are un cost de constructii de 511 [M$] si elemente noi de
constructii
. Evaluarea nivelului sigurantei in
functionare
al sistemului oprim a fost evaluat la
24.42[ore/an], si acest nivel este satisfacut pentru un nivel al criteriului
probabilistic al sigurantei in functionare
. Noul plan evidentiaza un sistem
interconectat (de retele electrice), cu costuri mai ridicate. Planele de
extindere optime rezultate prin schimbarea criteriului sigurantei in
functionare al sistemului de transport
sunt date in Tabelul IV. Prezentarea
rezultatelor in forma tabelara, indica faptul ca daca
creste, atunci costul total pentru
constructii scade, si indicii sigurantei in functionare
si
ai
noului sistem optim de transport cresc.
Tabelul IV: Planele de
extindere optima datorate schimbarii criteriului sigurantei in functionare
Fig.6. Sistemul optim
obtinut prin aproximarea probabilistica
In
cel de-al doilea studiu de caz, planul de extindere al sistemului de transport,
folosind criteriul sigurantei in functionare pentru un nod
, in locul criteriului sigurantei in
functionare al sistemului
, in relatia (5), a fost modelat astfel
incat toate nivelele nodului de siguranta in functionare aferente noului
sistem sa satisfaca acest criteriu al
sigurantei in functionare
Noul sistem optim , din
cel de-al doilea studiu de caz, este figurat in Fig.7. Tabelul V cuprinde
indicii sigurantei in functionare in nodurile de sarcina, pentru
maxima, in noul sistem optim este
. Valoarea maxima satisface criteriul
probabilistic al sigurantei in functionare pentru un nod
. Solutia optima are un cost de
constructii de 348 [M$] si elemente noi de constructii
. Cel de-al doilea plan utilizand
criteriul sigurantei in functionare pentru un nod evidentiaza un sistem
interconectat (de retele electrice), mai puternic decat primul plan optim, care
utilizeaza criteriului sigurantei in functionare al sistemului. Cel de-al
doilea plan are un cost de constructii de 139 [M$], mai ridicat decat planul
anterior. Se cer elemente de transport aditionale care sa minimizeze indicii
LOLE pentru nodurile 2, 13, si 17, care au nivele de siguranta in functionare
in plus fata de criteriul acceptat al sigurantei in functionare pentru un nod.
Fig.7. Sistemul optim
obtinut prin aproximarea probabilistica
Tabelul V: Indicii
sigurantei in functionare in nodurile de sarcina, pentru
Tabelul VI cuprinde planele de extindere optime ce
rezulta in urma schimbarii criteriului sigurantei in functionare pentru un nod
. Prezentarea rezultatelor in forma
tabelara, indica faptul ca daca
creste, atunci costul total pentru constructii scade, si indicii
sigurantei in functionare
si
ai
noului sistem optim de transport cresc.
Tabelul VI: Planele de
extindere optima datorate schimbarii criteriului sigurantei in functionare al
unui nod
Cel de-al treilea studiu de caz cuprinde o caracteristica
de piata, pe care proprietarul retelei o detine pentru a construii, o noua
retea care sa furnizeze energie electrica consumatorilor din nodul 17, folosind
nivelul sigurantei in functionare pentru un nod
(acest punct de sarcina este Daegu, al
treilea oras ca marime din Korea), iar pentru restul consumatorilor, folosind
nivelul sigurantei in functionare al sistemului
Fig.8 arata noul sistem optim, rezultat in urma
celui de-al treilea studiu de caz. Solutia optima are un cost de constructii de
278 [M$] si elemente noi de constructii
. Tabelul VII cuprinde indicii sigurantei
in functionare in nodurile de sarcina, pentru planul optim. Nivelul sigurantei
in functionare al sistemului
si nivelul
sigurantei in functionare al nodului 17, al sistemului optim, sunt 39.68
[ore/an] si 49.49 [ore/an]. Aceste nivele satisfac cele doua cerinte: criteriului
probabilistic al sigurantei in functionare
, pentru criteriul sigurantei in
functionare a sistemului si
, pentru pentru criteriul sigurantei in
functionare a unui nod in nodul 17. Cel de-al treilea plan utilizand criteriul
sigurantei in functionare atat pentru un nod cat si pentru sistem, evidentiaza
un sistem interconectat (de retele electrice), mai puternic si cu costuri mai
ridicate decat primul plan optim, care utilizeaza numai criteriului sigurantei
in functionare al sistemului. Este interesant de observat ca planul optim
implica o noua linie intre nodul 17 si nodul 13 pentru a satisface criteriul
sigurantei in functionare la nodului 17.
Fig.8. Sistemul optim
obtinut prin aproximarea probabilistica
si
Tabelul VII: Planele de extindere optima datorate schimbarii
criteriului sigurantei in functionare a unui nod
Planele de extindere optima datorate schimbarii
criteriului sigurantei in functionare a nodului 17
sunt date in Tabelul VIII. Prezentarea
rezultatelor in forma tabelara, indica faptul ca daca
creste, atunci costul total pentru constructii scade, si indicii
sigurantei in functionare
cat si
si
ai
noului sistem optim de transport cresc. Aceleasi panuri sunt obtinute pentru
si peste. Aceasta se datoreaza faptului ca, conditia de siguranta in
functionare a asistemului, este mai dominanta, decat conditia de siguranta in
functionare a unui nod, si determinarea palnului optim depinde mai degraba de conditia
de siguranta in functionare a asistemului, decat de conditia de siguranta in
functionare a unui nod pentru 50 [ore/an] si peste.
In consecinta, Fig.5-8 in trei cazuri arata ca folosind diferite tipuri si marimi ale criteriului probabilistic de siguranta in functionare, pot rezulta diferite planuri de extindere. Studiile de caz arata ca, criteriul probabilistic al sigurantei in functionare a unui nod, rezulta intr-o retea mai puternica, decat intr-una produsa folosind criteriul probabilistic al sigurantei in functionare pentru sistem.
VI.CONCLUZII
|