Conform definitiei clasice metodologia este o reflectie "prealabila asupra metodei care se cuvine a fi pusa la punct pentru a conduce o cercetare"[1]. Analizând intrinsec aceasta caracterizare operationala a conceptului de metodologie descoperim câtiva termeni specifici oricarui tip de cercetare în domeniul socio-uman prin notiunile de: reflectie prealabila; metoda; alegerea optima a cailor de urmat; notiunea fundamentala de cercetare.
Termenii care definesc si caracterizeaza orice metoda stiintifica sunt paradigmatici si nasc mereu probleme de abordare în cadrul domeniului stiintelor socio-umane. În acest sens, este necesar sa facem câteva precizari:
Reflectia prealabila situeaza omul de stiinta în situatia de meta-analiza: orice cercetare se bazeaza pe un impuls al cautarii-gasite! Pentru a fi înteleasa problema anterioara putem exemplifica prin demersul unei situatii expe 24524r1724y rimentata de catre cercul hermeneutic.
Cercul hermeneutic face trimitere la un postulat care se bazeaza pe o preîntelegere, situat în descrierea pascaliana: Nu m-ai cauta, daca nu m-ai fi gasit! Se evidentiaza situatia constanta a unei subiectivitati si a unei predeterminari în cazul oricarei metode stiintifice aplicate de catre un cercetator. Oricum nu ne putem limita numai la cazul unei subiectivitati al cercetarii, relativizând orice metoda stiintifica si rezultatele ei, ci trebuie sa sesizam si cealalta extrema ideala - a obiectivitatii cercetarii: termenul "stiintific" poarta cu sine ideea ca metodele utilizate în cercetare sunt "(a) impartiale, adica nu favorizeaza o ipoteza sau alta si (b) obiective, adica permit altor specialisti sa repete observatiile si sa obtina aceleasi rezultate.[2]" Asadar, în orice tip de cercetare pe care am realiza-o, ne lovim de primatul argumentarii, al explicarii si al descrierii.
Prin urmare:
Argumentam pentru a ne sustine propriile idei/ipoteze,
Explicam pentru a ne justifica prin metode cantitative sau calitative ideile/ipotezele propuse,
Descriem, interpretam, întelegem atunci când nu gasim argumente de genul celor explicative si, în consecinta, sustinem ca ne bazam pe comprehensiune si ca suntem în comprehensiune, dezvoltând argumente descriptive.
Aceasta distinctie pe care am realizat-o este în masura sa afirme nu, neaparat, întâietatea stiintelor exacte fata de cea a stiintelor socio-umane, ci ordinea aparenta a argumentelor admise în rangul epistemologic din punct de vedere diacronic.
Oricum, este cinic, dar primar, mesajul: epistemologii sunt ca si criticii de arta, filosofi ratati, pe când filosofii sunt epistemologii fara de patalama, (nerecunoscuti de catre societatea stiintifica).
B. Metode de cunoastere
Prin metoda de cercetare se întelege calea, itinerariul, structura de ordine sau programul dupa care se regleaza actiunile individuale si practice în vederea atingerii unui scop. Metodele au un caracter instrumental, de informare, interpretare si actiune. Metodele sunt ghidate de : conceptia generala a cercetatorului, principiile teoretico-stiintifice de la care porneste, iar aceste principii sunt reunite sub denumirea de metodologia cercetarii.
C. Preambul teoretic
Preambulul teoretic impune subtextual manifestarea metodelor si tehnicilor aplicate în realizarea si finalizarea cercetarilor sociale. Are, din aceasta cauza, un caracter predominant normativ. Pe baza reflectiei asupra experientelor trecute de cercetare, formuleaza strategii de investigare, indica atât eventuale dificultati si neajunsuri, cât si caile de obtinere a unor rezultate valide din punct de vedere stiintific.
Metodologia cercetarii în stiintele sociale este expresia constiintei critice[3], autoreflexive si constructive a unei discipline. Uneori este considerata ca fiind o ramura a filosofiei stiintei, dezvoltându-se în relatie cu epistemologia. În aceasta ipostaza se admite ca la modul ideal ar fi necesara inventarea unei metodologii generale care, prin scopuri, sa fie în stare sa treaca dincolo de scopurile oricarei discipline pentru a se ocupa de problemele comune întregii cercetari stiintifice. Acesteia i-ar fi asociate metodologii particulare specializate disciplinar. Comunicarea permanenta dintre metodologia generala si metodologiile particulare ar actiona ca un factor de convergenta a strategiilor de cercetare si ca o cale de accentuare a caracterului unitar si global al cunoasterii stiintifice. Deocamdata, însa, nu este constituita o metodologie generala a cercetarii stiintifice, analizele concentrându-se la nivelul metodologiilor particulare de genul metodologia cercetarii în stiintele sociale.
Clasele de elemente componente ale metodologia cercetarii în stiintele sociale sunt:
enunturile teoretice fundamentale admise ca referinte pentru structura paradigmatica a unei teorii si convertite în principii metodologice de orientare a abordarii realitatilor sociale;
metodele si tehnicile de culegere a datelor empirice (observatia, experimentul, ancheta etc.);
tehnicile si procedeele de prelucrare a datelor si informatiilor empirice, de ordonare, sistematizare si corelare a acestora pentru fundamentarea deciziilor privitoare la semnificatiile lor teoretice;
procedeele de analiza, interpretare si constructie sau reconstructie teoretica pe baza datelor empirice în vederea elaborarii de descrieri, tipologii, explicatii si predictii teoretice.
Elementele nu sunt, totusi, unitar si universal constituite ci manifesta diferentieri importante. Principala sursa de variatie este reprezentata de conceptia teoretica luata ca referinta, de discursul identitatii. Întrucât în cercetarea stiintifica nu exista înca ,o "paradigma" unica, ci structuri teoretice alternative care uneori sunt concurente iar alteori complementare, fiecare teorie majora a tins sa-si derive si sa-si formuleze propria metodologie. De exemplu: E. Durkheim a formulat "regulile metodei sociologice" adecvate conceptiei sale despre societate; Max Weber a construit o metodologie de studiere a fenomenelor sociale în concordanta cu propria "paradigma interpretativa" utilizând termenul filosofic de comprehensiune; etnometodologia a dezvoltat metode "etnografice" de analiza a comunicarii si a semnificatiilor investite de actorii sociali în actiunile lor etc. S-a ajuns la situatia în care deosebirile principiale dintre abordari sa fie considerate ca fiind mai importante decât asemanarile si din aceasta cauza nu se poate vorbi înca de o metodologie unica a cercetarii stiintifice.
În functie de modul teoretic general aplicat în vederea explicarii vietii sociale se distinge între practica metodologica "obiectiva" si cea "interpretativa". Practica metodologica obiectiva urmareste sa promoveze acea metodologie care este apropiata de modelul stiintelor naturii; faptele sau fenomenele sociale sunt explicate prin alte fapte sociale; cunoasterea sociala trebuie sa ajunga sa ia forma explicatiilor si predictiilor[4], a legilor si generalizarilor empirice detasate de eventualele implicatii valorice pentru a asigura "obiectivitatea" discursului social. Desi unitara la nivelul celor mai generale principii, practica metodologica "obiectiva" a evoluat de la operationalism (dupa deceniul al patrulea al secolului XX) la empirism (în a doua jumatate a secolului XX), pentru ca ulterior sa se consacre sub forma analizei structurale, analizei functionale sau a analizei sistemice.
Practica metodologica "interpretativa" a fost formulata de filosofia sociala neokantiana, fiind dezvoltata de "sociologia interpretativa" a lui Max Weber si continuata în cadrul interactionismului simbolic, sociologiei fenomenologice si etnometodologice. În aceste abordari se pune accentul pe specificul subiectiv ireductibil al faptelor sociale, ceea ce implica necesitatea concentrarii analizelor asupra semnificatiilor investite si vehiculate de actorii sociali în interactiunile si situatiile lor sociale.
În conditiile diviziunii abordarilor metodologice, analistul social se confrunta, în realizarea si finalizarea unei cercetari, cu mai multe deschideri optionale atât la nivelul postularii sau constructiei teoretice, cât si la cel al elaborarii proiectului unei investigatii. Deschiderile optionale îi apar într-o forma polarizata: pozitivare sau interpretare a datelor; individualism sau holism metodologic; obiectivitate sau implicare ideologica; filosofie sau stiinta sociala. Aceste optiuni sunt uneori considerate nu ca polare, ci complementare.
În metodologia cercetarii în stiintele sociale au fost dezvoltate ca metode principale de culegere a datelor empirice: observatia, ancheta sociala, analiza documentelor sociale si experimentul. Fiecarei metode îi corespunde un set diversificat de tehnici aplicative, adica de operatii integrate într-un mod particular de identificare, colectare si prelucrare a datelor empirice.
Diversitatea optiunilor teoretico-metodologice se releva si la nivelul definirii normelor si tehnicilor aplicative circumscrise uneia si aceleiasi metode. Astfel, în fenomenologie si etnometodologie s-a manifestat preferinta pentru aplicarea si dezvoltarea tehnicilor de observare participativa, pe când în practicile metodologice "obiective" s-au extins tehnicile de elaborare a anchetelor sociale.
Desi este posibil si adeseori s-a înfaptuit transferul de tehnici de cercetare dintr-un mod de abordare în altul, trebuie avut în vedere ca nu se realizeaza doar un simplu transfer tehnic, ci si modificarea presupozitiilor teoretice care le-au generat. Lipsa de control sistematic al efectelor tacite sau implicite generate de nemodificarea presupozitiilor teoretice risca sa genereze distorsiuni la nivelul analizei datelor empirice. Tehnica de investigare trebuie deci modificata sau adaptata contextului teoretic.
Cunoasterea stiintifica si cunoasterea conditiilor si practicilor de producere a ei sunt aspecte corelate ale unuia si aceluiasi proces de dezvoltare a sociologiei. Ignorarea acestei necesare complementaritati se manifesta uneori prin transformarea metodologia cercetarii în stiintele sociale. Într-o orientare eminamente critica si normativa, care formuleaza acele principii ideale de producere si reproducere ale cunoasterii sociologice pe care nimeni nu le poate aplica în mod consecvent, dar oricând pot fi invocate în ipostaza de standarde sau instante critice.
Astfel conceputa, metodologia cercetarii în stiintele sociale prezinta riscul generarii unor efecte inhibitoare[6], când menirea ei este tocmai aceea de a stimula imaginatia cercetatoare creatoare. Rolurile de teoretician, cercetator si metodolog sunt coextensive profesiei de sociolog, psiholog, antropolog s.a. tot asa cum stiintele socio-umane includ, în însasi constructiile lor, atât teoria si practica cercetarilor empirice, cât si teoria producerii acestor teorii.
Conflictul implicit este jalonat de C.
Dar cine este acest C? Ce reprezinta C-eul ? Mai ales, pâna unde se poate descoperi un nume de C[7]?
Un cititor atent observa faptul ca acest C este agasant în distragerea lui. Semnifica situatia Cercetatorului. Care în domeniul cantitativ exprima un a fi pozitivist iar în domeniul calitativ experimenteaza un a fi hermeneutic ori fenomenologic. Brayman[8] (1992) asociaza acestor doua domenii atributele de epistemolog explicativist, pe de o parte, si de epistemolog fenomenologic si ideografic, pe de alta parte. Oricum, distantarea dintre cele doua abordari este suficient de mica pentru a fi ininteligibila, desi, deseori epistemologii le deosebesc tocmai din prisma instrumentelor utilizate, focalizându-le si taxonomizându-le ca metode diferite de cercetare. Însa, un lucru le uneste: cele doua metode sunt interconditionate si complementare, nu putem face nici un tip de cercetare pur cantitativa sau pur calitativa!
Conflictul explicit este datorat relationarii între cercetator si subiectul cercetat: în cazul cercetarilor cantitative exista o distanta relativa între omul de stiinta si subiectul cercetat, analizându-se fenomenele din exterior iar în cazul cercetarilor calitative, exista o apropiere relativa între omul de stiinta si subiectul cercetat, interpretându-se fenomenele din interior. Aceste departari sau inter-patrunderi sunt, însa, relative deoarece descriu în ambele cazuri scenariile cognitive si hartile cognitive pe care cercetatorii, indiferent de gradul cercetarii, le au. De exemplu, o interpretare neutra, cantitativa a unui fenomen fizic este imposibila fiindca, la fiecare prag de verificare a ipotezelor / terte / partiale ne gasim în situatia în care cercetatorul intervine sau participa mijlocit ori nemijlocit în situatia experimentala, iar o interpretare obiectiva a unui fenomen socio-uman este improbabila pentru ca factorii subiectivitatii sinelui intervin constant în interpretarile si comprehensiunile initiale si finale. Aceste supozitii descriu însa un scepticism gnoseologic, astfel încât este mai simplu sa urmam calea afirmativa a naivitatii gnoseologice, a expunerii constante a celor doua metode de cercetare.
E. Elementele stiintelor sociale
Din punct de vedere etimologic, metodologia semnifica "teoria metodelor", provenind din limba greaca: methodos si logos. Vlasceanu, L., arata faptul ca metodologia cercetarii sociologice "reprezinta o analiza a metodelor si tehnicilor aplicate în realizarea si finalizarea cercetarii sociale"[9].
Metodologia stiintelor sociale poarta cu sine imaginea unei constiinte critice, autoreflexive si constructive a unei discipline. Metodologia cercetarii socio-umane este considerata deseori ca fiind o specie a filosofiei stiintei, relationându-se cu epistemologia. Din aceasta perspectiva exista o metodologie generala cu caracter de sinteza ori unificator care se ocupa de problemele comune întregii cercetari stiintifice.
Metodologia stiintelor sociale[10] are în structurile problematice ale sale urmatoarele elemente:
a. Un obiect/fragment al cercetarii sociale,
b. Un sistem de reguli,
c. Un manunchi de proceduri explicative si/sau descriptive,
d. Un sistem de evaluare a regulilor si procedurilor întrebuintate,
e. Un punct final al interpretarii si întelegerii realitatilor sociale,
Aceasta structura reda, în mod functional, modalitatile de cercetare a realitatilor sociale, indiferent de paradigmele epistemologice întrebuintate sau de curentele metodologice acceptate.
Criteriile cele mai des utilizate prin care cercetatorul se încearca sa faca o incursiune în real, în interpretarea sau în întelegerea câmpului experientei sociale istorice sunt:
Deosebirile cantitative si deosebirile calitative,
Domeniul de apartenenta: stiinte politice, psihologie, sociologie, economie, istorie, antropologie, s.a.
Realitatea cercetarii sociale fiinteaza, de pilda, într-o imagine statica sau exterioara cercetatorului, în cazul analizelor cantitative sau se dezvolta o imagine a realitatii ca proces, ca modalitate co-participativa din punct de vedere social de catre cercetator. Din aceasta ultima demarcatie rezulta si procedeele si metodele cel mai des întrebuintate de catre cercetator: experimentul, chestionarul standardizat, pe de o parte si observatia participativa sau interviul intensiv, pe de alta parte. Conform acestora:
În cazul cercetarilor cantitative se obtin, de regula, explicatii tari, valide, cu un grad mare de fidelitate.
În cazul cercetarilor calitative se obtin, de facto, explicatii complexe, de adâncime.
De exemplu, în sociologie sunt realizate cercetari care vizeaza universul explicativ al faptelor sociale, prin examinari cantitative ale acestora, iar exemplul regulilor metodei sociologie a lui Durkheim este elocvent, sau sunt realizate studii asupra fenomenului comprehensiv al realitatilor sociale, în cadrul caruia, premisele lui Weber sunt suficiente.
TEMĂ 1
1. Ce este metodologia stiintelor sociale:
2. Definiti conceptul de metodologie din cel putin doua puncte de vedere:
a.
b.
3.Analizati o caracteristica intrinseca a metodologiei, cu cuvintele d-voastra (nu folositi decât indirect cuvintele din curs):
4.Care este conflictul prezent în orice demers metodologic (realizati un minieseu de Ľ pag.):
Principiile metodologice care apar în cadrul cercetarilor sociale contemporane au ca fundament si ca argument o unitate constanta a cercetarilor ca interconexiune între teoretic si empiric, întelegere si explicatie, cantitativ si calitativ, judecati constatative si judecati evaluative.
În acest sens, se dezvolta câteva principii cu caracter de fundament al cercetarii sociale care exprima[13]:
a. Principiul unitatii dintre teoretic si empiric care marcheaza sincronic si diacronic dezvoltarea stiintelor umane si a stiintelor ca întemeiere. Datorita acestuia putem vizualiza în orice element de revolutie a stiintelor, necesitatea adaptarii celor doua metode de cercetare care pot sa conduca la obtinerea unui aceluiasi rezultat: de la descoperirea empirica a lui Arhimede a gravitatiei, pâna la relationarea teoretica a acesteia de catre Newton, pâna la descoperirea modalitatilor de comunicare prin telefon sau a planetei Neptun s.a.m.d.
b. Principiul sintetic al conexiunii dintre explicatie si întelegere (comprehensiune). Într-o viziune de ansamblu, omul este o fiinta istorica în cadrul caruia sensul si semnificatia apar, dezvoltându-se explicatia si întelegerea ca o modalitate de conexiune sistemica, în care se realizeaza scopuri si valori conform structurii vietii sociale. Diferentierile care se fac între abordarile cantitative si abordarile calitative în metodologia contemporana se pot traduce în mod spontan ca discurs al permanentei si ale permanentelor umane, ca dialog stiinta - extrastiinta, ca întemeiere a stiintelor spiritului, ca problematizare a experientei adevarului s.a.m.d.
Extrapolata si actualizata aceasta unitate a trairii duce la imaginea actuala a omului. Omul este definit ca un "text" de explicat prin intermediul comprehensiunii, prin care se ajunge la cunoasterea caracteristicilor comune date prin conditiile modului de cunoastere, descoperindu-se laturile explicarii si interpretarii daca si numai daca "exista manifestari de viata fixate scriptic", rezultând o "logica a vietii"[14] ca o cunoastere prestiintifica si preteoretica, care dau ele însele sensul vietii si al lumii si care constituie fundamentul criticii neîntelegerii, al ratiunii istorice, al modalitatii de interrelationare Ego - AlterEgo.
Conform acceptiei date de catre dictionar, hermeneutica este o metoda prin care se interpreteaza "în primul rând textele si în al doilea rând întreaga lume psihologica, istorica si sociala"[15]. Ca o determinare socio-spirituala, hermeneutica în acceptia dictionarului lui Antony Flew exprima în teologie interpretarea adevarului spiritual al Bibliei iar în filosofia sociala este un termen împrumutat din primul domeniu de catre Dilthey pentru "a denumi disciplina ce are ca obiect investigarea comportamentului uman, a vorbirii, institutiilor etc. ca fiind esentialmente intentionale" , iar existentialismul cauta sa descopere sensul existentei umane.
Exista si o relationare prin care hermeneutica este vizualizata în domeniul considerarii acesteia ca o teorie alternativa fata de domeniul epistemologic si pozitivist-empiric[17] ca demers specializat al "explicitarii, interpretarii si întelegerii; ea are principii, categorii, reguli si proceduri. Ea este teoria comprehensiunii, opusa demersului scientist" , fiind mai apropiata de arta decât de demersul cauzal, vizând un proces de interpretare asemanator cu cel al traducerii (face din ceva strain ceva familiar) ceea ce o recomanda ca "arta a interpretarii", a întelegerii. Ca modalitate functionala hermeneutica "traduce planul eului în planul Altuia si invers" . Daca si Quine, W., V., O., a argumentat faptul ca exista, în mod constant, o indeterminare a traducerii, dintr-un limbaj în altul, astfel încât, în mod cert, fiinteaza o anumita "relevanta pragmatica" , ceea ce semnifica faptul ca traducerea, în general "nu are o determinare absoluta", ci în cazul cel mai bun putem vorbi despre "identitate de semnificatie" sau despre expresii sinonime, daca si numai daca "indeterminarea este luata ca relevanta" . Efortul hermeneutic este transpus tocmai în obiectivarea sau în întemeierea acestei indeterminari ca extrapolare a planului si a câmpului de experienta a unui individ la nivel social.
Revalorizând, tocmai aceasta distantare (nu neaparat opunere, sau în cazul cel mai bun negare) fata de demersul scientist este cea care a dat nastere fenomenului filosofic hermeneutic (de la Schleiermacher la Gadamer si de la Dilthey la Ricoeur) fiind, ori tinzând sa fie, o varianta a experientelor în aceeasi masura inedite dar comune, subiective, dificil de înteles prin cuprinderea în esenta discursului (se poate argumenta ca metodologie si prin ideea de cerc) hermeneutic, pe un acelasi plan a comunului social care predetermina ineditului, rezultând rolul, locul si importanta limbajului, a intersubiectivului care formeaza cultural subiectivitatea, implicând rolul, locul si importanta istoriei sau a traditiei ca si concepte hermeneutice. Remarcam, în acest sens, conceptia lui M. Bakhtine, care analizând diferentele între stiintele umane si stiintele naturale declara faptul ca "refuza ideea unei frontiere" absolute, însa, tocmai aceasta "rigiditate opusa a lor" a fost determinanta pentru "evolutia ulterioara a stiintelor umane", care a condus la formarea unui autentic "început de drum" al stiintelor umane sub forma unei comprehensiuni dialogice ale stiintelor spiritului, dând pentru prima data tuturor acestor discipline începând cu Dilthey doua spirite: analizatorul si analizatul sub forma unui obiect conceput în interrelationare si interactiune cu spiritul, prin intersubiectivitate si eveniment .
Ca urmare, fenomenul hermeneutic se legitimeaza prin adâncirea în fenomenul comprehensiunii, ceea ce presupune critica, chiar depasirea si a "constiintei estetice" care preia "conceptul de adevar al stiintei", rezultând o dezvoltare a unui "concept de cunoastere si adevar care sa corespunda cu totalitatea experientei noastre hermeneutice"[23]. Dar acest adevar este plasat în plan ontologic sau fenomenologic, fiind un adevar de modalitate si de potenta, niciodata unu, nici ca lucru-obiect si nici ca subiect-fiinta, întotdeauna creativ, multiplu, generativ.
Într-o perspectiva exegetica, hermeneutica este teoria interpretarii comprehensive, a interpretarii care conduce la întelegere, pe de o parte, iar, odata cu Heidegger, M., comprehensiunea nu mai este urmare a exegezei ci este fundamentul oricarei interpretari sau explicitari, ca un mod de a fiinta al interpretului (Dasein).
Scopul hermeneuticii este "descoperirea întrebarilor la care raspunde textul, ceea ce implica si contextul (locul, momentul), pretextul (ocurenta, ocazionalitatea raspunsului) si subtextul (deci ceea ce este textul, purtând cu sine, nu are în intentionalitatea comunicarii). Textul se afla într-un context datorita unui pretext si acopera mereu un subtext pe care-l poarta cu sine"[24] ca un fel de joc al interpretului care nu este niciodata singur ci este mereu dublat de semnificatiile multiple ale anterioritatii socio-culturale si volitiv-intentionale. Regula secundara descrie cunostintele prealabile contextuale (gramaticale, istorice, estetice, psihologice) pe care trebuie sa le avem pentru a interpreta. Este paradoxal sau nu, dar putem problematiza daca vreun om se regaseste vreodata în plinatatea scopului hermeneuticii, când el, de fapt, reuseste sa utilizeze numai cunostintele prealabile contextuale?
Textul luat ca o lume nu este niciodata singur ci poarta cu sine sintagma paradigmelor existentiale, epistemice si actionale. În acest sens, este interesant de aflat daca textul luat ca un întreg este în vreo clipa a fiintei sale neutru, daca el raspunde cu succes premiselor autoreferentialitatii pentru a se constitui ca o lume (perfecta sau ideala) în sine, închisa sau situata într-o potentialitate creatoare continua, daca el reuseste sa depaseasca universul atribuirilor de sens logic prin surprinderea unor altor tipuri de semnificatii ale adevarului sau neadevarului, ale consecintelor fructuoase ori nefructuoase, ale propozitiilor cu sens empiric sau indiferente fata de sens, din punct de vedere logic.
Astfel, regula esentiala a cercetarilor hermeneutice este întelegerea întregului prin parti si a partilor prin întreg. Regula hermeneutica este explicata sub forma acestei interrelationari: întregul trebuie înteles pornind de la parte si partea de la întreg, ceea ce vizeaza cercul hermeneutic, cerc ce nu descrie decât o interdependenta la nivel sistemic între, de exemplu, om si umanitate, între fiinta si existenta, între text si limbaj.
De fapt, întreaga disputa si paradigma hermeneutica este o distantare nu numai fata de genul reproductiv si repetitiv (care îsi gaseste de fiecare data reflectarea epistemologica si filosofica în empirism si, mai ales în pozitivism) ci si fata de demersul pozitivist si epistemologic, propunând, în fiecare colt al argumentelor ei o viziune care se întemeiaza pe un alt-fel de singularitate a descoperirii realului, a realitatii socio-descriptive umane.
Paradigme ale taxonomizarii hermeneuticii
Daca initial, din punctul de vedere al lui Schleiermacher, F. si al lui Dilthey, W., hermeneutica era perceputa ca o teorie a întelegerii (prin depasirea multiplelor neîntelegeri extinse la un nivel procesual), ca teorie a interpretarii care s-a dezvoltat prin analiza mijlocita si nemijlocita a unei semantici de natura gramaticala (presupunând dezvoltarea unor tehnici de analiza), si psihologica (propunând universul cunoasterii vietii, a trairii si a omului ca specie inteligibila) si axiologica (redimensionând valori de ancorare si de fundamentare) prin includerea empatiei ca proces de interpretare a operelor de arta, îndeosebi a textelor si a scrierilor discursive, contemporan hermeneutica semnifica, descriptiv, teoria comprehensiunii.
Von Wright, G.,H., face o trimitere pertinenta asupra opozitiei între pozitivism si o abordare antipozitivista a stiintei care a aparut cu pregnanta spre sfârsitul secolului al XIX - lea, filozofie numita idealism, sau mai firesc hermeneutica, transpusa în distinctia lui Windelband între :
nomotetic - stiinte ce cauta legi ;
ideografic - stiinte ce propun un studiu descriptiv al individualitatii, între explicatie - Erklären si întelegere - Verstehen, care odata cu Droysen si Dilthey[25]întemeiaza studiul disciplinelor socio-umane, ca separare metodologica fundamentala între stiintele naturii si stiintele istorice.
Analiza deschiderilor teoretice ale hermeneuticii îsi regaseste deseori originea în fenomenologia husserliana, prin promovarea intentionalitatii si a subiectivitatii fenomenologice, prin propunerea ca metoda a interrelationarii (a identitatii am putea spune) subiectiv-obiective, prin conturarea "dreptului constiintei la "cunoasterea de sine" si a realitatii totodata"[26] ca drept integrator.
c. Principiul unitatii dintre cantitativ si calitativ. Deosebirile care exista între metodele calitative si metodele cantitative de cercetare sunt un rezultat al temeiurilor, aparent distantate, care stau la originea curentelor pozitiviste si fenomenologice-comprehensive de analiza ale fenomenelor sociale. Curentul pozitivist, pune accentul pe explicatie, pe dimensiunile cauzale ale fenomenelor si faptelor sociale, cautând în orice eveniment sau proces studiat, descoperirea unor legitati sociale.
Metodele cel mai des întrebuintate sunt cele cuantificabile. Acestea apar cel mai des reflectate fie sub forma unor analize statistice, fie sub forma unor determinari experimentale ca descoperire a legaturilor care exista între variabilele dependente si variabilele independente, sau ca modalitati combinate. Instrumentele folosite de catre analiza cantitativa sunt numite tehnici structurate.
Cele mai utilizate tehnici cantitative structurate în cercetarea socio-umana sunt: planul de observatie sistematica, ancheta sociologica, experimentul.
Cele mai utilizate tehnici calitative sunt tehnicile nestructurate: observatia co-participativa, interviurile intense, studiul de caz, metoda analizei autobiografiilor.
d. Principiul unitatii dintre judecatile constatative si judecatile evaluative releva atitudinea cercetatorului situata într-o triada a descoperirilor axiologice, etice si deontologice ale cercetarii sociale realizate.
Din perspectiva aplicarii metodelor de cercetare stiintifica Irina Culic[27] atrage atentia asupra a doua principii practice de care trebuie sa se tina seama în orice cercetare sociala:
Principiul adecvarii,
Principiul simplitatii.
Principiul adecvarii se refera în mod concret la modul în care cercetatorul îsi planifica cadrul conceptual dupa care se ghideaza în cercetarile pe care le întreprinde, si, pe de alta parte, la strategia metodologica care este utilizata în cercetarea problemei/ a problemelor vizate.
Max Weber[28] a fost primul gânditor care a criticat atât abordarile stiintelor naturale cât si abordarile istorice datorita exclusivismului la care acestea recurgeau (regularitatile si legitatile descoperite prin cele doua metode de abordare a realitatii culturale sau spirituale erau fie comune fie paralel-diferite) subliniind faptul ca deosebirile care apar între stiintele naturale si cele istorice sunt datorate exclusiv intereselor si finalitatilor cognitive diferite ale cercetatorilor si nu se datoreaza metodelor diferite de cercetare (stiinta vs. istorie). De exemplu, stiinta naturii urmareste sa descopere legitati si regularitati ale fenomenelor care cu cât sunt mai generale cu atât sunt considerate a fi mai bune si mai operationale (legile). stiintele istorice, dimpotriva, cu cât descopera legitati mai generale cu atâta acestea sunt considerate a fi mai lipsite de continut, mai putin valoroase.
Concluzionând, cercetarea realitatii sociale poate fi facuta, în general, prin doua temeiuri esentiale: pe de o parte cercetatorul poate cauta gasirea unor metode generalizate, si, pe de alta parte, cercetatorul poate urma o metoda individualizatoare, care sa puna accentul pe particularitatile fenomenelor si actorilor supusi analizelor experimentale. Dar, cunoasterea sociala nu este completa decât prin împletirea celor doua metode, deoarece fiecare dintre ele, izolate, poarta cu sine un temei incomplet. Este cazul ideal. În realitate, cunoasterea obiectului care "merita" sa fie studiat este supusa intereselor si valorilor dupa care se ghideaza cercetatorul.
Principiul simplitatii este cel care se foloseste de fiecare data când se propune un model al cercetarii, când datele cercetarii sunt analizate si interpretate.
Principiile sociologice sunt un exemplu al cercetarii care se relationeaza cu principiile etice ale abordarii fenomenelor sociale, astfel încât, este o utopie utilizarea lor numai în scopuri predictive si rareori evaluante si valorice. În acest ultim caz se atrage atentia asupra faptului ca sunt dezvoltate mecanisme anticipative care urmaresc sa atinga nu intentia politica ori administrativa, ci cauta sa impuna modele culturale fundamentale, considerate, într-o anumita masura si ideale.
TEMĂ 2
1. Descrieti PRIN DOUĂ JUDECĂŢI/ PROPOZIŢII deosebirile care exista între metodele de cercetare:
2.Precizati care sunt elementele stiintelor sociale, IMAGINÂNDU-VĂ CĂ APLICAŢI UN SINGUR PRINCIPIU sI UN SINGUR ELEMENT:
3.Ce fel de explicatii se obtin în cadrul cercetarilor cantitative (raspundeti mai ales la întrebarea DE CE?):
4. Ce fel de explicatii se obtin în cadrul cercetarilor calitative(raspundeti mai ales la întrebarea CUM?):
5. Enumerati principiile metodologiei:
6. Analizati cu cuvintele d-voastra un principiu metodologic (nu folositi decât termeni esentiali, redând cuvintele din curs):
7. Ce este cercetarea realitatilor sociale, prin raport cu studiul stiintelor exacte?
Analizând variabilele de comunicare si de relatii cu publicul, Doug Newson (2003) descrie existenta a doua mari tipuri de cercetare :
Informala,
Formala.
I. Cercetarea informala este tipul de cercetare care implica nestabilirea anterioara a unor reguli si proceduri de cercetare standardizata. Datorita acestor proceduri, finalitatea cercetarii este de natura descriptiva si nu de natura predictiva. Sunt identificate urmatoarele proceduri :
A. Cercetarea prin masuratori discrete care au ca scop adunarea informatiilor în legatura cu un proces, fenomen sau eveniment social fara a interfera efectiv cu obiectul cercetarii. Acest tip de cercetare conduce la formarea unei notiuni generale despre obiectul studiat. De exemplu, administratorii unui muzeu fac deseori o legatura între popularitatea unui exponat si gradul de deteriorare a covorului din fata acestui exponat.
Aceste masuratori discrete se pot face cu ajutorul observatiei sau al convorbirilor (cu publicul).
Observatia consta în urmarirea sistematica a manifestarilor în conditiile activitatilor naturale de activitate, sau în cazul unor actiuni predeterminate de catre cercetator.
Observatia este o metoda care presupune urmarirea atenta si sistematica a unor procese si activitati, asa cum se desfasoara ele în mod obisnuit, în scopul de a le înregistra cât mai exact.
Din punct de vedere stiintific se recomanda întocmirea unui plan de observare cu precizarea obiectivelor ce vor fi urmarite, a cadrului în care se desfasoara, a instrumentelor necesare pentru înregistrarea datelor.
Din punct de vedere general, observatia se defineste ca fiind priceperea sistematica, de durata si îndreptata spre un anumit scop a obiectelor si proceselor din realitatea înconjuratoare. Ea este o metoda de cunoastere a realitatii pe baza perceptiei nemijlocite.
Din punct de vedere operational observatia consta în urmarirea sistematica a faptelor sociale asa cum se desfasoara ele în conditii obisnuite. Ea consta în înregistrarea datelor si constatarilor asa cum se prezinta, cercetatorul asteptând ca ele sa se produca pentru a le putea surprinde.
Observatia permite observatorului sa surprinda diferite aspecte în desfasurarea naturala a fenomenului studiat. Pentru a înregistra datele este necesara stabilirea aspectelor ce urmeaza a fi urmarite: comportamentul unui subiect sau a mai multora, relatiile din societate, etc. Ion Dragan si Ioan Nicula[30] prezinta unele cerinte ce trebuie respectate pentru folosirea observatiei:
elaborarea prealabila a unui plan de observatie cu precizarea obiectivelor ce vor fi urmarite, a cadrului în care se desfasoara, etc.
consemnarea imediata a datelor observatiei, fara ca cei observati sa-si dea seama de acest lucru. În acest sens se folosesc diferite instrumente, cum ar fi fisa sau foaia de observatie pe baza carora se întocmeste protocolul observatiei, aparate tehnice pentru înregistrarea unor date si manifestari;
crearea conditiilor pentru a nu altera desfasurarea naturala a fenomenelor observate. Un observator autentic este patricianul însusi, cel integrat în desfasurarea propriu-zisa a fenomenului. Un cercetator-observator exterior poate denatura rezultatele prin simpla sa prezenta;
efectuarea acelorasi observatii în conditii si împrejurari variate de catre un singur observator sau de catre mai multi observatori ofera posibilitatea confruntarii datelor obtinute.
În consecinta, observatia este demersul stiintific care comporta în general o metoda de investigatii care nu este reductibila la o simpla impresie asupra unui fapt sau a unei persoane, fiind din aceasta cauza o stare activa a receptarii si colectarii de informatii.
Observatia directa consta în urmarirea faptelor sociale asa cum se desfasoara ele în conditii obisnuite. Acest tip de observatie permite observatorului sa surprinda diferite aspecte care apar în desfasurarea naturala, reala a fenomenului. Se foloseste în toate etapele cercetarii, oferind confirmarea sau date suplimentare în legatura cu fenomenul studiat.
Observarea sistematica presupune elaborarea unui plan detaliat în legatura cu fenomenele sau procesele studiate, plan care este materializat de cele mai multe ori sub forma unor documente scrise prin folosirea, de exemplu, a unor grile de observatie.
Relatia observatorului cu fenomenele observate nu este întâmplatoare si nici pasiva, dimpotriva ea are un caracter intentionat, premeditat, cercetatorul fiind cel care stabileste scopul observatiei, cel care receptioneaza selectiv faptele, le interpreteaza si sintetizeaza în functie de obiectivele propuse, dar si de informatiile de care dispune.
Pentru a se realiza o observatie reusita este important sa se decida ce aspecte intereseaza mai mult, si, apoi, sa se stabileasca o metoda simpla de înregistrare a comportamentului observat.
O a doua conditie, în efectuarea unei observatii stiintifice, este apelarea la o serie de repere de control.
Aceste repere de control reies din observatiile anterioare ale cercetatorului, din experienta sa personala de viata sau din lucrarile de specialitate.
Înlaturarea unor obstacole care ar putea împiedeca realizarea unei observatii adecvate, este o alta conditie a observarii stiintifice.
Printre obstacolele care ar putea împiedica o buna observare putem aminti:
influenta dispozitiilor mentale ale cercetatorului în momentul observarii,
schema pre-perceptiva care poate deforma faptele observate,
atitudinea observatorului de a decodifica faptele observate în conformitate cu teoria la care adera,
tendinta ca asteptarile si anticiparile cercetatorului sa induca rezultate în conformitate cu acestea.
Preîntâmpinarea aparitiei unor asemenea obstacole sau eliminarea lor se poate face, fie prin apelul la mijloacele tehnice, fie prin formarea si educarea corespunzatoare a observatiilor.
O ultima conditie a observarii sistematice este recurgerea la modalitatile de evaluare a observatiilor efectuate care sa permita înregistrarea facila a datelor si compararea lor.
În acest scop, este indicata determinarea unitatilor de observatie (a cuantumului de elemente observate pe intervale egale de timp, repartizarea acestora de-a lungul unei zile). De asemenea, pot fi stabilite grade de estimare ale unor însusiri psihice.
Mijlocul cel mai sigur care faciliteaza recoltarea si compararea rapida a datelor de observatie îl reprezinta utilizarea unor grile de observatie si sistematizarea lor în functie de o serie de criterii.
Observatia stiintifica presupune în modalitati riguroase parcurgerea urmatorilor pasi:
elaborarea unui plan de observatie,
precizarea obiectivelor ce vor fi urmarite,
precizarea cadrului în care se desfasoara,
precizarea evenimentelor instrumentale ce vor putea fi folosite pentru înregistrarea faptelor observate.
Exemplu de fisa de observatie individuala:
Datele de identificare
Numele ..............
Prenumele.............
Vârsta..............
Categorie sociala..........
Starea civila............
Studii................
Activitate profesionala........
|
Data |
Fapte de natura atitudinala |
Interpretarea faptelor |
Masuri aplicate |
Eficienta masurilor |
|
Exemplu1 -este iritat în momentul în care nu poate sa raspunda imediat la întrebarile puse de catre cetateni |
Exemplu2 hipersensibilitate - lipsa de realism, de încredere în fortele proprii - nu are o motivatie superioara |
Exemplu 3 - angajatul este laudat /atentionat la fiecare progres/ nereusita |
Exemplu 4 - usoara ameliorare a starii emotionale în fata esecului imediat |
Grila de observatie se caracterizeaza printr-o lista de rubrici care ofera cadrul de clasificare a datelor brute. În alcatuirea unei grile de observatie trebuie sa se respecte urmatoarele exigente:
a. categoriile care apar ca rubrici ale unei grile trebuie sa fie disjuncte (X sau Y sau Z) si sa epuizeze aspectele principale ale fenomenului studiat;
b. lista grilelor de observatie se stabileste pe baza unui material empiric (pe baza observatiei simple si a experientei personale) care apare în faza preliminara;
c. nu este indicat ca o grila de observatie sa cuprinda mai mult de zece rubrici.
|
Nr.crt. Nume Prenume |
Comunicare cu cetatenii |
Corectitudine în relatiile de serviciu |
Rezolvarea sarcinilor |
Stres în situatii conflictuale |
||||||
|
F.B. |
B. |
S. |
F.B. |
B. |
S. | |||||
Grila de observatie are avantajul ca ofera aceleasi cadre de referinta, desi se bazeaza pe observatii diferite. Însumarea datelor da ocazia reprezentarii acestora sub forma unor grafice sau a unor indici numerici.
TEMĂ 3:
Elaborati o fisa de observatie individuala a comportamentului unui functionar public si aplicati aceasta fisa pe 7 persoane, respectând urmatorul tabel de rânduri si coloane în care dumneavoastra trebuie sa precizati si sa completati criteriile pe care doriti sa le urmariti:
|
Nume/ prenume |
Criteriu1 |
Crit.2 |
Crit.3 |
crit.4 |
crit.5 |
crit.6 |
Testul reprezinta un instrument constituit dintr-o proba sau o serie de probe elaborate în vederea înregistrarii prezentei sau absentei unui fenomen psihic, a unui comportament sau reactie la un stimul dat.
Testele ofera date despre persoana umana, unele dintre ele neputând fi obtinute pe alte cai. Valoarea si eficienta acestei metode depinde de modul cum este folosita si cum sunt interpretate datele culese.
Tehnicile sociometrice reprezinta un ansamblu de instrumente folosite pentru investigarea si cunoasterea relatiilor inter-personale (de atractie, respingere sau indiferenta), precum si pentru a studia sociabilitatea în cadrul unui grup social.
În categoria tehnicilor sociometrice sunt incluse urmatoarele instrumente: - testul sociometric;
- matricea sociometrica;
- indicii sociometrici;
- sociograma.
Testul sociometric
Testul sociometric este instrumentul cu care debuteaza cunoasterea sociometrica a grupului social. Elaborarea unui test sociometric consta în formularea unor întrebari, potrivit carora subiectii sunt pusi în situatia de a-si exprima afinitatile fata de ceilalti parteneri.
Datele obtinute se prelucreaza, în scopul obtinerii de informatii cu privire la:
pozitia fiecarui membru în interiorul grupului;
structura grupului;
trasaturile de sintalitate/personalitate ale grupului.
Pentru o întelegere profunda a rezultatelor sociometrice se impune si o analiza privind mobilurile interne care determina pe subiect sa aleaga sau sa-i respinga pe unii din colegii sai, care constituie suportul motivational al raporturilor dintre membrii colectivului, în cadrul caruia se pot distinge: componenta psihosociala si componenta axiologica.
Exemplu de test sociometric
Numele si prenumele.........
Vârsta...............
Functia..............
Data...............
1. Cu care dintre colegii tai preferi sa lucrezi în echipa?
a............
b............
c.............
d............
2. Cu care dintre colegii tai nu doresti sa lucrezi în echipa?
a............
b............
c............
d............
3. Daca ai putea sa-ti formezi un grup de lucru de 4 persoane, numeste-i mai jos în ordine ierarhica descrescatoare.
a............
b............
c............
d............
4. Cu care dintre colegii tai comunici cel mai bune, numeste-i în ordine crescatoare?
a............
b............
c............
d............
5. Cu care dintre colegii tai comunici cel mai greu, numeste-i în ordine descrescatoare!
a............
b............
c............
d............
Matricea sociometrica este un tabel cu dubla intrare, în care sunt trecute datele testului sociometric.
Pe verticala si orizontala se afla membrii grupului. În dreptul fiecarui subiect se consemneaza preferintele (pozitive si negative).
Prin totalizare se obtin doua grupe de date:
pe orizontala, dreapta, figureaza date privitoare la expansiunea sociala (alegeri exprimate, respingeri exprimate);
pe verticala, jos, apar date privitoare la incluziunea sociala (alegeri primite, respingeri primite).
Exemplu de tabel cu doua intrari în care se exprima alegerea situatiilor de lucru între colegi. Realizarea ei se bazeaza pe baza unui mic chestionar - test sociometric - în care cei intervievati sunt pusi în situatia de a alge. Pentru analiza alegerilor sau a respingerilor se întocmesc doua tabele separate:
|
Angajat |
F.V. |
G.D. |
H.J. |
T.R. |
R.D. |
Total |
|
F.V. |
| |||||
|
G.D. | ||||||
|
H.J. | ||||||
|
T.R. | ||||||
|
R.D. | ||||||
|
Total |
Indicii sociometrici[31] se
calculeaza prin prelucrarea cantitativa a datelor brute din partea
dreapta si din partea de jos a matricei, cu ajutorul formulei: Is
=![]()
unde: Is = indicele sociometric;
x = date brute din matrice;
N = numarul membrilor din grup.
Semnificatia acestor indici este concludenta pentru aprecierea pozitiei si contributiei fiecarui membru al grupului la constituirea configuratiei interactionale din interiorul sau, atât prin prisma atitudinii fata de grup, cât si a grupului fata de el.
Fiecare indice ofera informatii despre un aspect concret al acestei configuratii, iar prin compararea lor imaginea se întregeste cu detalii privitoare la tensiunea interna ce caracterizeaza statusul individului în grup.
Rezultatele cuprinse în matricea sociometrica, precum si indicii sociometrici calculati, confirma sau infirma parerile sociologului sau datele obtinute prin alte metode (observatia, convorbirea, chestionarul s.a.).
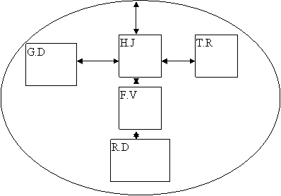
Sociograma este instrumentul care reda sub forma grafica ansamblul relatiilor interpersonale din interiorul grupului. Se poate folosi în reprezentare diferite tipuri de sociograme, de exemplu sociograma "tinta" se bazeaza pe trei cercuri concentrice.
Pornind de la datele de jos ale matricei sociometrice, se iau în considerare valorile extreme (maxima si minima), apoi se delimiteaza celor trei intervale, de amplitudine relativ identica. Subiectii cu valorile cele mai mari se plaseaza în cercul interior, cei cu valorile cele mai mici în cercul exterior, iar cei cu valori medii în cercul din mijloc.
Orientându-ne dupa preferintele exprimate în matrice, se consemneaza, cu ajutorul sagetilor, relatiile dintre membrii grupului social, obtinând o imagine vizuala a relatiilor interpersonale din cadrul acestuia.
Spre deosebire de celelalte instrumente, sociograma cuprinde constelatia structurala a grupului, cu diferitele sale variante (de comunicare, formala, informala etc.), cât si pozitia fiecarui membru în cadrul acestei constelatii.
Tot cu ajutorul acestui instrument se pot depista liderii informali ai grupului (persoanele preferate), cât si originea acestui status. Sociograma evidentiaza, de asemenea, membrii grupului cu tendinta spre marginalizare sau izolare, latenta sau manifesta. Se pot face aprecieri despre liderii formali urmarind modul în care concentreaza relatiile socio-afective din grup si care este ponderea acestora în comparatie cu cea a liderilor informali.
Exemplu de sociograme: Sociograma individuala
Pentru constructia ei se au în vedere urmatoarele:
Se trec initialele subiectului în centrul unui cerc
Se trec initialele celorlalti membrii ai grupului în jurul initialelor subiectului pentru care se realizeaza sociograma
Se simbolizeaza cu sageti pline alegerile unilaterale, alegerile reciproce sau respingerile unilaterale si respingerile reciproce cu sageti fragmentate care apar între membrii grupului.

Pentru constructia ei se au în vedere urmatoarele:
Subiectii se numeroteaza de la 1 la X unde X reprezinta numarul total de subiecti care sunt prinsi în sociograma.
Subiectii sunt cuprinsi în trei cercuri concentrice
Fiecare cerc concentric corespunde unui grad de popularitate, corespunzator numarului de alegeri primite de catre un subiect.
Cercurile cuprind subiectii în ordine descrescatoare, de la interior la exterior., corespunzator alegerilor primite.
Daca exista un subiect care nu a ales pe nimeni din grupul respectiv si nu a fost ales de nimeni el este reprezentat în exterior.
Se simbolizeaza cu sageti pline alegerile unilaterale, alegerile reciproce sau respingerile unilaterale si respingerile reciproce cu sageti fragmentate care apar între membrii grupului.


TEMĂ 4
1. Realizati un test sociometric la nivelul anului I de studiu, administratie publica. Analizati-l cu ajutorul lui 7 colegi/ colege.
2.Realizati o sociograma colectiva a relatiilor din interiorul grupului de studiu, dupa exemplul teoretic prezentat în curs. Punctul de plecare este testul sociometric. DESENAŢI-L ÎN SPAŢIUL DE MAI JOS!
Alex Mucchielli, Dictionar al metodelor calitative în stiintele umane si sociale, Editura Polirom, Iasi, 2002, pag. 239.
Rita L. Atkinson, Richard C. Atkinson, Edward E. Smith, Daryl J. Bem, Introducere în psihologie, Editura Tehnica, Bucuresti, 2002, pag. 14.
Rotariu, Traian, Metode statistice aplicate în stiintele sociale, Editura Polirom, Iasi, 1999, pag.23.
Roman, Regis, Comunicare si societate. Elemente de sociologie generala, "Vasile Goldis" University Press, Arad, 2006, pag. 121 si urm.
|