sa utilizeze numere fractionare pentru a exprima subdiviziuni ale intregului
1.4 sa efectueze operatii de adunare si scadere cu numere fractionare
3.1 sa exprime pe baza unui plan simplu de idei, oral sau in scris, demersul parcurs in rezolvarea unei probleme
4.3 sa manifeste disponibilitate pentru a invata de la altii si a-i ajuta pe ceilalti in rezolvarea de probleme
Obiectiv general:
► Consolidarea capacitatii de rezolvare a exercitiilor si problemelor care solicita operatii cu numere fractionare
Obiective operationale:
a)cognitive:
Momentele lectiei
Ob. op.
Activitatea invatatoarei
Activitatea elevilor
Do
zare
Metode si procedee
Mijloace
Moment organizatoric
Asigur in clasa ordinea si linistea, ambianta educationala favorabila desfasurarii in bune conditii a lectiei.
Elevii pregatesc manualele si caietele de matematica, eliminand alte preocupari.
Verificarea temei
Verific calitativ tema prin citirea acesteia.
Elevii urmaresc tema individual, corectandu-se acolo unde este cazul.
conversatia
Captarea atentiei
Adresez elevilor intrebari pentru verificarea notiunilor teoretice referitoare la fracții.
Cum se numește numarul scris deasupra liniei de fracție?
Dar cel care se afla sub linia de fracție?
Dati exemplu de o fracție supraunitara.
Se vor citi cateva ghicitori despre fracții.(anexa 1)
Elevii se concentreaza si raspund la intrebarile teoretice.
Elevii sunt atenti si rezolva oral exercitiile.
conversatia
exercitiul
ghicitori
Anuntarea temei si a obiectivelor
Voi comunica elevilor tema lectiei si obiectivele urmarite. (Vom recapitula fracțiile. Vom rezolva exercitii si probleme cu fracții).
Anuntarea temei o voi face clar pentru a fi auzita de toti elevii, dupa care voi scrie titlul pe tabla.
Elevii asculta atenti explicatiile invatatoarei.
conversatia
Consolidarea cunostintelor insusite anterior
O1
O2
O3
O5
O4
Voi prezenta un power- point care conține diferite exerciții cu fracții. Acestea se vor rezolva la tabla.
1. Alege varianta corecta:
a) Fractiile 3 , 13 , 7 sunt: supraunitare,
echiunitare, subunitare.
2. Calculeaza
a) 3 din 630 b) 2 din 420 c) 9 din 180
3. Inlocuiți casuța cu cifra corespunzatoare
a)
![]()
![]()
b)
![]()
Daca o vocala are valoarea de din 270
![]()
iar o consoana are valoarea de din 164 ce
valoare va avea cuvantul PRIETENIE.
![]()
Daca din 120 de fluturasi sunt galbeni
iar restul sunt albastri ,calculeaza cati fluturi albastrii sunt.
Daca din drumul parcurs de fluviul
Dunarea pe teritoriul tarii noastre reprezinta 430 km.Ce lungime are Dunarea pe taramul Romaniei?
7. Aflați fracția necunoscuta
![]()
![]()

![]()
a) Afla din suma numerelor 420 si 260
![]()
b) Afla din produsul numerelor 60 si 8
Elevii sunt atenti la explicatiile date.
Aleg varianta corecta.
Calculeaza exercițiile.
Inlocuiesc casuta cu numarul corespunzator.
Scriu datele problemei.
Rezolva problemele date.
Afla fracția necunoscuta.
Rezolva exercuțiile.
observatia explicatia
Exercitiul
Explicatia
Știu, vreau sa știu, am invațat
problematizarea
Exercițiul
Calculator
CD
videoproiector
Fixarea cunostintelor
Impart elevilor fise de lucru. Se va lucra pe grupe. Elevii au de rezolvat exercitiile si problemele de pe fisa. (anexa2) Se citesc sarcinile de lucru, se explica și se trece la rezolvarea acestora. Dupa ce au terminat de rezolvat, se vor citi exercitiile si problemele si se vor corecta.
Elevii vor trebui sa rezolve pe grupe exercitiile si problemele din fisa de lucru.
Citesc exercitiile pe care le- au rezolvat.
Metoda cubului
Fise de lucru
Aprecieri finale
Apreciez la modul general comportamentul, conduita elevilor din timpul orei.
Voi da tema pentru acasa exercitii din manual.
Se acorda stimulente elevilor.
Elevii asculta cu interes aprecierile cu privire la lectie.
Elevii noteaza tema.
conversatia
Stimulente
ANEXA 1
Ghicitori cu. si despre.fractii
Din intreg sunt o patrime.
Spune-mi, ce fractie sunt,
Subunitara ma numesc,
Numitorul este opt.
Daca mintea ti s-a copt
Si vrei sa fiu fractie,
Mergand cu-ncetinitorul
Gaseste numaratorul.
Spune-mi, cate variante ai?
Si.ca sa nu ma tin scai,
Tu, batut sa nu te dai.
Daca sunt subunitara
Si am numitorul 2,
Spuneti-mi pe nume, voi!
Iar numitorul il intrece,
Fiindca este dublul lui.
Cum ma cheama? Poti sa-mi spui?
ANEXA 2
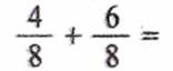
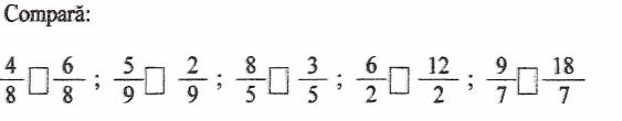
FIȘA DE LUCRU
FIȘA DE LUCRU


FIȘA DE LUCRU

FIȘA DE LUCRU


FIȘA DE LUCRU

FIȘA DE LUCRU

|