Ingineria Bioproceselor-proiect
CAPITOLUL I
TEMA DE PROIECTARE
Sa se proiecteze o instalatie pentru obtinearea gluconatului de sodiu prin procedeul de fermentatie "in profunzime" cu o capacitate de 230 kg/sarja (procedeul Bloom).
CAPITOLUL II
STABILIREA TEHNOLOGIEI sI A LINIEI TEHNOLOGICE
II.1 Generalitati
Pornind de la hidratii de carbon si saruri minerale, numeroase microorganisme elaboreaza aminoacizi esentiali necesari pentru sinteza proteinelor. Plecānd de la aceasta observatie, s-au studiat posibilitatile de obtinere la scara industriala, prin tehnologii biochimice, a acizilor carboxilici, a hidroxiacizilor si acizilor aminici.
Acidul gluconic, avānd formula chimica bruta C6H12O7 poate fi obtinut prin reactia de oxidare a glucozei.

Fig. 1
Oxidarea glucozei poate fi realizata pe cale:
v Biochimica
v Chimica
v Electrochimica [1, p289]
Acidul gluconic este un acid organic slab, care nu este nici coroziv, nici caustic. Este netoxic si usor biodegradabil (98% īn 2 zile). Se obtine īn mod natural īn plante, fructe si alte produse comestibile, cum ar fi vinul (pāna la 0,25%) sau mierea (pāna la 1%).
īmpiedica precipitarea sarurilor din apele cu duritate ridicata
īn industria detergentilor
īn industria farmaceutica
īn industria textila, unde gluconatul de sodiu īmpiedica depunerea de piatra pe tesaturi. [3]
Proprietati fizice si chimice
|
Formula chimica bruta: |
C6H12O7 |
|
Viscozitatea aproximativa la 25oC: |
26 cP |
|
Densitatea specifica la 25oC: | |
|
PH la 25oC s īn solutie 50%: |
1.3 + 0.2 23123h710x |
|
Solutie 25% : |
2.2 + 0.2 23123h710x |
|
Solutie 3%: |
2.8 + 0.2 23123h710x |
|
Solutie 1%: |
3.2 + 0.2 23123h710x |
|
Solubil īn |
Apa |
|
Insolubila īn |
Alcool absolut, eter |
|
Aspect |
Substanta alba |
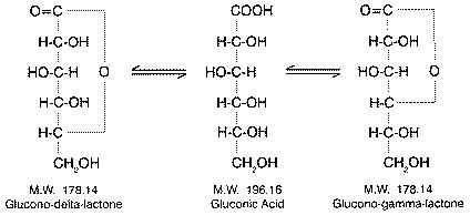
La o concentratie masica de 50% acid gluconic īn apa, solutia se prezinta sub forma unui amestec īn echilibru de acid gluconic, gamma si delta lactona. Echilibrul īntre acid si cele doua lactone este influentat de concentratia amestecului si temperatura. O concentratie mare de delta-lactona va favoriza deplasarea echilibrului spre formarea de gamma-lactona si viceversa. O temperatura scazuta favorizeaza formarea de glucono-delta-lactona, īn timp ce o temperatura ridicata favorizeaza cresterea concentratiei de glucono-gamma-lactona. Īn conditii normale, acidul gluconic 50% prezinta un echilibru stabil care contribuie la culoarea sa de la transparent la galben deschis, cu un nivel scazut de toxicitate si coroziune.
Produsul trebuie pastrat la temperaturi peste 15˚C, deoarece la temperaturi mai scazute lactonele ar putea cristaliza.
II.2 Tehnologii de biosinteza a acizilor carboxilici
Tehnologiile de biosinteza sunt utilizate curent pentru obtinerea acizilor mono- si policarboxilici (acid acetic, acid propionic, acid itaconic), a acizilor monohidroxi-monocarboxilici (acid lactic), a acizilor monohidroxi-policarboxilici (acid citric), si a acizilor polihidroxi-monocarboxilici (acid gluconic).
Īn procesul de biosinteza se folosesc medii de cultura continānd melasa, amidon, maltoza, glucoza, surse de azot, saruri minerale, pe care se cultiva microorganisme din clasa bacteriilor si fungiilor, producatoare de acizi carboxilici. Astfel, cultivānd microorganismul Aspergillus niger pe un mediu de melasa s-au obtinut o serie de acizi carboxilici a caror continut este determinat de compozitia chimica a melasei si durata fermentatiei [1, p.288].
Pentru dirijarea procesului de fermentatie spre un anumit acid se folosesc microorganisme specifice, cultivate pe un mediu adecvat.
Acidul gluconic este utilizat īn industria farmaceutica, pentru prepararea gluconatului de calciu (Calciu Sandoz), medicament utilizat īn tratamentul rahitismului, a hipocalcemiei, spasmofiliei, tuberculozei osoase, etc.
Tot pentru obtinerea acidului gluconic s-au cercetat si posibilitatile utilizarii bacteriilor. Currie si Finlay au elaborat un procedeu de cultivare a Acetobacter oxydans si Acetobacter gluconicum īn care glucoza este oxidata la acid gluconic īn 48 de ore, cu un randament de 90%, iar Ueda, utilizānd Pseudomonas fluorescens si Pseudomonas ovales a obtinut un randament de 95% īn 32 ore. Aceste rezultate au facut ca la scara industriala sa se foloseasca atāt procedeele de cultivare a fungiilor cāt si cele de cultivare a bacteriilor.
Procedee de fermentatie
Adoptarea unui anumit procedeu de fermentatie este conditionata de asigurarea celor mai bune conditii de dezvoltare a microorganismelor cultivate (aerobe sau anaerobe, cultivabile īn sistem septic sau aseptic, etc).
Procedeele de fermentatie pot fi clasificate īn functie de:
modul de realizare a culturilor microbiene:
culturi īn suprafata
culturi īn profunzime
necesarul de oxigen:
sisteme de fermentatie aerobe
sisteme de fermentatie anaerobe
modul de functionare a instalatiei de fermentatie:
fermentatii discontinue
fermentatii continue
Fermentatiile īn suprafata se practica mai rar si, de obicei, pentru microorganisme anaerobe.
Fermentatiile īn profunzime se utilizeaza īn majoritatea proceselor de crestere a microorganismelor. Industrial, acest tip de fermentatie poate fi realizata prin procedee de fermentatie discontinua si procedee de fermentatie continua.
Fermentatia discontinua, īntālnita īn literatura de specialitate si sub denumirea de "sistem de cultivare batch", se caracterizeaza prin aceea ca microorganismele parcurg īntr-un singur bioreactor toate etapele de dezvoltare, dupa care procesul se reia de la capat. Acest mod de operare conduce la consumuri sporite de utilitati, deoarece de fiecare data este necesara sterilizarea īntregii instalatii.
Deoarece īn acest sistem de fermentatie nu se poate asigura de la īnceput īntreaga cantitate de substrat limitativ (o concentratie mare a acestuia īn mediul de cultura manifesta un efect inhibitor pentru cresterea microorganismelor, fenomen cunoscut sub denumirea de inhibitie de substrat), se impune adaugarea de substrat, precum si de precursori, pe parcursul procesului fermentativ, fapt care genereaza probleme suplimentare īn mentinerea sterilitatii īn bioreactor.
Fermentatia continua, studiata foarte mult īn ultimii ani, ofera o serie de avantaje, comparativ cu procedeul continuu:
utilizarea bioreactoarelor de capacitate mai redusa
realizarea mai eficienta a proceselor de transfer de masa, caldura, impuls
productivitate sporita
epuizarea mai avansata a componentelor mediului de cultura
Sistemul de fermentatie continua (sincrona) se utilizeaza atunci cānd biosinteza
decurge īn doua etape distincte: cresterea biomasei si, apoi, biosinteza produsului activ, situatie īn care produsele elaborate pot manifesta un efect inhibant pentru dezvoltarea populatiei microbiene tinere. [4, p.36-38]
Schema fluxului tehnologic
Fig. 2
Procedeul de fabricatie utilizat si schema procesului tehnologic
Īn lucrarea de fata se va prezenta o metoda de fabricatie a acidului gluconic, prin oxidarea glucozei, īn prezenta de Aspergillus niger, utilizānd ca procedeu tehnologic, procedeul Bloom. [3]
Procedeu este viabil pentru a putea fi utilizat la scara industriala. Procedeul foloseste ca si metoda de fermentare fermentatia discontinua, īn profunzime.
Folosind o metoda de sinteza a acidului gluconic pe cale biochimica, se asigura specificitatea procesului si se respecta normele de protectie a mediului, nefiind necesara depozitarea deseurilor chimice.

Fig. 3
CAPITOLUL III
DIMENSIONAREA TEHNOLOGICĂ A UTILAJELOR
III.1 Dimensionarea reactorului
III.1.1. Calculul pierderilor
Se considera o pierdere , p=3%. . La o cantitate de acid gluconic de 230 kg/sarja, vom avea o pierdere totala de:
Īn concluzie, vom avea nevoie de materie prima pentru a obtine un total de:
230+6.9=236.9 kg acid gluconic/sarja
III.1.2. Reteta de fabricatie
Se va utiliza urmatoarea reteta de obtinere a acidului gluconic prin oxidarea microbiana a glucozei [3]:
Tab. 1
|
Materia prima |
Cantitate propusa / UM |
Cantitate calculata / UM |
|
Glucoza comerciala |
30g |
543.9kg |
|
Agar |
25g |
453.25kg |
|
MgSO4·7H2O |
0.1 g |
1.81kg |
|
KH2PO4 |
0.12 g |
2.18kg |
|
Peptona |
0.2 23123h710x 5g |
4.53kg |
|
NH NO |
0.2 23123h710x 5 g |
4.53kg |
|
CaCO |
4g |
72.52kg |
|
Apa |
Pāna la 1000 ml |
18.13m3 |
Ecuatia reactie chimice de oxidare a glucozei este:
Masele moleculare ale reactantului si produsului de reactie:
MGlc = 180 kg/kmol MO2 = 32 kg/kmol MAG = 196 kg/kmol
Pe baza stoechiometriei reactiei se calculeaza cantitatea de glucoza necesara a se oxida pentru a forma cantitatea dorita de acid gluconic. Cantitatea de glucoza necesara pentru transformarea sa īn produsul util reprezinta doar 40% din cantitatea totala de glucoza necesara procesului, restul de 60% fiind necesara dezvoltarii microorganismelor.[3]
Stoechiometric: ![]()
![]()
Total:
![]()
Tab. 2
|
Nr. Crt. |
Denumire |
Cantitate [kg] |
[kg/m3] |
Volum [m3] |
Observatii |
|
Glucoza |
Glucoza comerciala |
||||
|
MgSO4·7H2O |
Deoarece avem cantitati mici, putem considera densitatea egala cu a apei |
||||
|
KH2PO4 | |||||
|
peptona | |||||
|
NH4NO3 | |||||
|
CaCO |
- pāna la pH=6,5 |
||||
|
Agar | |||||
|
Apa |
Cantitatile de materii prime necesare, din reteta prezentata īn [3] - pentru a obtine o cantitate de 123.6kg AG/sarja.(tab. 2)
III.1.3. Calculul dimensiunilor reactorului
Din datele existente īn tabelul 2 aflam volumul de lichid din reactor:
Vlich=19.024 m3
Īn
reactor avem reactie cu spumare, motiv pentru care vom alege coeficientul
de umplere īntre valorile: cu = 0,4 .. 0,6 [6] .Valoarea aleasa
este cu = 0,5. Volumul reactorului se calculeaza
astfel:![]()
![]()
![]()
Din volumul reactorului putem calcula cotele de gabarit ale acestuia, respectiv diametrul (Dr) si īnaltimea reactorului (Hr), precum si īnaltimea udata de masa de reactie.
Relatia dintre īnaltimea si diametrul reactorului este data de coeficientul de suplete, care īn cazul de fata īl vom considera egal cu 1,2:
![]()

![]()
Avand in vedere faptul ca avem un coeficient de umplere
de 0.5 => inaltimea lichidului in reactor va fi ![]()
III.1.4. Calculul pierderii de presiune hidrostatica
Acest calcul este necesar datorita faptului ca aerul introdus īn reactor intra pe la baza acestuia, trebuind sa īnvinga fortele create de coloana de lichid. Pierderea de presiune hidrostatica este, īn cazul de fata, singura care are o valoare demna de luat īn seama.
Calculul se face dupa relatia:
[5]
Calculam densitatea amestecului, utilizānd relatia:
pt xGlc=0.2 23123h710x 2
=>
unde ρGlc - densitatea glucozei
ρapa - densitatea apei
Īnlocuind īn relatia (*) obtinem caderea de presiune hidrostatica, ce va trebui īnvinsa de presiunea cucare intra aerul īn reactor:
III.2 Sterilizarea materialelor
III.2.1. Generalitati
Procesele de biosinteza industriala impun absenta totala a sporilor de microorganisme straine (provenite din apa, aer sau materii prime), care s-ar putea dezvolta īn faza de fermentatie, infectānd cultura unica a microorganismului util. De asemenea, conservarea preparatelor farmaceutice, a produselor alimentare si a altor materiale se poate face numai īn absenta sporilor capabili de multiplicare. Aceasta cerinta tehnologica se poate realiza prin sterilizare sau pasteurizare.
Pasteurizarea este operatia care are drept scop distrugerea majoritatii microorganismelor, inclusiv a bacteriilor rezistente, prin īncalziri repetate sub 100˚C.
Sterilizarea este operatia de distrugere sau īndepartare a tuturor formelor vegetative si de rezistenta a microorganismelor patogene si apatogene din substante, preparate sau obiecte. Īn industria de biosinteza, industria farmaceutica si industria alimentara, unde se cere distrugerea tuturor microorganismelor (reducerea totala a viabilitatii nu distrugere īn sens fizic) operatia de sterilizare este de neīnlocuit si poate fi realizata prin urmatoarele metode [1, p.25]:
v Metode termice:
sterilizare cu aer cald la 140-200˚C
sterilizare cu vapori de apa sub presiune la 120-140˚C
sterilizare prin īncalziri repetate la 70-100˚C
v Metode fizice:
filtrare prin umpluturi fibroase
filtrare prin materiale poroase
filtrare prin membrane
utilizarea radiatiilor UV, IR, raze X, β, γ etc.
v Metode chimice:
utilizarea agentilor chimici: oxid de etilena, formaldehida, fenol, azotiperita, ozon, etc.
v Metode de preparare pe cale aseptica.
Sterilizarea termica uscata include si sterilizarea prin flambare, folosita īn faza de īnsamāntare a inoculului si a prelevarii probelor. Acest gen de sterilizare consta īn trecerea probelor sau a obiectelor prin flacara, timp de cāteva secunde.
Īn general, metoda de sterilizare se alege īn functie de proprietatile fizico-chimice ale materialelor supuse sterilizarii, astfel īncāt sa se evite modificarile calitative ale acestora.
Īntre īncalzirea uscata si īncalzirea umeda, īn procesul de sterilizare prin metoda termica, exista o deosebire importanta, ultima avānd o eficienta sporita. Fenomenul se explica prin actiunea hidratanta, coagulanta si hidrolizanta a apei si a aburului asupra proteinei microbiene. Comparānd performantele sterilizarii prin īncalzire uscata si umeda s-a observat ca sterilizarea cu aer cald necesita temperaturi si durate mult mai mari. Din aceste motive, īn tehnica se prefera sterilizarea umeda, care poate fi urmarita īn functie de punctul termic mortal si timpul termic mortal. Punctul termic mortal este definit prin valoarea temperaturii la care sunt omorāte toate celulele unei anumite specii, īn timp de 10 minute. Timpul termic mortal reprezinta acea valoare a timpului de expunere la o anumita temperatura necesara distrugerii tuturor celulelor sporulate.
Sterilizarea prin filtrare pe materiale poroase se utilizeaza frecvent īn cazul preparatelor termolabile. Procedeul este preferat si atunci cānd pretul prea mare al energiei si cheltuielile pentru aparatura exclud īndepartarea microorganismelor prin metoda termica. Īn procesul de sterilizare prin filtrare se folosesc filtre poroase Jena G5, filtre de azbest-celuloza (denumite filtre Seitz sau Filtrasic), filtre cu membrana, filtre de profunzime si filtre absolute.
Sterilizarea cu ajutorul radiatiilor, desi prezinta unele neajunsuri, este aplicata din ce īn ce mai mult īn industrie, atāt pentru sterilizarea produselor, cāt si a aerului din boxele sterile.
Prepararea produselor pe cale aseptica se utilizeaza atunci cānd nu este posibila sterilizarea lor prin procedeele prezentate anterior. Tehnologia prepararii aseptice se realizeaza īn boxe sterile, aerul din acestea fiind sterilizat prin filtrare, iradiere sau cu agenti chimici. Īn ultima perioada a fost extins la scara industriala sterilizarea aerului din boxe prin curgere peliculara, controlul sterilitatii aerului facāndu-se cu ajutorul filtrelor cu membrana. [4, p.80-82]
Sterilizarea aerului tehnologic necesar īn fermentatia aeroba constituie una din problemele de importanta majora īn ingineria biochimica, de rezolvarea careia depinde buna desfasurare a procesului de biosinteza. Dificultatile procesului de sterilizare a aerului sunt generate de varietatea mare de microorganisme continute (bacterii, spori bacterieni, fungi, virusi), de rezistenta lor la temperaturi uscate si de limitele largi ale dimensiunilor acestora. Principalele specii de bacterii si spori bacterieni, īmpreuna cu dimensiunile lor (lungime, latime) sunt prezentate īn literatura de specialitate.
Pentru sterilizarea aerului sunt propuse urmatoarele metode:
sterilizare termica
sterilizare cu raze ionizante sau UV
sterilizare cu agenti chimici
sterilizare prin filtrare
La sterilizarea aerului prin utilizarea procesului termic, se cer temperaturi ridicate deoarece microorganismele au rezistenta mare la temperaturi uscate. Astfel, dupa Decker, sporii din aer sunt distrusi īn 24s la 218-220˚C. Aceasta temperatura poate fi obtinuta fie prin īncalzirea aerului īntr-un schimbator de caldura, fie prin comprimarea aerului īn compresor adiabatic.
Sterilizarea aerului prin metoda filtrarii se realizeaza pe filtre mecanice prevazute cu un strat de material fibros. La īnceput s-au folosit fibre din bumbac, dar, odata cu dezvoltarea productiei industriale de antibiotice, fibrele din bumbac au fost īnlocuite ci fibre din sticla. [1, p. 41-42]
III.2.2.Sterilizarea aerului prin filtrare
Separarea se realizeaza pe filtre mecanice prevazute cu un strat de un material fibros.Asupra particulei care se separa prin filtrare actioneaza simultan forte de interceptie, inertiale , de difuziune, de sedimentare, electrostatice si fortele Van der Waals.Tinand seama de aeste forte randamentul total al separarii particulelor pe fibra individuala poate fi deteminata cu relatia :
![]()
randamentul separarii prin
difuzie
- randamentul separarii prin inertie si interceptare
-randamentul separarii prin sedimentare
randamentul separaii
datorita fortelor electrostatice
- randamentul separarii datorita fortelor Van der Waals
Datorita difuziei, sau a migrarii particulelor de pe linia de curgere, numarul particulelor retinute de fibra creste.Acest efect este mai intens atunci cand viteza aerului este mica si particulele raman un timp mai mare in preajma fibrei.
Randamentul depunerii pe fibra a particulelor de aerosol din aer , prin procesul de difuziune este descris de ecuatia:

Unde:
Presupunem Re=10-2
![]()
![]()
![]()
df=17 m - diametrul fibrelor
dp=50 nm - diametrul particulei

- porozitatea
filtrului
![]()

![]()




![]()
-
reprezinta randamentul
separarii pe o fibra izolata din stratul filtrant
Relatia
dintre randamentul separii pe o singura fibra din stratul filtrant
si randamentul
separarii pe o fibra izolata
, la aceeasi viteza a aerului, este:
![]()
=> ![]()
k=4.5 =>
=0.024
N0 - numarul initial al microorganismelor din aer
N - numarul microorganismelor din aer dupa sterilizare
![]()
![]()
k1=6.1; k2=0.64
gc=980
Inaltimea stratului filtrant este h

- suprafata de
filtrare [1, p 43-48]
III.2.3. Calculul sterilizarii aparaturii si mediului de cultura prin īncalzire
Pentru sterilizarea reactorului se va folosi un sistem discontinuu de sterilizare, deoarece este mai economic decāt cel continuu. Se va realiza sterilizarea prin īncalzirea reactorului cu ajutorul aburului introdus īn mantaua acestuia. Pentru sterilizare trebuie sa ridicam temperatura din reactor la 120˚C.
![]()
Īn continuare se vor calcula timpii de īncalzire (τī), de mentinere (τm) respectiv de racire (τr), precum si debitele de abur, respectiv apa de racire.
a) Calculul ariei de transfer termic pentru sterilizare
unde AT - aria de transfer termic
Dr - diametrul reactorului
Hl - īnaltimea lichidului īn reactor
b) Calculul timpului de īncalzire
Īncalzirea reactorului se face cu abur la temperatura de 140˚C, temperatura la care presiunea vaporilor este p = 3.685 ata=2.568 atm si entalpia vaporilor i'' = 2740 kJ/kg [5, p.528]
Se face bilantul termic pentru etapa de īncalzire:
unde Qprimit - caldura totala schimbata īn etapa de īncalzire [kW]
Qam - caldura consumata pentru īncalzirea amestecului de reactie [kW]
Qr - caldura consumata pentru īncalzirea reactorului [kW]
Qp - caldura pierduta
Diagrama temperaturilor este reprezentata īn figura 4:
Fig. 4
De pe diagrama se calculeaza ΔTm = 20K si ΔTM = 120K, iar din aceste valori se calculeaza ΔTmed, dupa relatia:
Se calculeaza pe rānd cele 3 calduri, iar apoi prin īnsumarea lor se obtine caldura totala transferata īn etapa de īncalzire:
unde mam - masa de amestec din reactor = 19212.72kg
CPapa - capacitatea calorica a apei la 20˚C = 4,19 kJ/kg·K
ΔT - diferenta de temperatura īntre momentul initial (Ti = 20˚C) si momentul final (Tf = 120˚C) = 100K
1153.95 kg
unde mr - masa reactorului gol [kg]
CPotel - capacitatea calorica a otelului = 0,50 kJ/kg·K [5, p.509]
ρotel - densitatea otelului = 7850 kg/m3 [5, p.492]
ΔT - diferenta de temperatura īntre momentul initial si final
Dr - diametrul reactorului
δr - grosimea peretelui reactorului = 20mm
Hr - īnaltimea reactorului
Caldura pierduta se estimeaza la 10% din caldura utila:
Caldura totala
transferata īn etapa de īncalzire este: ![]()
Timpul de īncalzire se calculeaza cu ajutorul ecuatiei:
unde K - coeficientul total de transfer termic - se ia din tabelele existente īn literatura o valoare estimativa, īn functie de tipul transferului. Astfel, īn cazul de fata avem transfer: vapori īn condensare - apa, si se alege K = 2000W/m2·K=2kW/m2K [5, p.178]
Se calculeaza debitul de abur la T = 130˚C necesar pentru īncalzirea reactorului cu masa de reactie pentru a realiza sterilizarea instalatiei si a mediului de reactie.
unde mabur - masa de abur necesara sterilizarii
i'' - entalpia aburilor la T = 140˚C
Debitul de abur (Mabur) se calculeaza prin īmpartirea masei acestuia la timpul de īncalzire:
![]()
c) Stabilirea timpului de mentinere
Timpul de mentinere recomandat este de 10-30min, la o temperatura de 120˚C [3]. Se alege o valoare a timpului de mentinere de 20min (τm = 20min). Īn aceasta etapa se va mentine constant debitul de abur timp de 20 minute, dupa care se va trece la etapa de racire a reactorului.
d) Calculul timpului de racire
Īn faza de racire, īn locul aburului vom introduce īn mantaua reactorului apa de racire (apa de turn), cu temperatura initiala de 15˚C.
Se scrie bilantul termic pentru etapa de racire si se deseneaza diagrama de temperaturi, reprezentata īn figura 5:
Fig. 5
(24)
Se
calculeaza pe rānd fiecare dintre calduri si temperatura medie,
similar cu metoda aplicata la etapa de īncalzire (
)
![]()
![]()
![]()
![]()

![]()
Presupunem C=2.47
Analog se calculeaza si timpul de racire. Īn cazul de fata felul transmiterii caldurii este lichid-lichid, īn curgere fortata si se alege K = 1000W/m2·K=1kW/m2 K[5, p.178]:
![]()
Se calculeaza debitul de apa de racire, cu t = 12˚C, conform relatiei:
21287.7 kg
unde mapa - masa de apa necesara pentru racirea reactorului [kg]
CPapa - caldura specifica a apei = 4,19kJ/kg·K
ΔT - diferenta de temperatura a apei la intrare si iesire = 15K
Debitul de apa ![]()
III.2.4. Sterilizarea mediului de cultura prin incalzire
Procesul de distructie termica a microorganismelor este analog reactiei monomoleculare a carei viteza de reactie este descrisa prin ecuatia:
unde N - este nr de microorganisme viabile;
k - constanta vitezei de reactie;
t - timpul de sterilizare .
Prin integrarea ecuatiei in conditiile N=N0 pentru t =0 se obtine:
=>
(*)
unde N0 - este contaminarea initiala.
Ecuatia permite determinarea duratei de sterilizare pentru orice valoare a gradului de sterilitate.
Consideram ca avem 10 l de inocul cu o concentratie de 20000 microorganisme/ml =>
10.000 ml inocul .................. x
1 ml ..............................20.000 => x = 2*108 microorganisme/ 10 l inocul
In reactor concentratia initiala a microorganismelor va fi:
1 m3 .......106 ml .............2*108 microorganisme
1 ml ............. y => y =200 microorganisme/ml (contaminarea initiala)
Se considera o sterilizare eficienta daca la final concentratia microorganismelor in reactor este aceeasi cu concentratia initiala a inoculului adica 20000 microorganisme/ml. => din ecuatia (*) se determina timpul de sterilizare
min
S-a considerat k=1 min-1 conform tabelului 2.2 pag 29 [1].
Procesul de sterilizare termica a mediului de cultura poate fi realizat prin procedeu discontinuu sau continuu, utilizand drept sursa de incalzire aburul sau energia electrica.
Cantitatea de caldura totala este suma dintre cantitatea de caldura generata de biomasa formata ( N-N0 ) (conform [2] pag 124 => 4.5*106 kcal/t biomasa uscata nou formata) si caldura rezultata din reactie ( conform [1] pag 19 prin combustia totala a unui mol de glucoza se obtin 2713 kJ ).
Cantitatea de caldura generata de biomasa este:
![]()
Cantitatea de caldura rezultata in urma reactiei este:
kmoli
kJ =>
kcal
Fluxul termic total rezultat este:
kcal/h unde t - reprezinta timpul total de
fermentatie (t=30 h) ales conform tabel 1 [3] )
III.3 Filtrarea masei de reactie
III.3.1. Predimensionarea filtrului
Urmatoarea etapa īn procesul de fabricatie a acidului gluconic este filtrarea biomasei. Pentru aceasta etapa trebuie predimensionat un filtru si ales unul sau mai multe filtre pentru realizarea acestei operatii.
Timpul si calitatea filtrarii depind de timpul materialului filtrant, conditiile de presiune, tipul amestecului ce trebuie filtrat.
Din ecuatia filtrarii se calculeaza timpul necesar filtrarii dupa ce in prealabil s-a determinat volumul filtrat.
unde a = 40000[s/m2] si b = 6000[s/m]
Cantitatea de biomasa formata se calculeaza dupa cum urmeaza:
![]()
kg
Se considera
g/ml
=>
m3 =>
m3
Se alege un filtru cu rame si placi:
mm
=> pt o rama:
m3
Volumul de biomasa este de 0.3263 m3 =>
(rame sunt necesare pentru
filtrare)
=> Aria necesara filtrarii este:
m2
=> 
Inlocuind Vf in ecuatia filtrarii se determina timpul necesar filtrarii:
Dupa incheierea filtrarii are loc precipitarea filtratului cu Ca2
Ecuatia reactiei chimice este urmatoarea:
2GlcOH + Ca2 {Glc)2Ca
+ H2O
Cantitatea necesara de Ca2 este:
2 kmoli GlcOH.......... ..... ...... ...1 kmol Ca2
392 kg GlcOH.......... ..... ...... .....74 kg Ca2
236.9 kg GlcOH.......... ..... ...... ...x =>
Ca2
Pentru a obtine in final gluconatul de Na se utilizeaza o coloana cu schimbator de ioni.
Bibliografie:
1.Oniscu C.; Tehnologia produselor de biosinteza; Editura Tehnica, Bucuresti 1978;
2.Zarnea, Mencinicopschi, Bragarea; Bioingineria preparatelor enzimatice microbiene; Editura Tehnica, Bucuresti 1980;
3.Blom R.H.; Pfeifer V.F.; Moyer A.J.; Traufler D.H. and Conway H.F.; Sodium gluconate production; Fermentation with Aspergillus niger; Ind. Eng. Chem.; 44; 1952; p 435-447;
4.Oniscu C.; Cascaval D.; Inginerie biochimica si biotehnologie; Ingineria proceselor biotehnologice; Editura Interglobal, Iasi 2002; 1;
5.Pavlov I.; Romankov P.G.; Noskov A.A.; Procese si aparate in ingineria chimica; Exercitii si probleme;Traducere din limba rusa dupa editia a 8-a; Editura Tehnica, Bucuresti 1981
|