UNIVERSITATEA DIN BUCURESTI
FACULTATEA DE GEOGRAFIE - specializarea GEOGRAFIA TURISMULUI
![]()


I. INTRODUCERE
DEZVOLTAREA poate fi definita, in mod clasic, drept expansiunea ansamblului unei economii, dar si o repartizare cat mai echitabila a bogatiei suplimentare, care antreneaza o ameliorare globala a nivelului de viata si o transformare a structurilor societatii.
Acestei definitii, de natura economica, Banca Mondiala ii opune, incepand cu 1990, notiunea de dezvoltare umana punand mai putin accentul pe cresterea economica a tarii (evolutia Produsului National Brut, a balantei comerciale etc.), dar mai ales asupra largirii posibilitatilor umane in ceea ce priveste: speranta de viata, de educatie, de loc de munca si de nivel de viata.
Dezvoltarea umana incearca masurarea gradului de dezvoltare, mai mult decat cresterea economica, integrand indicatori calitativi.
DEZVOLTAREA UMANA , conform P.N.U.D. (Programul Natiunilor Unite pentru Dezvoltare), semnifica acele capacitati si indreptatiri ale oamenilor de a-si alege si urma propriile optiuni in toate domeniile vietii. In dimensiunea sa globala, acest concept integreaza ingrijirea sanatatii, educatia, religia, un nivel de viata decent si libertatea politica. Totodata, dezvolatarea umana nu se reduce numai la aceste aspecte ale vietii. Identitatile culturale ale indivizilor trebuie recunoscute, fiind in obligatia statului de a le acorda o atentie majora. Indivizii trebuie sa fie liberi in exprimarea propriilor identitati, fara a fi victimele discriminarii in diferitele domenii ale existentei lor. In concluzie, libertatea culturala reprezinta un drept uman si o parte integranta importanta a dezvoltarii umane.
Situatia dezvoltarii umane in lume este inegala: anumite reguli inregistreaza cresteri fabuloase, in timp ce altele stagneaza si, chiar mai mult, se afunda intr-o agravare a saraciei. Astfel, s-a ajuns la concluzia ca planeta nu va putea ajunge la un echilibru si la o stabilitate decat numai in momentul in care toate tarile, bogate sau sarace, se vor angaja pentru punerea in aplicare a unui pact mondial pentru dezvoltarea, al carui scop va fi largirea sferei oportunitatilor oferite intregii populatii.
In acest cadru, se recunosc drept cerinte fundamentale urmatoare 131d38b le:
♦ o viata lunga si sanatoasa;
♦ dobandirea de cunostinte;
♦ acces la resursele necesare pentru un nivel de trai decent.
Primul raport al dezvoltarii umane a fost publicat in 1990 si a adoptat ca masura a dezvoltarii umane un indice agregat pe baza a celor 3 componente esentiale ale dezvoltarii umane (longevitatea, nivelul de educatie, standardul de viata).
Un semn al crizei dezvoltarii umane este dat de evolutia indicelui dezvoltarii umane.
INDICELE DEZVOLTARII UMANE (IDU) reprezinta masura sintetica, relativa, rezultata dintr-un set de norme alese pentru valorile maxime si minime, pentru fiecare componenta: speranta de viata, educatia si instruirea, nivelul de trai.
I.D.U. nu are o unitate de masura pentru ca se utilizeaza standardizarea datelor.
unde: Isv à Indicele Sperantei de Viata
Ied à Indicele Educatiei
Iv à Indicele de Venit
unde V nom. à valoarea nominala
V min. à valoarea minima
V max. à valoarea maxima
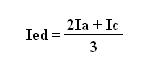
Ied este format din Ia si Ic, unde Ia à Indicele de alfabetizare
Ic à Indicele de cuprindere in invatamant

Venitul pe cap de locuitor (exprimat in dolari internationali) se calculeaza utilizandu-se metoda logaritmului deoarece un venit nelimitat (mai mare de 40.000 dolari internationali) nu este absolut necesar pentru a atinge un nivel acceptabil al dezvoltarii umane.

Indicele a fost inventat de economistul pakistanez Mahbub ul Haq. Indicele dezvoltarii umane, pentru majoritatea statelor membre ONU, este actualizat in fiecare an de Programul de Dezvoltare al Natiunilor Unite si publicat in Raportul de Dezvoltare Umana.
La nivel mondial, a fost elaborat un clasament care permite incadrarea tuturor statelor lumii pe o scara cu valori cuprinse intre 0 si 1. Totodata nici I.D.U. nu a fost considerat un indicator perfect deoarece nu ia in evidenta, de exemplu, repartitia inegala a veniturilor dintr-o tara pe sexe sau categorii sociale. De aceea, pentru a raspunde acestui obiectiv, Banca Mondiala a creat in anul 1996 un nou indicator, indicatorul dezvoltarii umane pe sexe, indicator suplimentar de analiza a dezvoltarii umane, alaturi de I.D.U., precum si alti indici: Indicele saraciei umane si indicele privind participarea femeilor la viata politica, economica si la luarea deciziilor.
Ceea ce conteaza foarte mult in analiza dezvoltarii umane nu este valoarea in sine, ci rangul tarii in clasamentul mondial. Evident ca in fruntea clasamentului, avand la baza valoarea indicelui dezvoltarii umane, regasim cea mai mare parte a tarilor dezvoltate.
La nivel mondial, clasificarea tarilor propusa de Raportul Dezvoltarii Umane este urmatoarea:
► In functie de nivelul de dezvoltare umana, tarile sunt grupate in 3 categorii:
. tari cu o dezvoltare umana ridicata (indice egal sau mai mare de 0,800);
. tari cu o dezvoltare umana medie (indice cuprins intre 0,500 si 0,799);
. tari cu o dezvoltare umana redusa (indice mai mic de 0,500).
► In functie de valoarea venitului, Banca Mondiala propune 3 categorii de tari (in anul 2001):
. cu venit ridicat (P.I.B./loc. egal sau mai mare de 9.206 $ americani);
. cu venit mediu (P.I.B./loc. intre 746 si 9.205 $ americani);
. cu venit redus (P.I.B./loc. mai mic sau egal cu 745 $ americani).
► Mari grupuri mondiale:
. tari in curs de dezvoltare;
. Europa Centrala si de Est;
. tari membre O.C.D.E. (Organizatia de Cooperare si Dezvoltare Economica).
II. INTERPRETAREA HARTII
Daca analizam valorile indicelui dezvoltarii umane la nivel mondial, constatam ca statele care au I.D.U. cel mai ridicat sunt acelea care au si o economie puternic dezvoltata, precum : S.U.A., Canada, Japonia, Australia si majoritatea tarilor din Europa Occidentala, Centrala si de Nord, precum Germania, Franta, Spania, Italia, Marea Britanie, Benelux, Austria, Elvetia, Danemarca, Norvegia, Suedia, Finlanda etc. La acestea, I.D.U. este peste 0.900, componentele indicelui (Indicele sperantei de viata, Indicele educatiei si Indicele de venit) avand deasemenea valori ridicate.
Cel mai ridicat I.D.U. ii revine Irlandei si Norvegiei, ce inregistreaza 0.968, Australiei cu 0.962 si Canadei, cu 0,961.
Statele din aceasta categorie au inregistrat o crestere progresiva inca din anul 1975 pana in prezent, nesuferind deloc descresteri in ceea ce priveste Indicele Dezvoltarii Umane.
De exemplu, Norvegia, Statele Unite ale Americii si Luxemburg sunt state care se remarca prin Indicele de Venit, inregistrand valori maxime, egale cu 1,000. Aceste state au deasemenea cele mai mari valori ale PIB-ului/locuitor. Astfel, Norvegia are 41.420 $/loc, SUA inregistreaza 41.890 $/loc, iar Luxemburg depaseste orice alta valoare inregistrata la nivel mondial, de 60.228 $/loc.
In ceea ce priveste Indicele Sperantei de Viata se remarca Japonia cu 0,954 si o speranta de viata de 82,3 ani, apoi Islanda cu 0,941 si o speranta de viata de 81,5 ani si Elvetia cu 0,938 cu o speranta de viata de 81,3 ani.
Indicele de Educatie inregistreaza cele mai ridicate valori in state precum Australia, Irlanda, Finlanda, Danemarca si Noua Zeelanda, unde atinge valori de 0,993.
Raportul Mondial al Dezvoltarii Umane are in vedere Hong Kong-ul, interpretat separat de China, care reuseste sa patrunda in lista tarilor cu I.D.U. ridicat, avand un indice de 0,937.
Tari precum Coreea de Sud sau Singapore au inregistrat o crestere evidenta a Indicelui Dezvoltarii Umane, de la 0,713 respectiv 0,729 la 0,921 respectiv 0,922, intre anii 1975-2005, in schimb ce restul statelor inregistrau peste 0,800 inca din 1975.
Tot in categoria tarilor cu Indicele Dezvoltarii Umane ridicat intra si acele state care au indicele cuprins intre 0,800 si 0,899.
Aici intalnim restul tarilor din Europa (mai putin Ucraina si Republica Moldova, ce se incadreaza in lista tarilor cu I.D.U. mediu), Mexicul, tari din America de Sud (Brazilia, Argentina, Chile, Uruguay), Arabia Saudita, Rusia, Libia (este singurul stat din Africa cu I.D.U. ridicat) etc.
In aceasta categorie, aproximativ 30% dintre state au fost introduse pentru prima oara in Raportul Mondial al Dezvoltarii Umane, dupa anul 2004. Printre acestea se numara Brunei, Qatar, Saint Kitts si Nevis, Tonga si altele.
Majoritatea tarilor cu Indicele Dezvoltarii Umane cuprins intre 0,800 si 0,899 au inregistrat cresteri progresive din anul 1975 pana in zilele noastre, dar sunt si state care, dupa ce au inregistrat valori ridicate ale I.D.U., au decazut treptat de la an la an (din anul 1985) si abia dupa 2000 au revenit la valori ridicate ale indicelui. Printre aceste se numara cele 3 Tari Baltice, Estonia, Letonia si Lituania, Croatia, Bahamas, Bulgaria, Romania, Belarus si Federatia Rusa.
De exemplu, Estonia inregistra in anul 1985 un indice egal cu 0,820, iar in 1990 si 1995 s-a sesizat o scadere a acestuia pana la 0,813 respectiv 0,792, iar in anul 2000, aceeasi tara avea I.D.U. de 0,829, crescand pana la 0,860 in anul 2005.
Si tara noastra, Romania, are aceeasi soarta. De la I.D.U. de 0,792 in anul 1985, scade pana la 0,777 in 1990 si pana la 0,772 in 1995, iar in anul 2000 inregistreaza o crestere pana la 0,780. In 2005 Romania se numara printre tarile cu un Indice de Dezvoltare Umana ridicat, ocupand locul 60, la nivel mondial, cu 0,813.
Pintre tarile care au progresat evident in ceea ce priveste Indicele Dezvoltarii Umane, se numara Mexicul, care de la 0,694 in anul 1975 ajunge la 0,829 in 2005, Omanul, de la 0,487 in 1975 creste pana la 0,814 in 2005, Arabia Saudita, de la 0,611 in 1975 ajunge pana la 0,812, Malayezia, de la I.D.U. in 1975 de 0,619 pana la 0,811 in anul 2005 si Brazilia, care in 1975 inregistra un indice de 0,649 si reuseste sa creasca pana la 0,800 in anul 2005, fiind la limita dintre I.D.U. ridicat si mediu.
Federatia Rusa, in ciuda dezvoltarii evidente din ultimii ani si a statutului de mare putere pe care l-a capatat de-a lungul anilor, are un Indice destul de scazut, din cauza sperantei de viata reduse la nastere, de 65 ani si a PIB-ului relativ scazut,de 10.845 $ americani. Valoarea PIB-ului este relativ scazuta deoarece suprafata tarii este foarte mare si deasemenea sunt foarte multi locuitori.
Din categoria tarilor cu Indicele Dezvoltarii medii, fac parte tari care au indicele cuprins intre 0,700 - 0,799, 0,600 - 0,699 si deasemenea intre 0,500 - 0,599.
Prima categorie, cu I.D.U. cuprins intre 0,700 - 0,799 cuprinde majoritatea tarilor din Asia precum China, Mongolia, Turcia, Iran etc, dar si Ucraina si Republica Moldova din Europa, state din America de Sud precum Columbia, Peru, Venezuela, Ecuador etc, si state din Africa, precum Algeria, Tunisia si Egipt.
La tarile cu I.D.U. mediu, valoarea cea mai mare a acestuia o are Dominica, din America Centrala, cu o valoare de 0,798, urmata de Santa Lucia cu 0,795 si Kazakhstan cu o valoare apropiata de 0,795.
In ceea ce priveste Indicele Sperantei de Viata, in fruntea listei se afla Belize cu 0,849 si 75,9 ani speranta de viata la nastere, urmata de Dominica, cu 0,844 si 75,6 ani speranta de viata la nastere, si Ecuador, cu 0,828 si 74,7 ani speranta de viata la nastere.
Dupa Indicele de Educatie, cele mai dezvoltate sunt Kazakhstanul cu 0,973, Ucraina cu 0,948 ssi Guyana cu 0,943.
Dupa Indicele de Venit, in fruntea clasamentului intalnim Thailanda cu 0,745 si un PIB/loc de 8677 $ americani, urmata de Turcia cu 0,740 si un PIB/loc de 8407 $ americani si Tunisia cu o valoare a Indicelui de venit de 0,739 si un PIB/loc de 8371.
Printre tarile cu I.D.U. mediu, se numara si China cu 0,777, un stat dezvoltat din punct de vedere economic, dar cu o rata de dezvoltare educationala scazuta, ceea ce cauzeaza prezenta acestei tari in clasamentul mediu. China a inregistrat o continua crestere a I.D.U. de-a lungul anilor, astfel incat in 1975 indicele era de 0,530, iar in 2005 de 0,777.
Ȋn cadrul clasamentului cu I.D.U. mediu ȋntre 0,700 și 0,799 am putut observa ca majoritatea statelor au ȋnregistrat o creștere progresiva indicelui, dar deasemenea, s-au produs și scaderi bruște ale acestuia, de-a lungul anilor.
Este cazul Ucrainei, stat european, care ȋn 1990 a ȋnregistrat un indice de 0,809, ceea ce o clasa printre statele cu I.D.U. ridicat, iar ȋn anul 1995 a scazut pana la 0,756, ca dupa 5 ani sa creasca numai pana la 0,761, iar ȋn anul 2005 sa aiba 0,788.
Si Republica Moldova a avut o situatie asemanatoare, ȋn 1990 avand un I.D.U. de 0,740, care dupa 5 ani a scazut pana la 0,684, ȋn 2000 a mai scazut ȋnca un pic pana la 0,683, iar ȋn 2005 a ȋnregistrat 0,708.
Tot ȋn categoria tarilor cu I.D.U. mediu intra și statele cu I.D.U. cuprins ȋntre 0,600 și 0,699, care sunt mult mai putine. Astfel de state sunt India și alte cateva din Asia, Bolivia și tari din Africa de Sud, dar și Marocul, Gabonul și Guineea Ecuatoriala.
Acestea sunt tari care au progresat de-a lungul anilor, cu exceptia a 3 state, Africa de Sud, Tadjikistan și Bostwana, care, de la valori ale I.D.U. de 0,745 respectiv 0,705 și 0,674 au ajuns ȋn 2005 la valori de 0,674, respectiv 0,673 și 0,654.
Africa de Sud și Bostwana, deși sunt tari destul de dezvoltate din punct de vedere economic, cu o valoare a PIB-ului/loc mare, de 11.110 $ americani respectiv 12.387 $ americani, sunt incluse in aceasta categorie medie datorita Indicelui Sperantei de Viata care este foarte scazut, de 0,430 și 50,8 ani speranta de viata la naștere, respectiv 0,385 și 48,1 ani speranta de viata la naștere.
Din ultima categorie care include state cu I.D.U. mediu, fac parte cateva tari din Asia precum Pakistan, Yemen, Nepal, Myanmar etc, și tari din Africa precum Mauritania, Sudan, Uganda, Kenya, Camerun, Ghana, Togo, Madagascar etc.
Ȋn aceasta categorie, exista și state care au fost incluse pentru prima data ȋn Raportul Mondial al Dezvoltarii Umane dupa anul 2004. Printre acestea se numara Timorul de Est, Myanmar și Bhutan.
Tarile cu I.D.U. ȋntre 0,500 și 0,599 sunt tari care au avut de-a lungul anilor o creștere a indicelui, dar și care au avut valori mai mari ale I.D.U. și acesta a scazut din diferite motive.
Dintre tarile cu scaderi bruște ale indicelui fac parte Lesotho, care de la 0,616 ȋn anul 1995 a scazut dupa 10 ani la 0,549, Swaziland, care de la 0,641 ȋn 1995 a ajuns la 0,547 și Zimbabwe, care ȋn 1990 a ȋnregistrat un indice de 0,654 iar ȋn 2005 unul de 0,513.
Din categoria tarilor cu Indicele de Dezvoltare Umana scazut, fac parte doua tipuri: cu indicele ȋntre 0,400 și 0,499 și cu indicele ȋntre 0,300 și 0,399. Ambele cuprind numai tari din Africa.
Ȋn prima categorie, cu Indicele Dezvoltarii Umane ȋntre 0,400 și 0,499 se ȋncadreaza tari precum Senegal, Nigeria, Angola, Benin, Guineea, Zambia, Coasta da Fildeș, Repubilca Congo, Burundi, Rwanda, Ethiopia, Eritrea, Malawi și Tanzania.
I.D.U. cel mai mare din aceasta grupa ȋl are Senegalul, 0,499, urmat de Eritrea cu 0,483 și Nigeria cu 0,470.
Ȋn ceea ce privește Indicele Sperantei de Viata, ȋn fruntea listei se afla Senegal cu un indice de 0,622 și speranta de viata la naștere de 62,3 ani, urmat de Eritrea cu Isv de 0,527 și o speranta de viata la naștere de 56,6 ani și Niger cu un indice de 0,513 și o speranta de viata de 55,8 ani.
Dupa Indicele de Educatie, cele mai dezvoltate sunt Zambia cu un indice de 0,655, urmata de Nigeria cu un indice de 0,648 și Malawi cu indicele de educatie de 0,638.
Dupa Indicele de Venit, ȋn fruntea clasamentului ȋntalnim Angola cu un indice de 0,526 și PIB/loc. de 2.335 $ americani, urmata de Guineea cu indicele de venit de 0,524 și un PIB/loc. de 2.316 $ americani și Senegal cu un indice de 0,482 și un PIB/loc. de 1.792 $ americani.
Tarile din aceasta grupa sunt state care au avut și creșteri ale IDU de-a lungul anilor, dar și state ce au suferit descreșteri ale indicelui. Astfel de tari sunt Zambia, care ȋn 1985 avea un indice al dezvoltarii umane egal cu 0,489, iar ȋn 2005 a scazut pana la 0,434, Coasta de Fildeș, cu 0,453 ȋn 1985 și 0,432 ȋn 2005 și deasemenea și Republica Congo, al carei indice a scazut de la 0,430 ȋn 1985 pana la 0,375 ȋn anul 2000 și a crescut ȋn 2005 pana la 0,411.
Ultima categorie este formata din tarile cel mai slab dezvoltate din punct de vedere uman, și anume: Ciad, Republica Centrafricana, Mozambic, Mali, Niger, Guineea-Bissau, Burkina Faso și Sierra Leone, cu cel mai mic I.D.U. la nivel mondial, 0,336.
Dintre acestea, tuturor le-a crescut valoarea indicelui cu trecerea anilor, numai Republicii Centrafricane i-a crescut pana ȋn anul 1990, iar dupa anul acesta, pana ȋn 2005 a ȋnregistrat scaderi, pana la 0,384.
III. CONCLUZII
Ȋn urma analizarii hartii Indicelui Dezvoltarii Umane, am putut observa faptul ca cele mai dezvoltate tari din punct de vedere uman sunt acelea care au și o economie dezvoltata, cum ar fi statele Americii de Nord, ale Europei, Australia, doar un stat din Africa și un numar redus de tari din Asia.
Deasemenea, tarile cu dezvoltarea umana cea mai scazuta sunt cele din Africa, deoarece acolo gradul de educatie este foarte mic si deasemenea sunt state sarace din punct de vedere economic, și nu pot asigura un PIB/loc. cu valori ridicate.
Acest indice nu poate defini singur limitele categoriei tarilor. Este necesar sa se ia ȋn considerare criteriile istorice, analiza gradului de inegalitate ȋn privinta repartitiei resurselor, existenta sau amploarea formelor de saracie profunda, prezenta sau absenta infrastructurilor sociale.
Speranta de viata este foarte importanta, deoarece acest factor poate modifica foarte mult Indicele Dezvoltarii Umane. De exemplu, un japonez are speranta de viata mult mai mare decat a unui african din Zimbabwe, deoarece intervin neajunsurile din domeniul alimentatiei și ȋngrijirile medicale. Ȋn tarile industrializate exista ȋn medie, un medic la circa 285 de locuitori, ȋn schimb ce ȋn Africa, unui medic ȋi revin aproximativ 20.000 de locuitori.
De ademenea, ȋn numeroase state din Asia, doar 56 % din populatia adulta știe sa citeasca și sa scrie, ȋn timp ce rata alfabetizarii la aceeași categorie este de aproape 90 % ȋn cea mai mare parte a Americii Latine și de 86 % ȋn China, fara a aminti cele mai dezvoltate tari la nivel mondial, precum S.U.A., Canada, Norvegia etc.
Ȋn concluzie, variatia Indicelui Dezvoltarii Umane este strans legata de valorile componentelor acestuia (Indicele Sperantei de Viata, Indicele Educatiei, Indicele de Venit).
![]()
♣ GEOGRAFIE ECONOMICA MONDIALA, Seminar și Lucrari practice, Daniel Peptenatu, Cristian Draghici, Andreea-Loreta Cepoiu, Editura Universitara, București, 2005
♣ Internet - https://ro.wikipedia.org
|