In cadrul fizicii, dualismul corpuscul-unda se refera la faptul ca materia prezinta simultan proprietati corpusculare si ondulatorii. Este vorba despre un concept central al mecanicii cuantice, care a inlocuit teoriile clasice asupra naturii materiei. Anumite fenomene pun in evidenta caracterul ondulatoriu (interferenta, difractia, polarizarea), pe cand altele demonstreaza caracterul corpuscular (emisia si absorbtia luminii, efectul fotoelectric, efectul Compton). Bazandu-se pe studiul acestor fenomene, teoriile clasice propuneau modele in care un obiect era considerat fie o particula, fie o unda. Ideea dualitatii a aparut in legatura cu natura luminii, Louis de Broglie fiind cel care a generalizat conceptul. In mecanica cuantica, lumina nu este considerata nici unda, nici corpuscul in sensul clasic, ci este unitatea celor doua, fara o delimitare precisa.
Louis de Broglie afirma ca orice particula aflata in
miscare (electron, proton, atom) are si o comportare
ondulatorie. El stabileste relatia intre lungimea de unda
asociata
si impulsul
al
particulei:
![]()
unde
reprezinta
constanta
lui Planck.
Aceasta mai poate fi scrisa si sub forma:

Unde
reprezinta masa
particulei;
Ec este energia cinetica a particulei;
este
energia totala a particulei;
reprezinta
energia potentiala a particulei.
In relatia lui de Broglie intervin atat marimi specifice corpusculilor (cum ar fi energia si impulsul) precum si marimi caracteristice undelor (frecventa, lungimea de unda).
Noile teorii au fost cu greu acceptate de comunitatea stiintifica. Experimentele ulterioare au demonstrat, insa, corectitudinea acestor ipoteze.
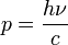
Efectul fotoelectric este un fenomen fizic in care se manifesta natura corpusculara a luminii. El consta in emisia electronilor de catre un corp aflat sub actiunea radiatiilor electromagnetice. Pentru explicarea lui, Einstein a presupus ca fotonii din care este alcatuita lumina ciocnesc atomii din substanta respectiva, fiecare foton incident eliberand cate un electron. Scriind legea de conservare a energiei, se pot justifica legile empirice obtinute in studiul acestui efect. Relatia este cunoscuta sub numele de legea lui Einstein:
![]()
unde
reprezinta
constanta lui Planck;
este
frecventa fotonului incident;
este
energia fotonului incident, exprimata
conform ipotezei lui Planck.
este
lucrul mecanic de extractie a electronului;
este
energia cinetica
a electronului liber.
Efectul Compton se
refera la imprastierea radiatiilor Röntgen pe atomi
usori. Numele sau este dat de fizicianul Arthur Holly Compton
care a studiat fenomenul in anul . El a utilizat un fascicul
ingust de radiatie X monocromatica ce
interactiona cu o tinta din grafit. Studiind spectrul radiatiei difuzate cu un spectrometru
Röntgen, a constat ca, pe langa linia
a
fasciculului incident, apare si o componenta cu lungimea de unda
mai mare (un 'satelit rosu'). Experimental, rezulta ca
aceasta nu depinde de lungimea de unda a radiatiei incidente, ci doar
de unghiul de imprastiere ![]()
![]()
Compton a obtinut urmatoarea lege empirica ce exprima
dependenta lungimii de unda a satelitului in raport cu unghiul ![]()
![]()
Acest rezultat nu era in concordanta cu teoria clasica asupra undelor electromagnetice, potrivit careia radiatia imprastiata ar fi trebuit sa aiba aceeasi lungime de unda cu cea incidenta. Efectul Compton a fost explicat considerand natura corpusculara a energiei electromagnetice. Noutatea a constat in introducerea impulsului pentru cuanta de energie.
Pentru justificarea fenomenului se considera ca fotonii incidenti ciocnesc elastic electronii din blocul de grafit. Astfel se conserva atat energia sistemului cat si impulsul acestuia.
Din legea conservarii energiei obtinem
![]()
unde
este
energia fotonului incident;
reprezinta
energia fotonului imprastiat;
este
energia cinetica a electronului presupus initial in repaus;
este
lucrul mecanic de iesire a electronului din
material.
Electronii atomilor usori si cei din paturile periferice ale
atomilor grei pot fi considerati liberi intrucat energia fotonului
incident este de aproximativ 1550 de ori mai mare decat lucrul mecanic de
extractie. Asadar, termenul
poate fi neglijat. Expresia energiei cinetice este, conform teoriei
relativitatii
![]()
unde
este
masa
electronului aflat in miscare;
reprezinta
masa
de repaus a electronului;
este
viteza luminii in vid;
Legea de conservare e energiei devine
![]()

![]()
Conservarea impulsului:
-impulsul
initial,
si
impulsurile
finale ale fotonului, respectiv, electronului
Scriind conservarea impulsului se obtine
![]()
unde am notat cu
impulsul fotonului incident;
impulsul
fotonului imprastiat sub unghiul
dupa
ciocnire;
impulsul
electronului imprastiat sub unghiul
,
avand viteza
.
Inlocuind
,
,
in teorema cosinusului
pentru triunghiul impulsurilor rezulta
![]()
Din cele doua teoreme de conservare se obtine expresia
![]()
unde
reprezinta lungimea de unda
Compton.
Se observa ca rezultatul teoriei elaborate de Compton este identic cu legea obtinuta experimental. In concluzie, efectul descoperit de acesta confirma inca o data natura corpusculara a radiatiilor electromagnetice.
In 1927, Clinton Joseph Davisson si Lester Halbert Germer au evidentiat comportamentul ondulatoriu al electronilor. Experimentul lor a fost una dintre cele mai importante confirmari a ipotezei lui de Broglie. Ei au utilizat un tun electronic ce trimitea un fascicul de electroni, accelerati sub o diferenta de potential U, pe un monocristal de nichel. Acesta se comporta ca o retea de difractie, facand posibila observarea unei figuri de interferenta.
Conform teoriei difractiei, se obtine o valoare maxima a intensitatii undelor rezultate pentru
![]()
unde
reprezinta
diferenta de drum;
este
distanta dintre planele cristalografice
;
este
unghiul dintre fasciculul incident si planul cristalografic;
este
un numar intreg;
reprezinta
lungimea de unda a radiatiei.
Lungimea de unda poate fi modificata variind tensiunea de accelerare.
Calculand lungimea de unda din relatia lui de Broglie se obtine
![]()
Experimental se constata echivalenta celor doua
relatii. Spre exemplu, pentru maximul de ordinul
care
se obtine la
si
avand
,
lungimea de unda va fi
.
Conditiile respective corespund unei tensiuni de accelerare
.
Inlocuind in relatia lui de Broglie se obtine aceeasi valoare a
lunigimii de unda
.
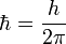
Principiul de incertitudine a fost formulat de catre Werner Heisenberg in . El a aratat ca, pentru o microparticula, pozitia si impulsul nu pot fi determinate cu o precizie oricat de buna. Relatia de nedeterminare se poate scrie
![]()
unde
reprezinta
imprecizia in determinarea impulsului pe directia
;
reprezinta
imprecizia in determinarea pozitiei microparticulei pe directia
;
este constanta redusa a lui Planck (sau constanta lui
Dirac).
Conform principiului de incertitudine al lui Heisenberg, un fenomen fizic nu poate fi descris ca o particula clasica sau ca o unda, ci ca dualitatea formata dintre cele doua. Notiunile de traiectorie si impuls isi pierd sensul, intrucat pozitia si viteza particulei nu pot fi determinate cu o precizie infinita, ca in teoriile clasice. In mecanica cuantica se poate stabili doar o localizare spatiala probabilistica, data de functia de unda asociata particulei. Amplitudinea functiei de unda determina probabilitatea ca particula sa existe intr-o anumita regiune a spatiului. Astfel, cu cat zona in care amplitudinea este diferita de zero este mai mica, cu atat localizarea particulei este mai precisa. In acelasi timp, impulsul este bine precizat atunci cand lungimea de unda este bine determinata, ele fiind legate prin relatia de Broglie. Pentru aceasta este necesar ca functia de unda sa aiba anumite proprietati de periodicitate pe un interval cat mai mare. Prin urmare, o localizare cat mai exacta a particulei duce la imposibilitatea determinarii impulsului si, invers, o definire cat mai exacta a lungimii de unda presupune o imprecizie in stabilirea pozitiei particulei.
Principiul de incertitudine stabileste limitele dintre teoriile fizicii clasice si cele ale mecanicii cuantice. Teoriile clasice nu presupun existenta unei limitari a preciziei cu care se poate determina o marime, singurul impediment in determinarea unei valori exacte fiind sensibilitatea aparatelor de masura. Aceasta ipoteza poate fi considerata corecta la nivel macroscopic deoarece proprietatile ondulatorii nu se manifesta. Efectele cuantice trebuie luate in considerare pentru marimi fizice comparabile cu constanta lui Planck.
Eyvind H. Wichmann: ' Cursul de fizica Berkeley-Fizica cuantica', vol. IV Ed. Didactica si Pedagogica, Bucuresti, 1983
I.Gottlieb, C.Dariescu, M.A.Dariescu: 'Fundamentarea mecanicii cuantice', Ed. Tehnica, 1997
D.Ciobotaru, T.Angelescu s.a. :'Fizica-Manual pentru clasa a XII-a', Ed. Didactica si Pedagogica, Bucuresti, 1993
|