Classification
and Composition of Nanomaterials
Nanomaterials include clusters of atoms (quantum
dots, nanodots, inorganic macromolecules), grains that are less than 100
nanometres in size (nanocrystalline, nanophase, nanostructured materials),
fibres that are less than 100 nanometres in diameter (nanorods, nanoplatelets,
nanotubes, nanofibrils, quantum wires), films that are less than 100 nanometres
in thickness, nanoholes, and composites that are a combination of these. The
composition can be any combination of naturally occurring elements, with the
more important compositions being silicates, carbides, nitrides, oxides,
borides, selenides, tellurides, sulfides, halides, alloys, intermetallics,
metals, organic polymers, and composites.
Magnetic Resonance in an Atomic
Vapor Excited by a Mechanical Resonator
For the first time, mechanical motion has been used to make atoms in a gas
"spin," scientists at the National Institute of Standards and Technology (NIST)
report. The technique eventually might be used in high-performance magnetic
sensors, enable power-efficient chip-scale atomic devices such as clocks, or
serve as components for manipulating bits of information in quantum
computers.
As described in the Dec. 1 issue of Physical Review Letters, the NIST te 13213j99n am
used a vibrating microscale cantilever, a tiny plank anchored at one end like
a diving board, to drive magnetic oscillations in rubidium atoms. The
scientists attached a tiny magnetic particle about 10 by 50 by 100
micrometers in size'to the cantilever tip and applied electrical signals at
the cantilever's "resonant" frequency to make the tip of the
cantilever, and hence the magnetic particle, vibrate up and down. The
vibrating particle in turn generated an oscillating magnetic field that
impinged on atoms confined inside a 1-square-millimeter container nearby.
The electrons in the atoms, acting like tiny bar magnets with north and
south poles, responded by rotating about a static magnetic field applied to
the experimental set-up, causing the atoms to rotate like spinning tops that
are wobbling slightly. The scientists detected the rotation by monitoring
patterns in the amount of infrared laser light absorbed by the spinning atoms
as their orientation fluctuated with the magnetic gyrations. Atoms absorb
polarized light depending on their orientation with respect to the light
beam.
Micro-cantilevers are a focus of intensive research in part because they
can be operated with low power, such as from a battery, and yet are sensitive
enough to detect very slight changes in magnetic fields with high spatial
resolution. The NIST team noted that coupling between cantilever motion and
atomic spins is easy to detect, and that the atoms maintain consistent
rotation patterns for a sufficiently long time, on the order of milliseconds,
to be useful in precision applications.
For instance, by comparing the oscillation frequency of the cantilever to
the natural rotation behavior of the atoms (determined by measuring the
extent of the wobble), the local magnetic field can be determined with high
precision. Or, arrays of magnetic cantilevers might be constructed, with each
cantilever coupled vibrationally to the others and coupled magnetically to a
unique collection of atoms. Such a device could be used to store or
manipulate binary data in a quantum computer. In theory, the coupling process
also could work backwards, so that atomic spins could be detected by
monitoring the vibrational motion of the cantilevers.
https://www.nist.gov
|
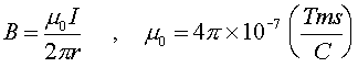
Magnetic field of a long wire
Magnetic
fields arise from charges, similarly to electric fields, but are different in
that the charges must be moving. A long straight wire carrying a current is the
simplest example of a moving charge that generates a magnetic field. We mentioned
that the force a charge felt when moving through a magnetic field depended on
the right-hand rule. The direction of the magnetic field due to moving charges
will also depend on the right hand rule. For the case of a long straight wire
carrying a current I,
the magnetic field lines wrap around the wire. By pointing one's right thumb
along the direction of the current, the direction of the magnetic field can by
found by curving one's fingers around the wire.
The
strength of the magnetic field depends on the current I in the wire and r, the distance from the
wire.

The
constant m
is the magnetic permiability. The reason is does not appear as an arbitray
number is that the units of charge and current (coulombs and amps) were chosen
to give a simple form for this constant. One can also notice the the product of
m and e
are related to the velocity of light. (More on that later, fundamental constants
Nanofoam
Exhibits Surprising Magnetic Properties
By Ernie
Tretkoff
A new form of
carbon exhibits surprising magnetic properties that could make it useful in
future spintronics or biomedical applications, researchers reported at the APS
March Meeting. The material, called carbon nanofoam for its low density and
web-like structure, is the only form of pure carbon known to be ferromagnetic.
Carbon nanofoam is
structurally distinct from the other four known forms of carbon-graphite, diamond,
fullerenes ( buckyballs), and nanotubes. With a
density of about 2 mg/cm3, comparable to that of aerogel, carbon
nanofoam is one of the lightest known solid substances.
But what's most
remarkable about the material, the researchers said, is that unlike other forms
of carbon, the nanofoam is ferromagnetic, like a refrigerator magnet. However,
at room temperature, the nanofoam's magnetization disappears a few hours after
the material is produced.
A collaboration of
researchers from Greece and Australia
produced the carbon nanofoam by shooting a high-powered, ultra-fast laser at
disordered solid carbon in an argon-filled chamber.
By imaging the
material using a high-resolution electron microscope, John Giapintzakis of the University of Crete and colleagues found that the
nanofoam has a sponge-like structure, made up of carbon clusters a few
nanometers in diameter randomly linked together into a web-like
foam.
Because pure
carbon is not normally ferromagnetic, the group tested their sample for
impurities that might be causing the magnetic behavior. Although they did find
traces of iron and nickel, the small amounts of these magnetic elements could
not account for all of the ferromagnetism in the nanofoam. The researchers
concluded that the magnetic properties come from the complex structure of the
nanofoam itself.
David Tománek of Michigan State University,
who collaborated with the group on theoretical interpretation, believes that
the carbon clusters in the foam are made up of nanotubes joined together into
tetrapods. In these four-legged structures, some carbon atoms have a free
electron, one that does not form a chemical bond. These unpaired electrons
carry a magnetic moment that may lead to the magnetism.
Chemists have long
known about such carbon radicals, said Tománek, but until now they have only
been found in carbon connected to another element. In this case, the structure
is entirely carbon.
The researchers
have also done some preliminary studies that suggest that the novel magnetic
behavior found in carbon nanofoam could be present in other nano-structured
solids of elements that are not normally magnetic, including a compound of
boron and nitrogen.
If this behavior
turns out to be a general phenomenon, researchers will have to think more about
what makes a material magnetic, said Tománek. "We need to revisit our
magnetic prejudice."
Giapintzakis
suggested that carbon nanofoam could be used in spintronic devices, which are
based on a material's magnetic properties. The unique material may also find
uses in biomedicine. For instance, the tiny ferromagnetic clusters could be
injected into blood vessels to enhance magnetic resonance imaging. The nanofoam
could also be implanted in tumors, where it could turn radio waves into a
source of heat that would destroy the tumor but leave surrounding tissue
unharmed.
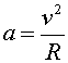
Circular motion in
a magnetic field
Charged particles
in a magnetic field feel a force perpendicular to their velocity. Since their
movement is always perpendicular to the force, magnetic forces
due no work and the particle's velocity stays constant. Since the force
is F = qvB in a constant magnetic field, a charged particle feels
a force of constant magnitude always directed perpendicular to its motion. The
result is a circular orbit.
The diagram below
represents constant magnetic field for two cases. On the left the magnetic
field is pointed into the page while on the right the field lines are exiting
the page. The crosses indicate the field is directed into the page. One
can think of this as the tail of a feather as it travels away from view,
whereas the dots represent the point of the approaching arrow. The fact
that the field is uniform is indicated by the equal spacing of the arrows.
Using the right-hand rule one can see that a positive particle will have the
counter-clockwise and clockwise orbits shown below.

The radius of the
orbit depends on the charge and velocity of the particle as well as the
strength of the magnetic field. The acceleration of a particle in a circular
orbit is:

Using F = ma,
one obtains:

Thus the radius of
the orbit depends on the particle's momentum, mv, and the product
of the charge and strength of the magnetic field. Thus by measuring the
curvature of a particle's track in a known magnetic field, one can infer the
particle's momentum if one knows the particle's charge. A device which works in
such a fashion is called a magnetic spectrometer. Most high-energy physics
experiments use exactly such devices, even though the particle's have so much
momentum that they never circle but only curve a few degrees from their
straight line trajectories.
Magnetic dipoles
A magnetic dipole
is simply a current loop. A current loop both creates and responds to magnetic
fields. First let's review the torque felt by a dipole in a magnetic field.
Consider the current loop in a magnetic filed below. The two forces are equal
and opposite and do not act to move the dipole, only to rotate it.
The moment arm for
the torque is the height of the dipole, h sinq. the angle q is between the direction of the
magnetic field and a vector normal to the plane of the dipole. Therefore the
torque disappears when the dipoles orientation is along the axis of the
magnetic field (the dipole lies in a horizontal plane in the picture above.)
The torque always tries to rotate the angle q to zero. This is where the potential energy is a
minimum. The torque and potential energy are:
where A
is the area of the dipole's loop. The product IA is refered to as
the dipole moment. Magnetic, non-magnetic, ferromagnetic....
Many atoms have
electrons which are able to rotate any way they please. These rotating
electrons are the dipoles which both create and respond to magnetic fields.
Consider the magnetic field of the red dipole shown below.
A second dipole,
shown in green will find it energetically favorable to line up in the same
direction as the red dipole if it is placed directly above it, but will find it
favorable to line up opposite to the dipole if it is place to the side. The
study of properites is therefore a rather complex subject.
There are a
variety of classifications of magnetic materials.
Here we list three
such classifications.
- Magnetic: These materials have their moments coordinated such that they
point in the same direction. They therefore produce strong magnetic
fields.
- Non-magnetic: Such substances have little reaction to magnetic fields. They may
be composed of molecules where electrons spinning one way are always
balanced by electrons spinning the other, or their spins may simply
interact only weakly.
- Ferromagnetic: These materials would like to be magnetic, except that the thermal
motion keeps them from acting collectively. However, the dipoles are
easily coaxed into lining up together by the magnetic field of another
object.
The state of
the art in surface preparation and analysis has made it feasible to produce new
types of materials that are structured on the nanometer scale. This
scale is comparable to the wavelength of electrons in a solid and thus
provides ample opportunity to design the electronic and magnetic properties. We
can think of designing solids in a fashion similar to the design of molecules
and drugs in biochemistry. Some of the best examples of engineered solids so
far are magnetic multilayers that are being developed for reading heads for magnetically-stored
data. They consist of sandwiches of cobalt, copper, and permalloy
(nickel-iron) that change their electrical resistance when exposed to the
magnetic field of a stored bit. This effect is termed giant
magnetoresistance (GMR). The structures are known as spin valves,
since they preferentially transmit electrons of one spin orientation. A related
phenomenon is oscillatory magnetic coupling, an oscillation in the
magnetic orientation of two layers with film thickness.
To find out which
electrons are producing these effects we have investigated their energy
levels by inverse photoemission. Thereby, low energy electrons impinge onto the
surface and drop into unoccupied energy levels emitting ultraviolet photons.
This study discovered quantized electronic states in magnetic multilayers that
are connected to their special properties.
The figure
shows periodic changes in the density of electron states when the thickness of
a copper film is changed, just a couple of atomic layers at a time (top panel).
A way of understanding the experiment is shown on the right: Electrons in the
Cu film are acting like waves and give maximum intensity when an integer number
of oscillations fits into the film. These structures can be viewed as the
smallest man-made interferometers, right at the atomic limit. They allow us to map
out the wave function of electrons.

It turns out that
the density-of-states maxima are correlated with oscillations of the magnetic
coupling in multilayers (bottom panel, from Qiu et al., Phys. Rev. B 46,
8659 (1992)). The magnetoresistance oscillates with the same period. This gives
us the clues for understanding the magnetic phenomena as the effects of quantized
electron levels in nanostructures. Current efforts are directed towards
manipulating the interfaces in magnetic multilayers to enhance the
spin-dependent reflectivity and optimize the magnetic effects.
Review of magnetic
nanostructures:
Himpsel et al., Advances in Physics 47, 511 (1998).
Basic principles
of magnetic recording:
Grochowski and Thompson, IEEE Trans. Magn. 30, 3797 (1994)
Magnetic Quantum
Well States::
Ortega et al., Phys. Rev. Lett. 69, 844 (1992); Ortega et al., Phys. Rev. B 47, 1540 (1993);
Himpsel, Science 283, 1655 (1999).
- Writing and Reading of a Hard Disk
- Schematic of a GMR Reading Head
- Explanation of GMR by Analogy to a Pair of Polarizers
- Spectra of Quantum Well States
- Oscillations in the Density of States
- Spin-polarization of quantum well states
Electronic
States in Magnetoelectronics
Beyond the GMR
effect in reading heads there are several other magnetic phenomena that can be
incorporated into electronic devices. For example, spin-polarized tunneling
lies at the core of magnetic random access memory (MRAM). A new field of magnetoelectronics
is developing, where spin currents are used instead of charge currents.
For that, it is important to know how to produce spin-polarized electrons, how
to filter them, and how to detect their spin. Electrical and magnetic
measurements provide practical information, but they integrate over all
momenta, that is, they do not distinguish between electrons moving in different
directions and at different speeds.
The cleanest
technique to resolve the momenta of these electrons is angle-resolved
photoelectron spectroscopy, which is able to measure the complete set of
quantum numbers of electrons in solids. The figure below shows a theoretical
plot of the quantum numbers energy (E) and momentum (k) for the
two spin directions (red and green). The photoemission experiment on the right
zooms in on the electrons that are relevant to magnetoelectronics. These are
those close to the Fermi level (E=0). The intensity of these electrons is
plotted versus their momentum in the two panels at the bottom right. From the
k-separation of the two spin peaks one can infer the magnetic moment, from
their relative intensity the spin-polarization, and from their width the mean
free path of the electrons.

Spin currents can
be manipulated by spin doping, where magnetic atoms are introduced as
dopants for selecting one type of spin carrier. For example, adding iron to
nickel suppresses the green spins, but not the red spins in the figure above.
The Fe/Ni ratio of 20/80 corresponds to permalloy,
the dominant material in magnetoelectronics.
Metal-based
magneto-electronics
This research
aims at using the properties of ferromagnetic materials to realize `More than Moore' functionality on a
chip. Different concepts were investigated where hetero-integration of
ferromagnetic thin films, multi-layers and nanostructures on top of
conventional semiconductors results in new devices for a wide range of
applications such as next-generation magnetic memories, RF components, sensors
and magnetophotonic components C11041 .
Voltage-controlled
magnetic memories
Writing
magnetic information using on-chip generated magnetic fields typically requires
very high currents. IMEC has demonstrated proof of principle of voltage-tunable
magnetic properties in a hybrid piezomagnetic device based on the shear
actuation by ferromagnetic electrodes on a piezoelectric substrate. This device
allows influencing the magnetization reversal process using a voltage through
the inverse magnetostrictive effect. Figure1 shows a voltage-induced change in
magnetoresistance of Co50Fe50 interdigitated electrodes
on piezoelectric lead zirconate titanate (PZT) at zero magnetic field. The magnetic anisotropy and switching field can be
changed with a factor 2 using solely electric fields of around 5kV/cm.
Miniaturization and geometric optimization of this concept opens a way to
low-voltage and low-power magnetic reversal in magnetic devices used in sensor
and memory applications

Figure 1: The
magneto-resistance of 10nm thick Co50Fe50 interdigitated
electrodes can be tuned by a bias voltage applied across two sets of
ferromagnetic electrodes (separation 200µm) deposited on a piezoelectric lead
zirconate titanate (PZT) substrate. (b) The voltage-induced change in magnetic
anisotropy, revealing the change in the switching field, is confirmed by the
evolution of the magnetic hysteresis loops (obtained by magneto-optical Kerr
effect measurements).
Current-controlled
spin torque oscillators
The recent
discovery of the spin torque oscillator, a nano-patterned ferromagnetic device
in which high-quality tunable microwave oscillations can be generated by a
small DC current through the device, opens perspectives to solve some of the
paradigms in microwave engineering. None of the RF oscillators existing today
combines a high-quality resonance with a high integration level, and wideband
tunability. This year, IMEC has started fabrication of spin torque oscillators
made from magneto-resistive spin valves with typical sizes around 100nm. IMEC
aims at studying the oscillating modes in the range of 5-10GHz and the
influence of parameters (e.g. temperature, geometry) on the microwave
frequency, signal power and phase noise. Monolithic integration with a
high-gain RF-CMOS amplifier circuit will boost the signal power to levels
suitable for wireless applications. RP112
Cell counting
device based on magneto-resistive sensors
Over the last
years, IMEC has successfully applied magneto-resistive spin valve sensors for
magnetic particle labeled biomolecule detection P11053, RP030 . Until now, these efforts
have focused on detecting specific markers and DNA using assays, see also (see section Functionalized particles).
For the
purpose of rare cell detection using the same magneto-resistive technology, we
have studied the movement of magnetic particles actuated by an on-chip
multi-phase magnetic field. Magnetic particles with different magnetophoretic
mobility are successfully separated on a chip and their magnetoresistive
signals are detected with single-particle resolution. In addition, the specific
binding of magnetic particles and target cells, to isolate rare cells out of a
large population is currently being investigated.

Figure 2: (a)
Velocity of two types of magnetic particles at different actuating current.
Green lines: speed curve of industrial-type1 2μm particles (D=2μm);
red lines: velocity curve of industrial-type2 particles (D=4.5μm). Solid
lines: velocity curve with only on-chip magnetic field; dashed lines: velocity
curve with 160A/m perpendicular-to-plane magnetic field. (b) A molt-4 T-lymphocyte
bound industrial-type CD45 magnetic particles.
Nano-electromechanical
sensors (NEMS)
Nano-electromechanical
systems offer immense potential for sensor technology requiring ultimate
sensitivity. Nanoresonators used as force and mass sensors have shown
unprecedented sensing potential: in force sensing, a nanomechanical resonator
used as a magnetic-force microscope was able to detect the magnetic moment of a
single electron spin; in mass sensing, researchers were able to detect a mass
of 7 zeptogram (equivalent to 30 Xe atoms) using a nanomechanical resonator.
At IMEC,
nanomechanical resonators made from diamond, AlGaAs and silicon (Figure3) were
investigated. The shape dependence of the mass sensitivity of nanomechanical
resonators was studied: silicon resonators were fabricated with a novel
`double-triangular' cross-section leading to enhanced mass-sensing capabilities
C11046.

Figure 3:
Nanomechanical resonators fabricated in different materials: diamond, AlGaAs
and silicon. The width of the devices is typically 200 nm. The silicon device
on the right has a novel `double-triangular' cross-section leading to enhanced
mass-sensing capabilities.
Magnetophotonic
components
In close
collaboration with UGent/INTEC a magneto-optical waveguide device was
demonstrated, based on ferromagnetic contacts on top of III-V-based optical
amplifier with 104dB/cm non-reciprocal propagation. This device can be used as
an isolator that can be monolithically integrated with a conventional DFB
laser. RP063, C11054 (see section Applications in photonic systems