Proprietatile optice ale sticlelor fluorofosfatice dopate cu Nd3+
Rezumat (Abstract):
Spectrele optice de absorbtie ale sticlelor florofosfatice dopate cu Nd3+ de tipul 75NaPO -24AF-1NdF (A = Li, Na, K) si de tipul 75NaPO -24AF -1NdF (A = Ca, Sr, Ba, Zn, Cd) au fost inregistrate. Puterile dipolilor sunt parametrizate din punct de vedere fenomenologic in trei parametri de intensitate Judd-Ofelt Ω (λ = 2, 4 and 6). Cunoscand acesti parametrii de intensitate, au fost calculate: probabilitatea de emisie spontana, ratele de dezintegrare si durata de viata radiativa. A fost discutata relatia dintre intensitatile spectrale si compozitia sticlei. Proprietatile optice ale sticlei florofosfatice au fost comparate cu acelea ale sticlei fosfatice si florurice. S-a aratat ca alegerea cationului are doar o influenta minora asupra intensitatilor spectrale. Comportamentul spectral al sticlei florofosfatice este intermediar intre comportamentul spectral al sticlelor pur fosfatice si cel al sticlelor pur florurice.
Introducere:
Sticlele florofosfatice au fost subie 212e48c ctul catorva investigatii spectroscopice, deoarece ele pot serbi ca matrici gazda laser [1-4]. Proprietatile caracteristice ale acestor sticle sunt un indice de refractie si o dispersie scazute [5]. Majoritatea acestor sticle contin Al(PO3)3 sau Ba (PO3)2 ca si component fosfatic. Acesti compusi sunt mai stabili la umiditate decat alti metafosfati. Sticlele fosfatice bazate pe metafosfati alcalini sunt hidroscopice, dar adaugarea de fluoruri creste rezistenta la apa [6]. Se cunosc numeroase Na P O3- BaF2 bazate pe sticla fluorofosfatica fie cu un inalt continut de ioni ai metalelor tranzitionale [6] sau ai metalelor rare [7-8].
In aceasta lucrare, prezentam un studiu spectroscopic al ionilor trivalenti de Neodim in sticlele florofosfatice de tipul 75NaPO3 -24AF2-1NdF3 (A = Li, Na, K) si de tipul 75NaPO3 -24AF2 -1NdF3 (A = Ca, Sr, Ba, Zn, Cd). Scopul studiului a fost de a investiga influenta compozitiei chimice asupra intensitatilor spectrale in matricea sticlei fluorofosfatice. Proprietatile spectrale se compara cu acelea ale sticlelor fostatice si a sticlelor florurice.
Detalii experimentale:
Metafosfatul de sodiu (NaPO3), CaF2 and SrF2 au fost obtinute din Prolabo, BaF2 si MgF2 din Aldrich, LiF, NaF si KF de la Merck, CdF2 din Fluka si ZnF2 din Riedel-de-Haen. Fluorura de neodim a fost sintetizata din oxidul corespunzator. Oxidul de neodim (3) a fost obtinut din Rhone-Poulenc. Transformarea oxidului in fluorura se face prin amestecarea oxidului de neodim cu un exces ( de 2X cantitatea stoechiometrica) de difluorura de amoniu (NH4F, HF) si incalzirea amestecului timp de 3 ore intr-un creuzet de carbon vitros. In timpul procesului de fluorizare se formeaza o fluorura complexa (NH4)3NdF6 [9]. Aceasta fluorura complexa este descompusa la 4500C. Procesul de descompunere dureaza 4 ore.
Mostrele de sticla au fost preparate prin topirea cantitatii necesare de metafosfat de sodiu si de compusi florurati intr-un tub de platina la o temperatura de 9000C. Dupa topire incalzirea a continuat timp de 15 minute pentru omogenizarea topiturii. Apoi topitura, a fost prelucrata intr-o matrita de alama (preincalzita la 250-3000C). Pentru a inlatura tensiunile, mostrele de sticla au fost tratate termic pentru 4 ore intr-un cuptor la 2700C. La sfarsit, mostrele de sticla au fost taiate si slefuite. Sticlele astfel preparate prezinta culoarea tipica albastru-violet a ionilor Nd3+ [10]. Sticla fluorofosfatica continand fluoruri alcaline si, printr-o usoara extensie, si cele continand ZnF2 si CdF2 sunt higroscopice. Acest lucru le face sa para lipicioase la atingere.
Densitatea mostrelor de sticla a fost determinate pe baza principiului lui Arhimede, flolosind CCl4 ca lichid de imersie. Indicele de refractie nd a fost masurat cu un refractometru (ATAGO 3T). Lungimea optica a fost masurata la cel mai apropiat 0.01 cm. Spectrul de absorbtie a fost inregistrat la temperatura camerei pe un spectrofotometru Shimadzu UV-3100.
Fundamentele teoretice:
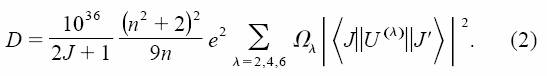
Tranzitiile observate in spectrele de absorbtie ale ionilor trivalenti de lantanide sunt tranzitii intraconfigurationale f-f. Majoritatea acestor tranzitii sunt tranzitii dipolice sunt induse electric, si pe de alta parte se cunosc doar cateva tranzitii dipolice magnetice. Intensitatea tranzitiilor poate fi caracterizata de puterea dipolului D:
unde C este concentratia ionilor de neodim (Mol/l), d este parcursul optic (cm), A este
_
absorbanta si ν este numarul de unda (cm-1). Puterea dipolului este exprimata ca D2 (Debye2). In conformitate cu teoria Judd - Ofelt [11, 12], intensitatea tranzitiilor dipolice induse electric poate fi descrisa, din punct de vedere fenomenologic, ca trei parametrii de intensitate Ω (λ = 2, 4 and 6):

Factorul 1036 converteste unitatile de masura
pentru D2 in esu*cm. Astfel sarcina elementara devine e = 4,803*10-10
esu. Degenerarea starii fundamentale este egala cu 2j
+ 1 (i.e. 10 pentru Nd3+). Factorul (n2 + 2)2/9n
vine de la faptul ca ionul de neodim nu este in vid ci
este intr-un mediu dielectric (n este indicele de refractie al sticlei). In
sfarsit,
este matricea redusa a elementelor. Parametrii
Ω λ pot fi determinati prin metoda potrivirii
celor mai mici patrate standard.
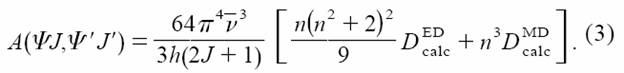
Parametrii de intensitate Judd-Ofelt pot fi folositi pentru a calcula cateva proprietati radiative ale ionilor de lanthanide. Coeficientul de emisie spontana (de asemenea denumit si "probabilitatea de emisie spontana" sau "coefiocientul Einstenin de emisie spontana") A(ΨJ,Ψ'J') este dat de expresia:

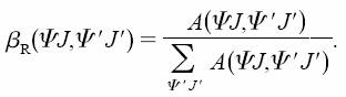
Pentru un spectru de absorbtie, se presupune implicit ca toate componentele campului cristalin din starea fundamentala sunt egal populate. Daca durata de viata a unei stari este lunga in comparative cu rata cu care este populata in procesul de excitare, atunci echilibrul termic la temperatura sistemului se poate afla inainte ca emisia sa aiba loc. Deoarece o stare excitata ΨJ se realaxeaza la cateva pseudostari mai coborate Ψ'J', rata de dezintegrare radiativa βR este definita ca:

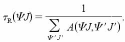
Ratele de dezintegrare pot fi folosite pentru a prezice intensitatile relative ale tuturor liniilor de emisie ce privin dintr-o stare excitata data. Date experimentale pentru rataele de dezintegrare se pot gasi din domeniile inrudite ale liniilor de emisie. Odata ce toate probabilitatile de emisie care depopuleaza un nivel initial 2S+1LJ au fost calculate, ele pot fi folosite pentru a determina cat de repede este depopulat acel nivel. Aceasta rata de depopulare este data de durata de viata radiativa ΤR(ΨJ):

Probabilitatile unor emisii mai puternice si producerea mai multor tranzitii dintr-un anumit nivel vor duce evident la o depopulare mai rapida si la o durata de viata radiativa mai scurta.
Rezultate si discutii:
Spectrele de absorbtie pentru diferite compozitii de sticle au fost integistrate la temperatura camerei. Spectrele inregistrate la temperatura camerei sunt necesare pentru aplicarea teoriei Judd-Ofelt, deoarece acest model theoretic presupune ca toate nivelele campului cristalin din starea fundamentala sa fie egal populate. Aceasta conditie este de departe bine indeplinita la temperatura camerei, asta daca scindarea campului cristalin nu e prea larga (cateva sute de cm-1). Tranzitiile in spectrul de absorbtie au fost asemanate prin compararea cu valorile date de Carnall si colaboratorii pentru LaF3:Nd3+ [13]. Din acest spectru, puterile dipolilor determinate experimental au fost derivate, si aceste derivate au fost folosite pentru determinarea parametrilor de intensitate Judd-Ofelt Ω (λ = 2, 4 and 6). Elementele matricii folosite in procedura de potrivire a celor mai mici patrate au fost cele date de Carnall si colaboratorii pentru Nd3+ in solutii apoase [14]. In cazul suprapunerii tranzitiilor, elementele matricii pentru tranzitiile corespunzatoare au fost adunate (vezi tabelul 1). Toate tranzitiile observate in spectru sunt tranzitii dipolice induse electric. Nu a fost luata in calcul nici o contributie a veunui dipol magnetic. Asemanarea dintre spectre, pentru puterea dipolilor calculata si cea experimentala pentru Nd3+ in matricea sticlei 75NaPO3 -24CaF2 -1NdF3, este data in Tabelul 2. Rezultatele intensitatii pentru alte sticle este analog, asa ca noi ne-am rezumat numai la a prezenta parametrii de intensitate Ω (Tabelul 3). In numele comparatiei, nu numai parametrii de intensitate pentru sticla fluorofosfatica au fost date in Tabelul 3, ci si seturile de parametrii pentru doua sticle fosfatice si doua sticle fluorurice. Cu ajutorul seturilor de parametrii din tabelul 3, au fost calculate proprietatile radiative (Coeficientii Einstein A, ratele de dezintegrare βR si durata de viata radiativa TR) pentru aceste sticle. Aceste rezultate sunt insumate in Tabelul 4. Spectrul de
absorbtie al Nd3+ in sticla 75NaPO -24AF -1NdF este dat in Figura 1. Din Tabelul 2 este clar ca teoria Judd-Ofelt poate da de departe o buna descriere pentru tranzitiile spectrale ale Nd3+ in matricile de sticla. Cele mai mari diferente dinte aceasta teorie si datele experimentale au fost gasite pentru tranzitiile slabe. Aceasta, se datoreaza partial din cauza unei incertitudini mai mari in determinarea experimentala a puterii dipolului.
Daca comparam parametrii de intensitate Judd-Ofelt din diferite sticle fluorofosfatice dopate cu Nd3+, nu a fost gasita nici o variatie semnificativa. De altfel, daca luam erorile parametrilor luati in considerare, este acceptabil sa spunem ca parametrii Ω4 si Ω6 sunt la fel pentru toate sticlele fluorofosfatice. Alegerea cationului (Li+, Na+, k+, Ca2+, Sr2+, Ba2+, Zn2+, or Cd2+) nu are practice nici o influenta asupra acestor parametrii. Chiar si cel mai sensibil dintre cei 3, Ω2 difera doar relativ putin. Parametrul Ω2 este mai mare in sticlele continand fluoruri ai metalelor alcaline decat in sticlele cantinand fluoruri ale metalelor alcaline-pamantoase. ZnF2 si CdF2 dau sticle ce prezinta un parametru Ω2 care e mai aproape de valorile pentru metalele alcaline decat de cele pentru metalele alcaline pamantoase, desi ne-am astepta ca varianta opusa sa fie cea adevarata. Valorile pentru parametrii Ω4 si Ω6, pentru sticlele fluorofosfatice, sunt aproape de valoarea pentru sticla fosfatica 99NaPO3-1NdF3. Numai parametrul Ω2 este semnificativ mai mare pentru sticla fosfatica decat pentru sticlele fluorofosfatice. Pe de alta parte, sticlele fluorurice arata niste parametrii de intensitate care sunt mai mici decat cei pentru sticlele fluorofosfatice si sticla fosfatica. Asemanarea dintre spectrele de absorbtie ale diferitelor compozitii de sticla sunt illustrate in Figura 2. E de asteptat ca proprietatile spectroscopice ale sticlei fluorofosfatice sa fie intermediare intre cele ale sticlelor fosfatice si cele ale sticlei fluoridice. Deoarece ambii ioni PO3- si F- sunt baze tari si pot coordina acidul tare Nd3+, este de asteptat o coordinare anionica amestecata pentru Nd3+ in sticlele fluorofosfatice [15, 16]. Din cauza unei fractii molare mai mari a ionilor fosfat decat cea a ionilor fluorura , proprietatile spectroscopice tind sa fie mai aproape de cele ale fosfatilor. Sensul cresterii valorilor parametrilor este Ω2 < Ω4 < Ω6 pentru toate sticlele fluorofosfatice. Aceeasi evolutie a fost gasita si pentru sticlele fluorurice, spre deosebire de ordinea Ω4 < Ω2 < Ω6 valabila pentru sticlele fosfatice.
Concluzii:
Spectrele de absorbtie optica si analizele Judd-Ofelt ale intensitatilor spectrale pentru sticlele fluorofosfatice dopate cu Nd3+ de tipul 75NaPO -24AF-1NdF (A = Li, Na, K) si de tipul 75NaPO -24AF -1NdF (A = Ca, Sr, Ba, Zn, Cd) arata ca alegerea cationului are doar o influenta minora in
intensitatile spectrale. Comportamentul spectral al sticlelor fluorofosfatice este intermediar intre comportamentul spectral al sticlelor pur fosfatice sic el al sticlelor pur fluorurice. O crestere a intensitatii pentru tranzitia hipersensibila 4G5/2, 2G7/2 ← 4I9/2 este observata in ordinea: sticle fluoridice < sticle fluorofosfatice < sticle fosfatice. Pentru celelalte tranzitii, intensitatile pentru Nd3+ in sticlele fluorofosfatice sunt aproape de cele din sticlele fosfatice. Intensitatile Nd3+ pentru sticlele fluorurice sunt considerabil mai slabe.
Recunostinte:
K, Binnemans este un absolvent
postdoctoral al FWO,
Bibliografie:
[1] S.E. Stokowski, R.A. Saroyan, M.J. Weber, Nd-Doped Laser Glass
Spectroscopic and Physical Properties, M-095, Rev. 2,Vols. 1 and 2,
[2] S.E. Stokowski,W.E. Martin, S.M. Yarema, J. Non-Cryst. Solids 40
[3] R. Balda, J. Fernandez, A. de Pablos, J.M. Fdez-Navarro, M.A.
31 analysis of the spectral intensities of Nd -doped fluoro- Arriandiaga, Phys. Rev. B 53 (1996) 5181.
[4] R. Balda, J. Fernandez, A. de Pablos, J. Phys. IV C4 (1994) 509.
[5] W. Jahn, Glasstechn. Ber. 3 2 3 [6] M. Matecki, M. Poulain, J. Non-Cryst. Solids 56 (1983) 111. (A5Ca, Sr, Ba, Zn, Cd) [7] M. Matecki, S. Jordery, J. Lucas, J. Mater. Sci. Lett. 11 (1992)
[8] M. Matecki, N. Duhamel, J. Lucas, J. Non-Cryst. Solids 184 (1995)
[9] M. Poulain, in: I.D. Aggarwal, G. Lu (Eds.) Fluoride Glass Fiber
4 2 4 Optics, Academic Press,
[10] K. Binnemans, C. Go¨rller-Walrand, Chem. Phys. Lett. 235 (1995)
[11] B.R. Judd, Phys. Rev. 127 (1962) 750.
[12] G.S. Ofelt, J. Chem. Phys. 37 (1962) 511.
[13] W.T. Carnall, G.L. Goodman, K. Rajnak, R.S. Rana, A systematic
LaF , ANL-88-8 Report,
Chemistry Division,
Laboratory,
[14] W.T. Carnall, P.R. Fields, K. Rajnak, J. Chem. Phys. 49 (1968)
[15] M.J. Weber, D.C.
4344. [16] R.C. Pearson, J. Am. Chem. Soc. 85 (1963) 3533.
|