ISAAC NEWTON
Isaac Newton
(n. 4 ianuarie ,
Woolsthrope/Grantham - d. 31 martie ,
Kensington) renumit om de
stiinta englez, matematician, fizician si astronom,
presedintele Academiei
Regale de stiinte a Angliei. Isaac Newton este savantul
aflat la originea teoriilor stiintifice care vor revolutiona
stiinta, īn domeniul opticii, matematicii si īn special al mecanicii. Īn
a publicat lucrarea Philosophiae
Naturalis Principia Mathematica, īn care a descris Legea
universala a gravitatiei si, prin studierea legilor
miscarii corpurilor, a creat bazele mecanicii clasice.
A contribuit, īmpreuna cu Gottfried
Wilhelm von Leibniz, la inventarea si dezvoltarea calculului
diferential si a celui integral.
Newton s-a nascut īn anul izbucnirii marelui
razboi civil īn Anglia, a fost martorul executarii lui Carol I, al
guvernarii lui Cromwell, al restaurarii
Stuartilor, al asa-numitei "glorioase
revolutii, fara varsare de sānge" din
si a murit la vārsta de 85 de ani, cānd regimul constitutional era
consolidat. Dar furtunile politice n-au lasat, pare-se, urme adānci asupra
vietii lui
Viata lui
Cu toata amploarea extraordinara a
preocuparilor sale stiintifice,
Preocuparile teologice si istorice ale lui Newton pot fi considerate doar ca un tribut inevitabil pe care l-a platit epocii, ca si multi dintre contemporanii lui, desi el īnsusi era uneori īnclinat sa considere preocuparile sale īn domeniul teologiei si religiei drept activitatea lui principala.
Despre originea familiei
Īn relatarile despre perioada
scolara a vietii lui
O data cu mutarea la Cambridge intervine o schimbare radicala īn viata lui. Interesele familiale, ale gospodariei, cunostintele si prietenii, toate sunt uitate īn atmosfera austera de la Trinity College.
Singurul profesor al lui
Cum s-a desfasurat viata de zi cu
zi a lui
Tānarul Newton a fost econom si ordonat īn cheltuielile sale; el cheltuia sume mai importante numai pe carti si aparate stiintifice. Veniturile lui, din momentul cānd a devenit membru al colegiului, au fost destul de importante, atingānd 200-250 de lire sterline pe an. Cu o asemenea suma pe vremea aceea se putea trai confortabil, mai ales īn provincie.
Societatea Regala
a devenit arena principala a luptei si a victoriilor
stiintifice ale lui
Telescopul lui
Telescopul lui
Asa cum īntr-o uvertura, care precede
unei mari piesa muzicale, motivele principale se īmpletesc, tot astfel īn
telescopul lui
Ocolirea aberatiei cromatice a constituit
īnceputul tuturor cercetarilor optice ale lui
Dupa acest preludiu cu telescopul, s-au
succedat fazele cele mai importante ale vietii stiintifice a lui
Daca tinem seama ca Newton a lucrat si īn domeniul acusticii, cel putin teoretic, vedem ca urmele activitatii sale pot fi constatate īn toate domeniile fizicii: īn mecanica, īn caldura, īn teoria despre sunet, lumina, electricitate si magnetism si īn domeniul acelor fenomene, care astazi sunt reunite sub denumirea de "fizica moleculara".
Triumful stiintific al lui
Starea sanatatii lui
Din 1725,
Epitaful de pe mormāmtul sau contine urmatorul text: "Aici se odihneste Sir Isaac Newton, nobil, care cu o ratiune aproape divina a demonstrat cel dintāi, cu faclia matematicii, miscarea planetelor, caile cometelor si fluxurile oceanelor. El a cercetat deosebirile razelor luminoase si diferitele culori care apar īn legatura cu acesta, ceea ce nu banuia nimeni īnaintea lui. Interpret sārguincios, īntelept si corect al naturii, al antichitatii si al Sfintei Scripturi, el a afirmat prin filozofia sa maretia Dumnezeului atotputernic, iar prin caracterul sau exprima simplitatea evanghelica. Sa se bucure muritorii, ca a existat o asemenea podoaba a speciei umane. Nascut la 25 decembrie 1642, decedat la 20 martie 1727".
Īntre 1670 si
De asemenea, modelul de telescop folosit azi este
cel introdus de catre
Īn 1679 Newton reia studiile sale asupra gravitatiei si efectelor ei asupra orbitelor planetelor, referitoare la legile lui Kepler cu privire la miscarea corpurilor ceresti, si publica rezultatele īn lucrarea De Motu Corporum ("Asupra miscarii corpurilor", ).
Īn lucrarea Philosophiae naturalis principia
mathematica ("Principiile matematice ale filozofiei naturale", ),
Newton a scris numeroase opuscule cu subiecte filozofice si religioase asupra interpretarii unor texte din Biblie, sub influenta spiritualismului mistic al lui Henry More si a convingerii īn infinitatea universului īmpotriva dualismului cartezian. Lucrarile sale The Chronology of Ancient Kingdoms Amended si Observations Upon the Prophecies of Daniel and the Apocalypse of St. John au fost publicate dupa moartea sa.
Issac Newton nu a fost nici metafizician de profesie ca Henry More, nici īn
acelasi timp filozof si om de stiinta ca René Descartes. Filozofia īl preocupa numai
īn masura īn care are nevoie pentru a pune bazele investigatiei sale
matematice a naturii. Fizica sa, mai exact, filozofia naturala a lui
ALBERT EINSTEIN
Albert Einstein (14 martie - 18 aprilie ) s-a nascut īn Ulm, Germania, la 14 martie, si si-a petrecut tineretea la München, unde familia sa detinea un mic atelier de produse electrice. A īnceput sa vorbeasca abia la vārsta de 3 ani, dar īnca de mic copil a aratat interes pentru natura precum si abilitate īn a īntelege concepte matematice dificile. La vārsta de 12 ani a īnvatat geometria euclidiana. Einstein ura plictiseala si lipsa de imaginatie din scoala de la München.
Cānd esecurile repetate ale afacerilor familiei au dus la parasirea Germaniei cu destinatia Milano, Italia, Einstein a ramas la München pāna la sfārsitul anului scolar. Dupa ce a petrecut un an cu parintii īn Milano, s-a hotarāt sa-si creeze singur drumul īn viata si s-a īnscris la liceul cantonal din Aargau, Elvetia, dupa care, īn , a intrat la Politehnica din Zürich. Lui nu īi placeau metodele de instruire de aici, lipsea des de la ore si folosea acest timp pentru a studia singur fizica si pentru a cānta la vioara. A trecut totusi examenele si a absolvit Politehnica īn , studiind notitele unui coleg. Profesorii nu aveau o parere foarte buna despre el si nu i-au recomandat nici continuarea studiilor. Īn acelasi an a capatat cetatenia elvetiana.
Timp de 2 ani Einstein a lucrat ca tutor si profesor. Īn 1902 a fost angajat ca examinator la Institutul Elvetian de Patentare de la Berna. Īn s-a casatorit cu Mileva Mariē, care īi fusese colega la politehnica. Au avut doi fii, dar īn cele din urma au divortat. Einstein s-a recasatorit mai tārziu.
Īn anul 1905, Einstein a publicat dintr-o lovitura rezultatele mai multor studii teoretice, care l-au facut deodata cunoscut si care aveau sa revolutioneze fizica. Primul si cel mai important studiu cuprinde prima expunere completa a teoriei relativitatii restrānse, īn care demonstreaza ca teoretic nu este posibil sa se decida daca doua evenimente care se petrec īn locuri diferite, au loc īn acelasi moment sau nu. Alta lucrare, asupra efectului fotoelectric, contine ipoteza revolutionara asupra naturii luminii. Einstein afirma ca, īn anumite circumstante determinate, radiatia electromagnetica are o natura corpusculara (materiala), sugerānd ca energia transportata de fiecare particula a razei luminoase, denumita foton, ar fi proportionala cu frecventa acelei radiatii. Aceasta ipoteza avea sa fie confirmata experimental zece ani mai tārziu de catre Robert Andrews Millikan. Īntr-un alt studiu asupra electrodinamicii corpurilor īn miscare, expune modalitatea interactiunii īntre radiatie si materie si caracteristicile fenomenelor fizice observate īn sistemele de miscare browniana a moleculelor. Einstein sustine ca fascicolele luminoase se curbeaza cānd se propaga īn vecinatatea unui corp ceresc cu mare forta de gravitatie, de unde reprezentarea mai greu de īnteles, cum ca spatiul īnsusi ar fi curb. Īn publica memoriul privitor la bazele teoriei relativitatii generale, rod al zece ani de studiu. Aceasta lucrare se īnscrie īn linia demonstratiilor sale ale geometrizarii fizicei. Celebra este ecuatia care exprima cantitatea enorma de energie ascunsa īntr-un corp: E=mc2, cantitatea de energie (E) este egala cu produsul īntre masa (m) si patratul vitezei luminii (c). Aceasta cantitate imensa de energie poate fi eliberata īn procesul de desintegrare nucleara, proces care sta la baza functionarii bombei atomice cu fisiune.
Dupa ce īn 1905 a obtinut titlul de Doctor īn Fizica la Universitatea din Zürich, īn urma unei dizertatii privind determinarea dimensiunilor moleculare, este numit īn profesor de Fizica teoretica la aceiasi universitate. Īn , fizicianul german Max Planck īl aduce la Berlin, unde Einstein preia conducerea unei sectii de cercetare īn cadrul Academiei Prusiene de stiinta ("Preußische Akademie der Wissenschaft") si īn devine director al Institutului de Fizica "Kaiser Wilhelm", nou īnfiintat.
Dupa 1919 meritele lui Einstein au fost recunoscute pe plan mondial. A primit numeroase premii si distinctii de la diferite societati de fizica de pe intreg globul, printre care si Premiul Nobel pentru fizica īn , pentru explicarea efectului fotoelectric (deci nu pentru teoria relativitatii). Vizitele sale īn orice parte a Terrei au devenit evenimente nationale; fotografii si reporterii īl urmareau peste tot. Desi regreta pierderea sferei sale intime, Einstein si-a folosit renumele pentru a-si propaga propriile sale vederi politice si sociale.
Cele doua miscari sociale care au fost pe deplin sustinute de el au fost Pacifismul si Zionismul. Īn timpul Primului Razboi Mondial Einstein a fost unul din numerosii academicieni germani care au condamnat public implicarea Germaniei īn razboi. Dupa razboi, el si-a continuat suportul public pentru telurile pacifiste si zioniste, iar aceasta l-a facut tinta unor numeroase atacuri din partea unor grupari antisemitice si extremiste din Germania. Chiar si teoriile sale stiintifice au fost ridiculizate īn public, pe nedrept, inclusiv Teoria relativitatii.
Cānd Hitler a venit la putere in Germania īn , Einstein s-a decis imediat sa emigreze īn Statele Unite. A primit o functie la Institute for Advanced Study, īn Princeton, New Jersey. Continuāndu-si activitatea īn favoarea Zionismului, Einstein a renuntat la pozitia sa pacifista īn fata imensei amenintari la adresa umanitatii venita din partea regimului nazist din Germania.
Īn 1939 Einstein a contribuit īmpreuna cu alti numerosi fizicieni la scrisoarea catre presedintele Americii Franklin Delano Roosevelt, insistānd asupra necesitatii fabricarii bombei atomice, īntru cāt exista posibilitatea ca si guvernul german sa urmeze aceasta cale. Scrisoarea, care purta numai semnatura lui Einstein, a ajutat la grabirea eforturilor pentru obtinerea bombei atomice īn Statele Unite, dar Einstein nu a avut nici un rol direct sau personal īn fabricarea acesteia.
Dupa razboi, Einstein s-a angajat pentru cauza dezarmarii internationale si a unei guvernari mondiale. A continuat suportul sau activ pentru zionism, dar a refuzat oferta facuta de catre conducatorii Israelului de a deveni presedinte. Īn Statele Unite, la sfārsitul anilor 1940 si īnceputul anilor 1950, a sustinut ideea de a face orice sacrificiu necesar pentru a conserva libertatea politica alaturi de alti intelectuali.
Einstein a murit la
Īn Germania, anul a fost decretat "Anul Einstein": se īmplinesc 100 de ani de la lansarea teoriei relativitatii precum si 50 de ani de la moarte. Īn acest an sunt prevazute o serie de manifestari stiintifice si de popularizare a teoriilor sale.
Este foarte important de stiut despre Einstein ca nu a fost niciodata de acord cu mecanica cuantica. A purtat discutii aprinse cu marele fizician Niels Bohr īn legatura cu principiul de nedeterminare si s-a stins din viata fara sa accepte metoda acestei teorii.
MICHAEL FARADAY
Michael Faraday (22 septembrie -25 august ) a fost un fizician si chimist englez.
Īn fizica face cercetari importante privind cunoasterea electromagnetismului si dezvoltarea aplicatiilor acestuia.
Īsi propune producerea curentului electric cu ajutorul magnetismului, experiente pe care le īncepe īn anul , termināndu-le cu succes īn anul . Experientele lui completeaza cercetarile fizicianului si matematicianului francez André Marie Ampčre referitoare la fortele electromagnetice, reusind rotirea unui circuit parcurs de un curent electric īntr-un cāmp magnetic. Practic descopera principiul de functionare a motorului electric cu magneti permanenti.
Īn anul descopera inductia electromagnetica, reusind sa realizeze conversia electromecanica a energiei.
Faraday arata dupa o serie de experimentari ca electricitatea se obtine prin inductie, prin frecare, pe cale chimica sau termoelectrica.
A propus reprezentarea cāmpului magnetic prin linii de forta (sau linii de cāmp) si arata ca actiunile electrice si magnetice se transmit din aproape īn aproape, cu viteza finita. Combate astfel conceptia mecanicista conform careia aceste actiuni se transmit la distanta instantaneu cu viteza infinita, independent de mediu, dupa modelul mecanic al fortelor de gravitatie.
Faraday arata ca notiunile de cāmp electric si cāmp magnetic pe care le-a introdus ca forme de existenta a materiei, stau la baza interpretarii materialiste a fenomenelor electomagnetismului. Au fost dezvoltate de James Clerk Maxwell, cunoscute ca ecuatiile lui Maxwell.
Primele cercetari īn domeniul chimiei, duce la descoperirea benzenului īn gudronul din huila, cu ajutorul unui aparat conceput de el. Era un aparat prin compresie si racire, cu care a putut sa lichefieze aproape toate gazele cunoscute īn acel timp. Īn enunta legea electrolizei, lege ce sta la baza electrochimiei. Tot el, Faraday, este cel ce introduce termenii de ion, catod, anod, anion, cation, echivalent electrochimic. De asemeni studiind proprietatile magnetice ale substantelor,introduce termenii de diomagnetism si paramagnetism.
A elaborat teoria electrizarii prin influienta si principiul ecranului electrostatic (sau cusca lui Faraday), enuntānd astfel legea consevarii sacinii electrice (1843). Mai tārziu, īn , arata ca energia electrostatica este localizata īn dielectrici.
Ultimile sale cercetari arata actiunea cāmpului electric asupra luminii polarizate sau efectul de polarizare rotatorie a luminii īn cāmp magnetic.
Ca pretuire a cercetarilor sale si
a contributiei sale īn fizica, denumirea unitatii de
capacitate se numeste "Farad", iar numarul
care exprima cantitatea de electricitate necesara depunerii prin
electroliza a unui atomogram dintr-un element - "

Fizica clasica cuprinde ramurile fizicii datānd de dinainte de "revolutiile" de la īnceputul secolului XX, datorate mecanicii cuantice si teoriei relativitatii. Fizica clasica, denumita si Fizica newtoniana, se defineste prin opozitie cu fizica moderna sau fizica secolului XX. Dezvoltari recente ale vechilor teorii din fizica se subsumeaza tot fizicii clasice, spre exemplu noi descoperiri īn fizica fluidelor sau electromagnetism.
Un statut ambiguu īl au ramuri ale fizicii care deriva din discipline "clasice" dar prezinta aspecte calitativ noi. Un astfel de exemplu īl constituie teoria haosului ("chaos theory"), care reprezinta o extensie a mecanicii clasice, īnsa ale carei idei sunt chintesential moderne.
Mecanica cuantica (sau fizica cuantica) este o ramura fundamentala a fizicii teoretice care are numeroase aplicatii īn fizica experimentala si care īnlocuieste mecanica clasica si electromagnetismul clasic la nivel atomic si subatomic. Aceasta īnlocuire se face īn sensul ca mecanica cuantica reuseste sa descrie fidel multe fenomene desfasurate la nivelul particulelor elementare, fenomene pe care fizica newtoniana si electromagnetismul clasic nici nu le pot explica. Mecanica cuantica si teoria relativitatii generalizate formeaza bazele fizicii moderne.
Orice sistem fizic este un sistem cuantic, īnsa īn mod practic, se poate considera ca īn cazul obiectelor macroscopice proprietatile fizice sīnt consecinta unei medieri statistice pe un numar imens de subsisteme, ceea ce face ca parametrii care descriu sistemele macroscopice sa varieze aparent continuu. Exista cīteva exceptii notabile de la aceasta regula: supraconductoarele, superfluidele si cīmpurile electromagnetice.
Efectul tunel rezulta din capacitatea unui obiect cuantic de a strabate o bariera de potential la scara atomica, fapt care ar fi imposibil dupa legile mecanicii clasice "strictu sensu". Acest fenomen poate fi explicat prin faptul ca functia de unda asociata unei particule, nu se anuleaza īn zona barierei, ci se atenueaza īn cele mai multe situatii de o maniera exponentiala īn aceasta zona. Daca functia de unda nu devine matematic nula la iesirea din bariera, exista o probabilitate ca particula in chestiune sa traverseze aceasta bariera de potential. Aceasta probabilitate de traversare depinde de existenta unor stari cuantice accesibile pentru particula respectiva de o parte si de alta a barierei, precum si de īntinderea zonei ocupate de bariera.
Īntrepatrunderea cuantica (īn engleza quantum entanglement) este un fenomen cuantic īn care starile cuantice ale mai multor obiecte sunt cuplate. Īn sens matematic, functia de unda globala care descrie sistemul de obiecte nu poate fi redusa (factorizata) īntr-un produs de mai multe functii elementare independente corespunzānd fiecare cāte unui obiect individual, chiar daca obiectele respective sunt separate spatial.
Teoria M este o teorie supersimetrica si este consistenta īntr-un spatiu cu unsprezece dimensiuni. Limita de energii joase a Teoriei M este Supergravitatia unsprezece dimensionala.
Teoria M este ultima versiune la teoria corzilor. Conform vechii sase din cele zece dimensiuni sunt "īnfasurate", noi putānd observa doar universul 4-dimensional cu care suntem obisnuiti. Aceste extradimensiuni sunt "strānse" īntr-o regiune a spatiului (spatiu Calabi-Yau) prea mica pentru a putea fi vizibila. Teoria M vine cu ceva in plus: unele din aceste dimensiuni ar putea fi foarte mari, chiar infinite.
TEORIA M - scurt istoric: de la atom la Big Bang
Īn anii 1920, fizicienii descopera
particulele atomice si cerceteaza proprietatile acestora.
Electronii insa le rezerva o surpriza: "cand cineva
studiaza proprietatile atomilor, descopera ca realitatea
este mai stranie decat si-ar fi inchipuit oricine. Particulele au intr-adevar
posibilitatea, īntr-un anumit sens, de a fi īn mai multe locuri odata."
(Alan Guth, profesor la Institutul de Tehnologie din
Teoria stringurilor
Cu fiecare idee īndrazneata, cu
fiecare concluzie fizicienii se apropiau de momentul descoperirii Teoriei
tuturor lucrurilor, teorie care sa explice existenta īntregului
univers mic si mare. Albert Einstein a
murit lasānd succesorilor aceasta cautare care este de fapt
miezul cercetarilor tuturor fizicienilor. Anii 80 aduc o schimbare
radicala asa cum afirma Burt Ovrut, profesor la Universitatea
din
Singularitate
Pentru ca Teoria stringurilor sa fie Teoria tuturor lucrurilor, ea trebuia sa explice nasterea universului, adica momentul Big Bang. Timp de zece ani fizicienii au cercetat posibilitatea celor doua de a se explica reciproc, de a se completa. Rezultatele īnsa erau dezastruoase, iar curānd cele doua vor fi aproape de autodistrugere. Cercetatorii Big Bang-ului au ajuns prin extrapolare din ce īn ce mai aproape de momentul crucial: mai īntāi mai aproape cu un miliard de ani, apoi la momentul formarii primilor atomi, apoi cānd universul avea numai cāteva sute de mii de ani pāna la momentul cānd universul numara cāteva secunde de existenta. Aici fizicienii s-au confruntat cu o dificultate majora: "problema fundamentala a cosmologiei este ca legile fizicii asa cum sunt ele cunoscute sunt anulate īn momentul Big Bang. Unii spun ce e rau īn asta, ce e rau daca legile fizice se prabusesc? Pai, pentru un fizician este un dezastru. Toata viata ne-am dedicat faptului ca universul se supune unor legi cunoscute, legi care pot fi transcrise īn limbajul matematicii, iar aici avem miezul universului īnsusi, o piesa care lipseste si care transcende legile fizice." (Michio Kaku) Momentul Big Bang mai este cunoscut si sub numele de singularitate cosmica ("cosmic singularity"), adica locul unde ecuatiile īsi pierd sensul.
Cinci Teorii ale stringurilor
Nici Teoria stringurilor ("corzilor") nu
avea o soarta mai buna: din ce īn ce mai multi cercetatori
lucrau la ea, dar se īntāmpla un lucru curios. Fizicienii au gasit a doua
versiune la teoria initiala, apoi a treia si īn curānd aveau sa
se trezeasca cu cinci teorii diferite ale stringurilor. Era limpede
pentru toata lumea ca nu aceasta era mult-cautata Teorie a
tuturor lucrurilor existente īn Univers si ca nu avea sa dea
nici o solutie problemelor nerezolvate. Chiar cānd comunitatea oamenilor
de stiinta se pregatea sa dea uitarii Teoria
stringurilor cu tot cu cele cinci versiuni ale sale, o alta idee a
aparut: super-gravitatia
("super gravity"), notiune impusa discutiilor de Michael Duff,
profesor la Universitatea din
Super-gravitatia
Super-gravitatia se asemana foarte mult cu Teoria stringurilor: "se referea la numarul dimensiunilor īn Univers. Īn mod normal credem ca traim īntr-o lume tridimensionala. Ne putem misca īn trei directii: la dreapta sau la stānga, sus sau jos, īnainte sau īnapoi, dar fizicienilor le place sa adauge alte dimensiuni. Einstein a propus ca timpul sa fie a patra dimensiune. Apoi altcineva a propus a cincia si apoi a sasea. si numarul continua sa creasca. Dimensiunile aditionale erau spatii īn Univers pe care nu le puteam percepe. Majoritatea erau microscopice, dar cercetatorii erau convinsi ca acestea exista." (Michael Duff) Conform Teoriei stringurilor erau exact 10 dimensiuni: 9 dimensiuni spatiale si una temporala. Teoria super-gravitatiei īnsa enumera 11 dimensiuni. Putini erau cei care credeau si promovau cele 11 dimensiuni, desconsiderati fiind de comunitatea cercetatorilor care reconsiderau universul pornind de la cadrul oferit de Teoria stringurilor: o coarda care vibreaza.
Teoria M
Super-gravitatia a avut īnsa ocazia sa-si ia revansa cānd fizicienii īncercau sa salveze Teoria stringurilor: ei au adaugat a 11a dimensiune la cele 10, iar rezultatul a fost unul surprinzator. Cele cinci versiuni ale teoriei aflate īn competitie unele cu celelalte s-au dovedit a fi variante ale aceleiasi teorii fundamentale care īncepea din nou sa aiba sens. Odata cu adaugarea celei a 11a dimensiuni, teoria s-a transformat astfel: stringurile, despre care se presupunea ca stau la baza materiei din Univers, s-au extins si s-au combinat. Concluzia extraordinara era aceea ca toata materia din Univers era conectata la o singura structura imensa: membrana. Aceasta noua teorie a primit numele Teoria M de la membrana si a impulsionat din nou cautarea explicatiei pentru toate lucrurile din Univers. Ce se stie īnsa despre a 11a dimensiune? S-a descoperit repede ca se lungeste la infinit, dar este foarte mica īn latime, mai precis ea masoara un milimetru īmpartit la 10 cu 20 de zerouri, dupa cum spune Burt Ovrut. Īn acest spatiu misterios pluteste universul nostru membrana, iar īn curānd a aparut o noua idee, aceea ca la capatul opus al dimensiunii 11 se afla un alt univers-membrana care pulseaza.
Gravitatia
Lisa Randall de la Universitatea Harvard a fost cea care a deschis calea catre aceasta idee plecānd de la gravitatie: "forta gravitationala este foarte slaba īn comparatie cu celelalte forte. Daca te uiti īn jur, spui ca gravitatia nu pare atāt de slaba, dar daca stai sa te gāndesti īntregul Pamānt trage de tine si totusi poti sa ridici lucruri de pe sol." Lisa Randall explica aceasta ciudatenie prin prezenta dimensiunilor aditionale: gravitatia este la fel de puternica ca si celelalte forte (de exemplu: desi gravitatia actioneaza asupra unui simplu ac, daca actionam asupra acului cu un magnet mic, care se lipeste pe frigider, forta magnetica va īnvinge forta gravitationala), doar ca ea se scurge īn aceste dimensiuni pe care nu le putem vedea. Ecuatia īnsa nu functiona din aceasta perspectiva. La auzul ideii ca s-ar putea sa existe alta membrana īn dimensiunea 11, Randall a schimbat perspectiva asupra problemei gravitatiei si a gasit o alta solutie: gravitatia nu se scurgea din universul nostru spre alte dimensiuni, ci invers, din alte dimensiuni īn universul nostru. si astfel s-a ajuns la o notiune mult timp ocolita de comunitatea stiintifica: universurile paralele.
Universurile paralele
Īntr-o clipa, cercetatorii au fost cuprinsi de frenezia universurilor paralele existente īn a 11a dimensiune, care pareau sa rezolve probleme vechi de secole. si cum arata aceste universuri paralele? Fizicienii spun ca ele variaza īn forme (de la binecunoscuta "doughnut"-gogoasa cu gaura la mijloc, pāna la "coli de hārtie"), dimensiuni si caracteristici: "īntr-un alt univers protonul poate sa fie instabil, caz īn care atomii se pot dizolva, iar ADN-ul nu se poate forma si astfel īn aceste universuri nu poate exista viata inteligenta. Poate ca este o lume de electroni si electricitate, poate un univers de fulgere si neutrini, dar fara materie stabila." (Michio Kaku). Dar daca doar pe o fractiune din aceste universuri se dezvolta viata, vom avea un numar infinit de universuri īn care traiesc civilizatii.
Big Bang
Cercetatorii au ajuns iarasi la īncercarea de a explica singularitatea ce a precedat Big Bang, de data aceasta cu ajutorul Teoriei M. Īn 2001, aceasta a suferit o transformare din partea lui Burt Ovrut. Desi pāna atunci se credea ca a 11a dimensiune este un loc pasnic īn care universurile-membrana plutesc linistit, Burt Ovrut spune ca de fapt "universurile se misca prin dimensiunea 11 ca niste valuri imense puternice." El mai spune ca nu este atāt de mult loc pentru toate universurile, asa ca daca ele se misca, atunci exista posibilitatea ca ele sa se loveasca unele de celelalte. De fapt, ele ori se departeaza una de cealalta, ori se lovesc. Urmatoarea īntrebare logica este ce se īntāmpla cānd universurile-paralele se lovesc? Raspunsul este dat de astronomul Neil Turok: "Big Bang este consecinta īntālnirii dintre doua universuri paralele." Universul nostru are īnsa īn unele locuri concentrari de materie: stele, galaxii, quasari si alte aglomerari. Acestea se explica tot prin universurile paralele. Neil Turok spune ca acestea se misca precum valurile si tot ca valurile, suprafata lor nu este plata, ci se unduieste. Astfel, cānd universurile paralele se lovesc, ele nu se lovesc uniform pe toata suprafata si concomitent, ci īn puncte diferite si la momente diferite īn timp. Asa se explica nasterea universului īn forma pe care o cunoastem noi, cu ajutorul Teoriei M.
Universuri multiple
Cea mai recenta notiune introdusa de cercetatori este cea a universului multiplu-"multiverse". Acesta "ar putea contine un numar infinit de universuri, fiecare cu legi diferite ale fizicii. Probabil ca īn fiecare moment au loc Big Bang-uri. Universul nostru coexista cu alte membrane, alte universuri care sunt de asemenea īn expansiune. S-ar putea ca universul nostru sa nu fie decāt un balon plutind īntr-un ocean de alte baloane." (Michio Kaku) Fizicienii mai fac un pas īnainte si īsi propun sa creeze un univers īn laborator. Alan Guth spune ca momentul īn care vom crea universuri īn subsolul casei noastre nu este chiar atāt de departe si de neconceput, iar ca procesul nu pune īn pericol propriul univers.
Teoria relativitatii reprezinta īn fizica moderna un ansamblu a doua teorii formulate de Albert Einstein: relativitatea restrānsa si relativitatea generala.
Ideea de baza a acestor doua teorii este ca timpul si distantele unui eveniment masurate de doi observatori au, īn general, valori diferite, dar se supun totdeauna acelorasi legi fizice. Cānd doi observatori examineaza configuratii diferite, si anume deplasarile lor, una īn raport cu cealalta, aplicānd regulile logice, se constata ca legile fizice au īn mod necesar o anumita forma.
Relativitatea restrānsa, formulata īn 1905, s-a nascut din observatia ca transformarea care permite schimbarea unui sistem referetial, transformarea lui Galilei, nu este valabila pentru propagarea undelor electromagnetice, care sunt dirijate de ecuatiile lui Maxwell. Pentru a putea īmpaca mecanica clasica cu electromagnetismul, Einstein a postulat faptul ca viteza luminii, masurata de doi observatori situati īn sisteme referentiale inertiale diferite, este totdeauna constanta (ulterior a demonstrat ca acest postulat este de fapt inutil, pentru ca viteza constanta a luminii deriva din formele legilor fizice).
Aceasta l-a condus la revizuirea conceptelor fundamentale ale fizicei teoretice, cum sunt timpul, distanta, masa, energia, cantitatea de miscare, cu toate consecintele care deriva. Astfel, obiectele īn miscare apar mai grele si mai dense pe directia lor de miscare, pe cānd timpul se scurge mai lent la ceasurile aflate īn miscare. O cantitate de miscare este acum asociata vitezei luminii, viteza luminii īn vid devenind viteza limita atāt pentru obiecte, cāt si pentru informatii. Masa si energia devin echivalente. Doua evenimente care par simultane unui observator, apar īn momente diferite altui observator care se deplaseaza īn raport cu primul. Relativitatea restrānsa nu tine cont de efectele gravitatiei, elementul central al formularii ei matematice sunt transformarile lui Lorenz.
Relativitatea generala a fost formulata de Einstein īn . Aceasta teorie utilizeaza formulele matematice ale geometriei diferentiale si a tensorilor pentru descrierea gravitatiei. Spre deosebire de relativitatea restrānsa, legile relativitatii generale sunt aceleasi pentru toti observatorii, chiar daca acestia se deplaseaza de o maniera neuniforma, unii fata de ceilalti.
Relativitatea generala este o teorie geometrica, care postuleaza ca prezenta de masa si energie conduce la "curbura" spatiului, si ca aceasta curbura influenteaza traiectoria altor obiecte, inclusiv a luminii, īn urma fortelor gravitationale. Aceasta teorie poate fi utilizata pentru construirea unor modele matematice ale originei si evolutiei Universului si reprezinta deci unul din instrumentele cosmologiei fizice.

Electromagnetismul este acea ramura a fizicii care studiaza sarcinile electrice si magnetice, cāmpurile create de acestea (electric si magnetic), legile care descriu interactiunile dintre acestea.

![]()
Efectul magnetic al curentului electric
Ramurile principale ale electronagnetismului sunt:
Īn cadrul fizicii, dualitatea unda-corpuscul
se refera la faptul ca materia prezinta
simultan proprietati corpusculare si ondulatorii. Este vorba despre un concept
central al mecanicii
cuantice care a īnlocuit teoriile clasice asupra naturii materiei.
Anumite fenomene pun in evidenta caracterul ondulatoriu
(interferenta, difractia, polarizarea), pe cānd altele
demonstreaza caracterul corpuscular al materiei (emisia si
absorbtia luminii, efectul fotoelectric, efectul
Īn formalismul clasic, lumina era considerata unda electromagnetica, prezentānd fenomene ondulatorii cum ar fi interferenta, difractia, polarizarea. Odata cu descoperirea efectului fotoelectric īn 1887 de catre Heinrich Rudolf Hertz, a fost necesara introducerea unei noi teorii care sa justifice fenomenul, īntrucāt cea clasica era īn contradictie cu rezultatele experimentale.
Īn 1905, Albert Einstein explica legile efectului fotoelectric presupunānd ca lumina este alcatuita din particule (numite fotoni) si aplicānd ipoteza lui Planck, conform careia energie este cuantificata.
Louis de Broglie a extins teoria lui Einstein, sustinānd ca orice particula īn miscare are asociata o unda. Teza lui de doctorat este publicata īn anul 1924, dar el primeste premiul Nobel abia īn 1929, dupa ce teoria sa este verificata experimental.
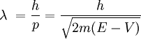
Louis de Broglie afirma ca orice
particula aflata īn miscare (electron, proton, atom) are si o comportare
ondulatorie. El stabileste relatia īntre lungimea de unda
asociata
si impulsul
al
particulei:

unde
Īn relatia lui de Broglie intervin atāt marimi specifice corpusculilor (cum ar fi energia si impulsul) precum si marimi caracteristice undelor (frecventa, lungimea de unda).
Noile teorii au fost cu greu acceptate de comunitatea stiintifica. Experimentele ulterioare au demonstrat, īnsa, corectitudinea acestor ipoteze.
Efectul fotoelectric este un fenomen fizic īn care se manifesta natura corpusculara a luminii. El consta īn emisia electronilor de catre un corp aflat sub actiunea radiatiilor electromagnetice. Pentru explicarea lui, Einstein a presupus ca fotonii din care este alcatuita lumina ciocnesc atomii din substanta respectiva, fiecare foton incident eliberānd cāte un electron. Scriind legea de conservare a energiei, se pot deduce legile empirice obtinute īn studiul acestui efect. Relatia este cunoscuta sub numele de legea lui Einstein:
![]()
unde
Razele-X
Materia, noi si tot ceea ce ne inconjoara, este alcatuita din spatii goale. Chiar si o roca este alcatuita din spatii, aceasta se datoreaza faptului ca materia este alcatuita din atomi. Un atom este alcatuit dintr-un invelis electronic format din electroni (cu sarcina electrica negativa) care orbiteaza in jurul unui nucleu, compus si el la randul lui din protoni (sarcina electrica pozitiva, egala cu cea a electronilor) si neutroni (fara sarcina electrica). Proportia dintre nucleu si invelis electronic este egala cu cea a unui graunte de nisip in centrul unui stadion de fotbal.
Nucleul detine mai mult de 99,9% din masa atomului, si totusi are un diametru de doar 1/100000-a parte din invelisul electronic. Electronii nu ocupa mult loc, insa traiectoria orbitei lor defineste marimea atomului, care este in proportie de 99.9999999999999% vid!
Ceea ce credem noi ca atingem este doar rezultatul semnalelor nervoase din corpul nostru, deoarece distanta minima la care ne putem apropia de un obiect este de un Ångstrom (Å). Cum ar arata materia daca nu ar fi "goala", daca am putea sa frangem invelisul electronic la dimensiunea nucleului? Sa presupunem ca am putea genera o forta destul de mare incat sa zdrobim "golul" din atomii unei roci de dimensiunea unui teren de fotbal. Stanca ar pute fi redusa la dimensiunea unui fir de nisip si totusi sa cantareasca 4 milioane de tone!
Surse de raze-X
Sistemul solar- Atmosfera externa a Soarelui este o sursa de raze-X.
Stele - Atmosfera fierbinte sau corola stelelor normale produc si
ele raze-X. Observatiile razelor-X sunt folositoare la intelegerea activitatii
stelelor in evolutia lor.
Stelele Pitice Albe- Acestea sunt dense, resturi arse ale unor stele cum ar fi Soarele. Ele s-au format in urma consumarii combustbilului nuclear.
Supernove si ramasite ale acestora - Cand o stea explodeaza si se transforma intr-o supernova, explozia creeaza un nor in care se pot atinge valori de mai multe milioane de grade care straluceste in raze-X timp de mii de ani. Observatiile razelor-X pot dezvalui dinamica exploziei si elementele grele prezente in norul rezultat.
Stelele neutronice- Cand o stea masiva devine o supernova, ea poate lasa in urma sa ramasite dense numite de specialisti "stele neutronice". Stelele neutronice tinere trimit in afara lor particule cu energii care pot trimite raze-X timp de mai multe mii de ani.
Gaurile negre-Cand stea moarta are masa mai mare decat trei sori,
aceasta formaeaza o gaura neagra in spatiu. Telescoapele pentru observarea
razelor-X ne dau o imagine asupra materiei supraincalzite care se misca in
jurul gaurilor negre.
Galaxiile - Observatiile prin raze-X a
galaxiilor normale au revelat calduroasa, energetica parte a caracterului unei
galaxii prin localizarea stelelor neutronice, ramasitele supernovelor si ale
gaurilor negre.
Galaxii active si Quasari - Galaxiile active duc o "viata"
violenta, de obicei in centrul acestora. Aceasta activitate se datoreaza unei
gauri negre uriase din centrul acestora sau o coliziune cu o alta galaxie sau
ambele. Quasarii sunt exemple extreme de galaxii active.
Un fundal radioactiv- Cerul observat in raze-X nu este intunecat,
ci este slab luminat, lumina in raze-X care vine de la multe surse indepartate.
Absorbtia de raze-X
Absorbtia acestora de catre atmosfera Pamantutui este impartita pe mai multe strauri atmosferice. Absorptia se face in urmatorul mod:
Fotonii razelor-X-particule minuscule incarcate cu energie electromagnetica puternica-sunt absorbiti de orice intalnesc in cale si care este compus din atomi. Cantitatea de radiatii se imputineaza trecand prin ionosfera si prin stratul de ozon.
Ce se intampla cand razele-X sunt absorbite in atmosfera?
Energia unei unde X incearca sa deplaseze un electron de la orbita lui din
jurul unui atom de oxigen.acest proces se numeste absorbrtia foto-electrica,
deoarece un foton este absorbit in procesul inlaturarii electronului de la
atom.
Telescoapele pentru observarea razelor-X de deasupra Pamantului pot colecta
radiatii de tip X de la surse care se afla la miliarde de ani lumina departare.
Aceste radiatii-X de provenienta cosmica sunt focalizate de o oglinda concava
si redirectionate spre un aparat de masura a intensitatii si proprietatilor cum
ar fi directia din care vin si energia razelor-X. Un material solid sau gazos
din interiorul aparatului absoarbe aceste raze sub efectul foto-electric.
Scurt istoric. Introducere in problematica LASER.
Despre efectul LASER se cunosc deja foarte multe. Aceasta ramura a stiintei s-a dezvoltat foarte mult de la inceputurile sale (1955-1965) si pana in ziua de astazi. Desi bazele teoretice erau mai mult sau mai putin stabilite, primii care reusesc sa concretizeze toate teoriile si presupunerile au fost doi rusi si un american.
In ordine sunt prezentati Charles H. Townes (Massachusetts Institute of Technology (MIT), Cambridge, MA, USA; nascut in 1915), Nicolay Gennadiyevich Basov (Lebedev Institute for Physics Akademija Nauk Moscow, USSR; nascut in 1922) si Aleksandr Mikhailovich Prokhorov (Lebedev Institute for Physics Akademija Nauk Moscow, USSR; nascut in 1916). Cei trei au impartit premiul Nobel atribuit in 1964 pentru "cercetarile fundamentale in domeniul electronicii cuantice care au condus la construirea oscilatoarelor si a amplificatorilor bazati pe principiul maser-laser".
Partea teoretica este usor de gasit in majoritatea manualelor, cursurilor si compendiilor de fizica existente asa ca lucrarea de fata nu se va concentra asupra acestui aspect. Principiul LASER consta in faptul ca atomii elibereaza energie sub forma de fotoni atunci cand parcurg tranzitia de pe un nivel de excitare metastabil spre un nivel de echilibru. Aceasta tranzitie se face sub influenta unui factor declansator si de aceea emisia de energie se numeste emisie stimulata sau emisie indusa. Odata pornita reactia aceasta se propaga sub forma piramidala astfel, un foton emis de un atom dezexcitat va declansa reactia la altul, acesta la randul lui va emite un foton si il va elibera si pe cel incident. Avem doi fotoni care se vor inmulti exponential. Astfel se produce o amplificare a radiatiei luminoase.
Realizarea practica a dispozitivelor LASER. Tipuri de laser.
Partile constituente ale unui laser sunt : mediul activ, sistemul de excitare si rezonatorul optic. Partea esentiala a unui dispozitiv laser o constituie mediul activ, adica un mediu in care se gasesc atomii aflati intr-o stare energetica superioara celei de echilibru. In acest mediu activ se produce amplificarea radiatiei luminoase (daca avem o radiatie luminoasa incidenta) sau chiar emisia si amplificarea radiatiei luminoase (daca nu avem o radiatie luminoasa incidenta). Sistemul de excitare este necesar pentru obtinerea de sisteme atomice cu mai multi atomi intr-o stare energetica superioara. Exista mai multe moduri de a realiza excitarea atomilor din mediul activ, in functie de natura mediului. Rezonatorul optic este un sistem de lentile si oglinzi necesare pentru prelucrarea optica a radiatiei emise. Desi la iesirea din mediul activ razele laser sunt aproape perfect paralele rezonatorul optic este folosit pentru colimarea mult mai precisa, pentru concentrarea razelor intr-un punct calculat, pentru dispersia razelor sau alte aplicatii necesare.
Dupa natura mediului activ deosebim mai multe tipuri de laser. Printre acestea regasim laserul cu rubin, la care distingem bara de rubin tratat drept mediul activ iar ansamblul sursa de lumina plus oglinzi poarta rolul de sistem de excitare. Laserul cu gaz foloseste amestecuri de gaze rare (He, Ne, Ar, Kr) sau CO2 drept mediu activ si o sursa de curent electric legata la doi electrozi iau rolul de sistem de excitare.
LASER-ul cu semiconductori. Aprecieri teoretice.
Laserul cu semiconductori este constituit ca si celelalte tipuri de laser tot pe sablonul mediu activ, sistem de excitare, rezonator optic. In acest caz un amestec semiconductor este folosit ca mediu activ. Cel mai adesea se folosesc combinatii de metale din aceleasi perioade ale grupelor IIIa si Va. Dintre acestea semiconductorul cel mai folosit este cel format din Galiu si Arsenic (GaAs). Alte medii active au fost obtinute atat din amestecuri ale elementelor grupelor IIa si Via (Zinc si Seleniu - ZnSe) cat si din amestecuri de trei sau patru elemente. Ultimele doua sunt mai ades folosite pentru emisia unor radiatii mult mai precise din punct de vedere al lungimii de unda. Sistemul de excitare este constituit din doua straturi de semiconductori, unul de tip p si unul de tip n. Pentru a intelege mai bine aceste doua notiuni trebuie amintite cateva considerente teoretice cu privire la fizica solidului, in special principiul semiconductorilor.
Semiconductorii sunt o clasa de materiale larg folosita in electronica datorita posibilitatii controlului proprietatilor electrice. Rezistivitatea electrica a unui semiconductor scade odata cu cresterea temperaturii iar valoarea ei poate fi modificata in limite foarte largi (10-2 - 108 W cm). Intr-un semiconductor foarte pur, conductibilitatea electrica este data de electronii proprii, numita si conductibilitate intrinseca, iar in cazul materialelor impurificate avem de-a face cu o conductibilitate extrinseca. Conductibilitatea intrinseca poate fi explicata pe scurt astfel. La 0K, electronii sunt asezati in legaturile covalente formate intre atomii semiconductorului intrinsec. Odata cu cresterea temperaturii unii electroni se rup din legaturi fiind liberi sa circule in tot volumul cristalului. Se produce un fenomen de ionizare, iar in locul electronului plecat ramane un gol. Imediat el se ocupa cu un alt electron alaturat, golul se deplaseaza o pozitie. Daca aplicam un camp electric in semiconductor, electronii liberi se vor misca in sens invers campului, dar si golurile vor forma un curent pozitiv de acelasi sens cu campul. Cel mai interesant fenomen il reprezinta modificarea spectaculoasa a rezistivitatii electrice a semiconductorilor prin impurificare. Astfel, daca din 105 atomi de Siliciu unul este inlocuit cu un atom de Bor, rezistivitatea siliciului scade, la temperatura camerei, de 1000 de ori !!! Impurificare reprezinta o problema specifica si fundamentala a fizicii si tehnologiei semiconductorilor. Daca impurificam Germaniul (grupa IVa, patru electroni de valenta) cu un element din grupa a 5-a (cinci electroni de valenta) vom obtine un amestec cu un electron de valenta liber. Aceasta impuritate constituie un donor. Semiconductorul astfel impurificat este de tip n, iar nivelul sau de energie este mai aproape de zona de conductie. Daca impurificarea este facuta cu atomi din grupa a 3-a (trei electroni de valenta), acesta se va integra in reteaua cristalina cu doar trei legaturi covalente, ramanand, deci, un gol capabil de a captura electroni in jurul atomului trivalent. Din aceasta cauza atomii acestui tip de impuritati au primit numele de acceptori. Intr-un semiconductor astfel impurificat vor predomina sarcinile pozitive, de unde numele de semiconductor de tip p. Jonctiunile p - n sunt ansambluri formate prin alipirea unui semiconductor de tip p cu unul de tip n . Zona de separare, interfata, are marimi de ordinul 10-4 cm. La suprafata semiconductorului n apare un surplus de electroni iar la suprafata semiconductorului p un surplus de goluri. Astfel apare tendinta de compensare a acestora prin difuzia electronilor de la un semiconductor la celalalt.
Laserul cu semiconductori. Construire. Consideratii practice.
Revenind la laserul cu semiconductori, avand stabilita o baza teoretica minimala putem trece la detalierea practica a principiilor enuntate anterior.
Laserul cu conductori este, de fapt, un sandwich format din 3 straturi de semiconductori la care se adauga elementele sistemului de excitare. La acest tip de laser energia necesara excitarii sistemului de atomi din mediul activ cat si factorul declansator sunt date de curentul electric care se aplica, conform figurii. Datorita faptului ca acest sandwich corespunde modelului clasic de dioda, de aici incolo se va folosi si termenul de dioda.
Randamentul unei astfel de diode este in jurul a 30% dar amplificarea este destul de mare. Curentul necesar trebuie sa aiba o densitate de cateva mii de amperi pe centimetru dar avand in vedere ca o dioda laser are marimi foarte mici, curentul necesar este adesea sub 100mA. Pentru a obtine rezultate satisfacatoare, in practica se folosesc mai multe straturi decat se prezinta in figura. Cat priveste stratul activ, lungimea lui nu depaseste 1 mm, iar grosimea sa este, in functie de model, de la 200 pana la 10 nm. In general grosimea stratului activ variaza intre 200 si 100 nm. Datorita faptului ca este atat de subtire, fascicului emis este foarte divergent (pentru un laser) si astfel laserul cu semiconductori se bazeaza foarte mult pe rezonatorul optic ce trebuie ales cu mare grija si trebuie pozitionat foarte precis pentru a obtine performante maximale. De obicei un sistem format din doua lentile plan-convexe pozitionate cu fetele convexe una spre cealalta la anumite distante calculabile este suficient pentru a obtine un fascicul destul de bine colimat cu razele aproape perfect paralele.
Din desenul de mai sus se poate observa ca emisia laser se face in doua directii. Acest fenomen este tratat in mod diferit in functie de necesitati. Se poate crea o cavitate rezonanta prin pozitionarea unei oglinzi perfecte si a uneia semitransparente, se poate folosi emisia "din spate" pentru a masura proprietatile fasciculului principal, se poate folosi aceeasi emisie din spate pentru a masura si controla curentul ce trece prin dioda. Diodele laser sunt foarte sensibile la curenti si de aceea controlul strict asupra acestora este absolut necesar. Uneori este necesara doar o variatie mica a tensiunii sau a puterii si dioda se va arde. Mai jos este un prezentat un montaj clasic de dioda cu posibilitate de control a curentului:
Diodele laser sunt poate, cele mai fragile dispozitive de emisie laser. Faptul ca stratul activ are, de fapt, marimea unei bacterii este cel ce sta la baza afirmatiei anterioare. Acest strat poate fi usor distrus prin supunerea la curenti neadecvati, prin influente electrostatice, prin incalzire excesiva. Stratul activ se poate autodistruge chiar si fara prezenta vre-unuia din factorii enumerati mai sus. Simpla emisie a luminii poate vaporiza acest strat minuscul daca lumina emisa este prea puternica.
O dioda, desi minuscula, poate dezvolta puteri ale luminii de pana la 3-5 mW. Desi sunt mai rare si mult mai scumpe, diodele ce dezvolta zeci de mii de mW exista si se gasesc in inscriptoarele de CD si in alte instrumente si aparate de profil. In ceea ce priveste divergenta fasciculului, in prezent, majoritatea pointerelor reusesc performanta de a pastra divergenta la sub un mm la fiecare 5 metri. Spectrul de culori acoperit de laserii cu semiconductori este in zona rosie 630-780 nm dar nu este limitat numai aici.
Laseri verzi sau chiar albastri exista si sunt
intens cercetati. Problema este ca diodele de verde si albastru au o viata
efemera (cele mai performante ating doar cateva sute de ore) si functioneaza la
temperaturi scazute (apropiate de 0K). Fata de clasicul GaAs (care emite in
rosu-IR), pentru laserii albastri se prefera ZnSe si GaN. Primul a fost exclus
treptat din cercetari datorita rezistivitatii mari, consumului mare de energie,
randamentului mic si a multor altor factori descoperiti experimental. Ultimele
cercetari s-au concentrat pe GaN, iar de cand prof. Shuji Nakamura a realizat
primul montaj practic si fiabil pentru generarea laserului albastru,
cercetarile au luat amploare. Un fapt inedit, la data realizarii diodei pentru
laserul albastru, in 1993, Shuji Nakamura nu avea nici macar un doctorat in
buzunar, era doar un simplu cercetator pierdut intr-un laborator al unei firme
japoneze obscure. Recent, prof. Nakamura s-a alaturat colectivului profesoral
de la Colegiul de Inginerie al Universitatii Californiene din
Revenind la laserii uzuali, trebuie mentionate si o serie de pericole ce pot apare chiar si pe langa laserii cu semiconductori care sunt cunoscuti a fi mai putin puternici. S-a calculat ca o dioda obisnuita are o putere mult mai mare chiar si decat a soarelui la ecuator. Toate amestecurile din stratul activ au o putere de emisie mult mai mare decat a aceleiasi cantitati de suprafata solara. Diodele prezente pe piata fac parte din clasele II si IIIa, ceea ce inseamna ca prezinta risc scazut de vatamare la operarea conforma cu manualul si la expunerea fugara, efemera a ochiului in raza laser. Totusi, trebuie avut in vedere ca orice expunere indelungata produce vatamari punctiforme ale retinei si nu este nevoie de efecte immediate pentru ca retina sa fie vatamata. Regula numarul unu in lucrul cu laserii, nu se priveste direct in raza laser chiar daca nu se simte nici o durere sau chiar daca raza este palida. CULOAREA SI STRALUCIREA RAZELOR LASER NU AU NICI O LEGATURA CU PUTEREA RADIATIEI. Aceste doua proprietati sunt date de lungimea de unda a radiatiei care nu influenteaza in mod decisiv puterea laserului. Pot exista laseri cu o culoare roz palida care sa fie mai nocivi decat cei mai aprinsi si rosiatici laseri. Intre "laseristi" exista o gluma: "Regula numarul unu in lucrul cu laserii: Nu te uita niciodata direct in raza laser cu unicul ochi ramas intreg !".
Utilizarea laserilor cu semiconductori. Aspecte pozitive si negative ale acestei tehnologii.
Diodele sunt larg raspandite. Faptul ca sunt ieftin de produs, usor de folosit si foarte ieftin de folosit duce la producerea lor in masa si includerea lor in cele mai multe aparate electronice ce au nevoie de laseri.
Lecturatoarele de cd, fie ele CD-ROM-uri sau CD-playere, sunt toate prevazute cu diode laser. Playerele DVD au, deasemenea, diode laser, doar ca acestea emit fascicule mult mai fine. CD-Writer-ele si CD-ReWriter-ele folosesc diode ce emit laseri apropiati de IR (800 nm) si puteri de cativa W. Aceleasi diode, dar de puteri ceva mai mici, sunt prezente si in imprimantele cu laser. Alte produse care folosesc laseri emisi de diode sunt cititoarele de coduri de bare (Bar-Code Readers), unele Scannere, Pointerele etc. Poate cel mai important folos, dupa CD/DVD-playere, este cel adus in comunicatiile prin fibra optica. In cadrul fiecarui emitator pe fibra optica se afla o dioda laser. Mai nou s-a inceput folosirea diodelor si in medicina si in holografie. Diodele nu sunt folosite in aplicatiile militare (Radar, ghidare rachete, transmisiuni de date prin eter etc.), aplicatiile astronomice (distante cosmice si determinari de compozitii), efectele speciale de anvergura si holografia de mare intindere datorita puterii limitate relativ mici pe care o dezvolta.
Concluzii.
Laserul cu semiconductori este o alternativa ieftina si fiabila la laserii cu gaz. Marimile reduse, costurile mici de fabricatie si utilizare cat si longevitatea lor confera diodelor atuuri importante in "lupta" cu celelalte dispozitive de emisie laser. Singurele dezavantaje fiind puterile relativ mici si fragilitatea, diodele sunt si vor fi cercetate extensiv pentru a fi imbunatatite. Pentru noi este important sa intelegem cum functioneaza un astfel de dispozitiv, la ce este folosit si incotro se indreapta cercetarile pentru a ne familiariza inca de pe acum cu acest tip de laser pe care il vom intalni din ce in ce mai des in viata noastra de zi cu zi. Este important sa cunoastem pericolele pe care le aduce cu sine o dioda laser precum si factorii care pot perturba buna functionare a acesteia pentru a sti cum sa ne aparam si cum sa o protejam.
Laserul cu semiconductori este un domeniu ale carui orizonturi abia acum ni se deschid, cu un viitor sigur si cu implicatii puternice in viata de zi cu zi.
GAURILE NEGRE
Gaurile negre sunt obiecte atāt de masive si dense īncāt atractia lor gravitationala nu lasa nici lumina sa scape.
Daca miezul lasat īn urma de catre explozia unei supernove are masa mai mare decāt cea a soarelui nostru, forta care tine laolalta neutronii nu este suficient de mare ca sa poata echilibra forta gravitationala proprie. Miezul continua sa se stinga. Īn momentul īn care masa miezului este suficient de concentrata, forta gravitationala a acestuia este imensa.
Aceasta forta nu se poate explica īn fizica clasica si astronomii folosesc teoria relativitatii a lui Einstein ca sa explice comportamentul luminii si al materiei fata de aceasta imensa forta gravitationala.
Potrivit relativitatii generale, spatiul din jurul miezului este atāt de puternic curbat īncāt atrage si lumina. O stea de zece ori mai mare decat soarele nostru se poate transforma intr-o gaura neagra doar daca se comprima pāna la un diametru de aproximativ 90 km sau chiar mai putin.
Presupunerile astronomilor spun ca mijlocul galaxiei noastre este o gaura neagra imensa.
Pe īntelesul tuturor, o gaura neagra este o regiune din spatiu care are atāt de multa masa concentrata īn ea īncāt nici un obiect din apropiere nu poate scapa de atractia ei gravitationala. Avānd īn vedere ca cea mai buna teorie despre gravitatie pe care o avem īn acest moment este Teoria generala a relativitatii a lui Einstein, trebuie sa folosim niste rezultate ale ei pentru a īntelege gaurile negre mai īn detaliu. Dar sa īncepem mai usor, gāndindu-ne la gravitatie sub circumstante destul de simple.
Sa presupunem ca ne aflam pe suprafata unei planete. Aruncam o
piatra pe directie verticala. Presupunānd ca nu o aruncam
prea tare, ea se va ridica un pic, dar pāna la urma acceleratia datorata gravitatiei
planetei o va face sa cada din nou. Daca aruncam piatra destul
de tare am putea s-o facem sa scape total de gravitatia planetei. Se
va ridica la nesfārsit. Viteza cu care
aruncam o piatra pentru ca ea sa scape de atractia
gravitationala a planetei se numeste viteza de evadare.
Dupa cum probabil v-ati dat seama viteza de evadare depinde de masa planetei: daca o planeta este
extrem de masiva, atunci gravitatia ei este foarte puternica,
deci viteza de evadare este foarte mare. O planeta mai usoara va
avea o viteza de evadare mai mica. Viteza de evadare depinde de
asemenea de distanta la care ne aflam de centrul planetei: cu cāt
suntem mai aproape, cu atāt mai mare viteza de evadare. Viteza de evadare a
Pamāntului este de 11,2 km/s, īn timp ce aceea a Lunii
este de doar 2,4 km/s.
Acum sa ne imaginam un obiect cu o concentratie enorma de masa īntr-o atāt de mica raza īncāt viteza de evadare este mai mare decāt viteza luminii. Deci, cum nimic nu poate merge mai repede decāt lumina, nimic nu poate scapa din cāmpul gravitational al obiectului. Chiar si lumina va fi trasa īnapoi de gravitatie si nu va fi īn stare sa scape.
Ideea unei concentratii de masa atāt de densa īncāt nici lumina nu poate scapa dateaza īnca din timpul lui Laplace īn secolul XVIII. Aproape imediat dupa ce Einstein a dezvoltat relativitatea generala, Karl Schwarzschild a dat solutia ecuatiei matematice care descria un astfel de obiect. Abia mult mai tārziu, prin , datorita muncii lui Robert Oppenheimer, Volkoff si Snyder, oamenii s-au gāndit ca acest tip de obiecte chiar exista in Univers. Acesti cercetatori au aratat ca atunci cānd o stea suficient de masiva ramāne fara combustibil, nu mai e īn stare sa reziste īmpotriva propriei atractii gravitationale, si colapseaza īntr-o gaura neagra.
Īn relativitatea generala, gravitatia este o manifestare a curburii spatiu-timp. Obiectele masive distorsioneaza spatiul si timpul, astfel īncāt regulile uzuale ale geometriei nu se mai aplica. Lānga o gaura neagra, distorsiunea spatiu-timpului este foarte severa si din aceasta cauza gaurile negre au niste proprietati foarte ciudate. O gaura neagra are ceva ce se cheama 'orizontul evenimentului' sau Raza Schwarzschild. Acesta este o suprafata sferica ce marcheaza granita gaurii negre. Poti "intra" īn gaura prin acest orizont, dar nu mai poti iesi niciodata. De fapt, odata ce ai trecut de orizontul evenimentului, esti condamnat sa te apropii din ce in ce mai mult de 'punctul de singularitate' din centrul gaurii negre. S-a estimat ca punctul de singularitate este "traducerea" unei forte gravitationale care tinde, ca si valoare, spre infinit.
Ne putem imagina orizontul evenimentului ca fiind locul unde viteza de evadare este egala cu viteza luminii. Īn afara acestui orizont, viteza de evadare este mai mica decat viteza luminii, deci daca turati motorul īndeajuns, puteti scapa de atractia gravitationala. Dar daca va aflati īn interiorul orizontului, oricāt de puternic ar fi motorul tot nu veti scapa.
Raza Schwarzschild are niste proprietati geometrice foarte ciudate. Pentru un observator care sta nemiscat la distanta mare de gaura neagra, orizontul pare a fi o suprafata sferica frumoasa si statica. Dar odata cu apropierea de orizont, ne dam seama ca are o viteza foarte mare. De fapt se misca spre exterior, relativ la singularitate, cu viteza luminii! Asta explica de ce e usor sa treci orizontul spre interior, dar e imposibil s-o faci īn directia opusa.
Orizontul e static, dar dintr-un anumit punct de vedere el poate fi considerat ca fiind īn miscare. Mai plastic spus el trebuie sa fuga atāt de repede numai ca sa ramāna pe loc. Odata intrat īn orizont spatiu-timpul este distorsionat atāt de mult īncāt coordonatele care descriu distanta radiala si timpul īsi schimba rolurile.
Adica "r", coordonata care arata cāt de departe suntem de centru, devine o coordonata asemanatoare timpului, iar "t" devine asemanatoare spatiului. O consecinta a acestui fapt este aceea ca nu te poti opri din miscarea spre un "r" din ce īn ce mai mic, la fel cum īn circumstante obisnuite nu te poti opri din mersul spre viitor (adica spre valori din ce īn ce mai mari ale lui t).
Īn final, ne vom lovi de singularitate la r=0. Am putea īncerca s-o evitam, turānd motorul, dar e inutil: indiferent de directia īn care mergi nu-ti poti evita viitorul. Īncercarea de a evita singularitatea, odata trecut orizontul evenimentului, e la fel ca si cum ai īncerca sa eviti ziua de māine.
Numele "gaura neagra" a fost inventat de John Archibald Wheeler, si s-a īncetatenit datorita faptului ca are mai mult "lipici" decāt celelalte dinaintea lui. Īnaintea lui Wheeler, aceste obiecte erau uneori denumite "stele īnghetate"
LUMINA
Lumina este stimulul care actionīnd asupra retinei din ochi produce la omul sanatos senzatia vizuala. Din punct de vedere fizic, lumina este o radiatie electromagnetica; pentru a fi perceputa de om ea trebuie sa aiba anumite caracteristici: frecventa trebuie sa fie cuprinsa īntre limitele sensibilitatii vizuale ale receptorilor fotosensibili din retina, iar intensitatea trebuie sa depaseasca pragul de sensibilitate al acestora. Īn sens larg se poate folosi termenul de "lumina" si pentru radiatii electromagnetice invizibile pentru om, ca de exemplu lumina infrarosie sau cea ultravioleta. Lumina īmpreuna cu temperatura face parte din factorii ecologici.
Atīt lumina provenind direct de la o sursa de lumina cīt si cea transmisa, reflectata, īmprastiata sau difractata de diferite corpuri are pentru ochiul uman o serie de caracteristici, printre care:
Undele electromagnetice, deci si lumina vizibila, se compun dintr-un cīmp electric si unul magnetic, orientate perpendicular unul pe celalalt, amīndoua variabile īn timp si spatiu, si care se genereaza reciproc. Variatia acestor cīmpuri este īn general periodica atīt īn timp cīt si īn spatiu; perioada de repetare temporala a oscilatiilor este inversul matematic al frecventei cīmpului electromagnetic respectiv; perioada spatiala este numita lungime de unda. Aceste doua caracteristici sīnt legate īntre ele prin intermediul vitezei de propagare a undei (v. viteza luminii). Frecventa undelor electromagnetice nu depinde de mediul īn care se propaga acestea. Īn schimb, lungimea de unda depinde de viteza de propagare a undei īntr-un mediu dat, astfel īncīt aceeasi unda trecīnd dintr-un mediu īn altul va suferi variatii ale lungimii de unda, conform relatiei:
,
unde
este
viteza de propagare a undei īn mediul respectiv. Cīnd se descrie o
radiatie electromagnetica prin lungimea sa de unda trebuie deci
precizat si mediul īn care se propaga unda; īn lipsa acestei
precizari se va subīntelege ca este vorba de lungimea de
unda īn vid. Aceasta este aproximativ egala cu
lungimea de unda īn aer, cu o eroare acceptabila īn multe
situatii practice,
Undele electromagnetice reale se pot descompune īn unde elementare, cu urmatoarele caracteristici:
Bibliografie
D.Ciobotaru si colectivul, Manual de fizica, clasa a XII-a, EDP, Bucuresti, 1997
I.Bunget si colectivul, Compendiu de fizica pentru admiterea in invatamantul superior, Ed. Stiintifica, Bucuresti, 1971
Richard P. Feynmann,Fizica Moderna, vol III, Editura Tehnica, Bucuresti 1970
Arach T&A Corp., Laser Theory, Internet, 1999
, Semiconductor Laser Diodes, Internet
Power Technology, Inc., Advantages of Semiconductor Laser Diodes, Internet, 1998-1999
Sam Goldwasser, Sam Goldwasser's Lasers Frequently Asked Questions, Internet, 16 Martie 2000
Web Science Resources, Laser Tutorial- Laser Diode, Internet, 1997
University of
1964 Nobel Prize Winners, Nobel Prizes, Internet 2000
wikipedia.ro , eFizica.ro.


|