Documente online.
Zona de administrare documente. Fisierele tale
Am uitat parola x Creaza cont nou
 HomeExploreaza
upload
Upload




izica moleculara si termodinamica

Fizica


2. Fizica moleculara si termodinamica

2.1 Breviar de calcul



2.1.1 Structura discontinua a substantei

2.1.1.1 Legea proportiilor definite - la formarea unui corp dat, elementele se combina totdeauna īntre ele īntr-un raport de masa riguros constanta.

2.1.1.2 Legea proportiilor multiple - cānd doua elemente pot forma mai multi compusi, atunci cantitatile dintr-un element care se combina cu una si aceeasi cantitate din celalalt element se afla īntr-un raport īntreg de numere īntregi si mici.

2.1.1.3 Legea lui Avogadro - volume egale de gaze diferite, aflate īn aceleasi conditii de temperatura si presiune, au acelasi numar de molecule.

2.1.1.4 Marimi legate de structura discreta a materiei. Pentru a exprima masa atomilor sau a moleculelor s-a definit unitatea atomica de masa (u) definita ca a 12 parte din masa izotopului de carbon :

1 u = 1,66.10-27 kg. (2.1)

Masa atomica este masa atomului exprimata īn unitati de masa iar masa moleculara este masa moleculei exprimata īn unitati de masa (u). Masa unui mol se numeste masa molara () data de relatia

. (2.2)

2.1.1.6 Numarul lui Avagadro. Un kmol de substanta are 

NA = 6,023.1026 molecule/kmol. (2.3)

2.1.1.7 Volum molar. Independent de natura gazului, īn conditii normale (T = 273,15 K si p = 1 atm), volumul unui mol este:

. (2.4)

2.1.2 Teoria cinetico - moleculara

2.1.2.1 Formula fundamentala a teorie elasticitatii. Īntre presiunea p, la care se afla un gaz ideal si energia cinetica medie de translatie a moleculelor exista urmatoarele relatii:

; (2,5,a) . (2.5,b)

Relatia (2.1,a) reprezinta formula fundamentala a teoriei cinetico moleculare.

Presiunea unui gaz ideal (2.1,a) reprezinta doua treimi din energia cinetica medie de translatie a moleculelor din unitatea de volum.

2.1.2.2 Viteza termica a moleculelor are expresiile:

, (2.6)

unde este valoarea medie a patratului vitezei.

2.1.2.3 Teorema de echipartitie a energiei este data de relatia:

, (2.7)

unde i este numarul gradelor de libertate; k - constanta Boltzmann.

Pentru i = 3 (energia cinetica corespunde numai miscarii de translatie) si viteza de translatie este.

, (2.8)

unde R - constanta universala a gazului ideal , R = 8,3142.103 J/kmol.K = 8,3143 J/(mol.K) ;  R = k.NA; - masa molara; Numarul total de molecule N =.NA, NA este numarul lui Avogadro;

2.1.2.4 Energia interna. Pentru un mol de gaz ideal, energia interna a gazului (ecuatia de stare calorica) este

. (2.9)

2.1.2.5 Temperatura unui gaz ideal este o masura a intensitatii miscarii termice a moleculelor din care este constituit iar energia cinetica medie a unei molecule īn miscare de translatie este: .

2.1.2.6 Lungimea drumului parcurs de moleculele unui gaz este data de expresiile:

, (2.10)

unde no este numarul de molecule din unitatea de volum, iar (r raza fiind moleculara efectiva) este sectiunea eficace de īmprastiere pentru ciocnirile molecula - molecula.

2.1.2.7 Ecuatia de stare termica

p = nkT, (2.11)

unde n = N/V reprezinta concentratia gazului sau numarul de molecule din unitatea de volum; T - temperatura. Daca se introduce n īn ecuatia termica rezulta , = N/NA = m/ numar de moli.

2.1.2.8 Ecuatia Clapeyron - Mendeleev

, (2.12)

unde este numarul de moli, m - masa gazului.

2.1.2.9 Ecuatia de stare calorica a gazului ideal. Energia interna a unui gaz ideal monoatomic, respectiv a gazului ideal, este

(2.13,a) (2,13,b)

Energia cinetica medie totala este egala cu suma energiei cinetice de translatie si a energiei medii de rotatie:

. (2.14)

La determinarea energiei interne (2.13,b) pentru gaze ideale monoatomice i = 3 iar pentru gaze ideale biatomice i = 5. Energia interna a unui gaz ideal este o marime ce depinde numai de cantitatea de substanta si temperatura.

Legile gazului ideal

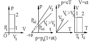
2.1.3.1 Starea unui sistem este determinata de parametrii de stare: presiunea p, volumul V si temperatura T. Starea de echilibru īn coordonate Clapeyron (p,V) este reprezentata printr-un punct (fig.2.1.1).


Fig.2.1.2 Reprezentarea grafica a legii Boyle - Mariotte


Fig.2.1.1 Starea de echilibru

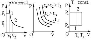
2.1.3.1 Legea Boyle - Mariotte (transformarea izoterma). Daca temperatura si masa unui gaz ramān constante, produsul dintre presiune si volum ramān constante



pV = const. p1V1 = p2V2; T = const. m = const. (2.15)

Īn figura 2.1.2 este reprezentata grafic ecuatia pV = const.


Fig.2.1.3 Reprezentarea grafica a legii lui Gay - Lussac

2.1.3.2 Legea Gay - Lussac. Daca presiunea si masa unui gaz ramān constante, variatia relativa a volumului este direct proportionala cu temperatura,

sau ;

m = const. p = const. (2.16)

unde Vo este volumul gazului la temperatura 0oC, este coeficient de dilatare izobar. Daca presiunea si masa unui gaz ramān constante, volumul variaza direct proportional cu temperatura sa absoluta

(2.17)

2.1.3.3 Legea transformarii izocore (legea lui Charles). Daca volumul si masa unui gaz ramān constante, variatia relativa a presiunii este direct proportionala cu temperatura

; m = const. V = const. (2.18)

unde po este presiunea gazului la 0o C iar este coeficientul termic al presiunii (coeficient de compresibilitate izocora). La gaze perfecte .


Fig.2.1.4 Reprezentarea grafica a legii lui Charles

Daca volumul si masa unui gaz ramān constante, atunci presiunea sa absoluta variaza direct proportional cu temperatura gazului

(2.19,a) . (2.19,b)

2.1.3.4 Legea transformarii generale (Clapeyron - Mendeleev)

Īn orice stare termodinamica , s-ar gasi un mol (sau kilomol) de gaz ideal, raportul dintre produsul presiunii gazului (p) cu volumul molar (V) si temperatura absoluta gazului (T ) este constant si egal cu constanta universala a gazelor (R)

; . (2.20)

Raportul dintre produsul presiune - volum (pV) si temperatura absoluta (T ) este constant la doua stari diferite, pentru m = ct.

; [p]SI = [N/m2] = [Pa] =[Pascal]; [V]SI = [m3]; [T]SI = [K]. (2.21)

2.1.3.5 Principiul I al termodinamicii. Variatia energiei interne () a unui sistem termodinamic īn cursul unui proces , īn care sistemul nu schimba substanta cu exteriorul, este egal cu diferenta dintre (cantitatea de) caldura primita (Q) si lucrul mecanic (Lef) efectuat de sistem īn cursul respectivului proces:

(2.22) unde . (2.23)

Energia interna () este o marime de stare care depinde doar de starea initiala si starea finala

, (2.24)

unde CV caldura molara la volum constant [Cv]SI = [J.mol-1.K-1].

Ţinānd seama ca (exponent adiabatic) se obtin relatiile lui Mayer dintre caldurile molare la presiune constanta Cp, si la volum constant, CV, respectiv caldurile specifice cp si cV, au formele:

Cp = CV + R, (2.25) respectiv cp = cV + R/. (2.26)

Energia interna va fi: . (2.27)

Expresiile ecuatiilor de stare, ale lucrului mecanic efectuat (2.23) si (cantitatile de) caldura Q, primita de un gaz ideal, corespunzatoare principalelor tipuri de transformari particulare ale acesteia, īntre starile 1 si 2 sunt indicate īn tabelul 1.

Tabelul 1

Tipul transforma-rii particulate

Ecuatia parametrilor de stare

Lef

Q

Izoterma

T = ct. m = ct.

p V = p1V1 = ct

Legea Boyle-

Mariotte)



Izobara

p = ct. m = ct.

Legea Gay-Lussac

Izocora

V = ct. m = ct.

legea Charles

Q

Adiabatica

unde

-Lef

2.1.3.6 Principiul al II-lea al termodinamicii. Variatia entropiei sistemului termodinamic, dS, īntr-un proces elementar este egal cu raportul dintre (cantitatea de) caldura dQ primita de sistem si temperatura T la care primeste caldura respectiva, adica

. (2.28)

2.1.3.7 Randamentul unui motor termic, care functioneaza ciclic īntre temperaturile T1 (temperatura sursei calde) si T2 (temperatura sursei reci), este mai mic sau cel mult egal cu randamentul al motorului care functioneaza īntre aceleasi temperaturi dupa un ciclu Carnot reversibil format din doua transformari izoterme, la temperaturile T1, respectiv T2 si doua transformari adiabatice, reversibile

, (2.29)

unde Q2 este cantitatea de caldura cedata sursei reci, īn conditiile primirii de la sursa calda a cantitatii de caldura Q1(formularea Carnot a principiului al II-lea a termodinamicii).

Formularile echivalente ale principiului al II-lea al termodinamicii date de:

W.Thomson: Īntr-o transformare ciclica monoterma sistemul nu poate ceda lucru mecanic īn exterior. Daca transformarea ciclica monoterma este si reversibila atunci sistemul primeste lucru mecanic din exterior

R. Clausis: Nu este posibila o transformare care sa aiba ca rezultat trecerea de la sine a caldurii de la un corp cu o temperatura data la un corp cu temperatura mai ridicata;

Conduc la obtinerea expresiei cantitative a celui de al doilea principu al termodinamicii.Principiile de functionare ale masinilor si motoarelor termice se bazeaza pe ciclurile Carnot, Otto, Diesel s.a. ale caror randamente sunt date de expresiile:

; ;, (2.30)

unde e = V1/V2 si sunt rapoarte de compresie.

2.1.4 Puterea calorica a combustibilului este cantitatea de caldura degajata prin arderea unei cantitati de combustibil de masa m, q = Q/m, unde Q este cantitatea de caldura degajata prin ardere.

2.1.5 Ecuatia calorimetrica are forma Q1 = Q2 unde Q1 este caldura cedata de corpul cald si Q2 caldura primita de cel rece.

2.1.6 Fenomene superficiale


Fig.2.1.5 Ascesiunea sau depresia capilara

2.1.6.1 Coeficientul de tensiune superficiala este egal cu forta tangentiala la planul peliculei, raportata la lungimea marginii peliculei superficiale de lichid

, . (2.31)

2.1.6.2 Ascensiunea (sau depresiunea) capilara Īnaltimea la care urca (pentru lichidele care uda peretii vasului) sau coboara (pentru lichidele care nu uda peretii vasului) un lichid īntr-un vas capilar este data de legea lui Jurin

, (2.32)

r - raza vasului capilar ; - densitatea lichidului, g - acceleratia gravitationala; R - raza sferei din care face parte meniscul, ; - unghiul de racordare; = 0 (pentru lichide ce uda perfect peretii vasului; = (pentru lichide ce nu uda de loc peretii vasului)

2.1.7 Lichefierea gazelor constituie trecerea de la faza de gaz īn faza lichida. Caldura latenta de lichefiere la temperatura constanta fiind:

, (2.33)

unde Q este cantitatea de caldura transferata masei m de substanta.

Vaporizarea are loc īn vid sau īn atmosfera gazoasa si constituie transformarea unui lichid īn gaz. Caldura latenta de vaporizare are expresia:

. (2.34)

Condensarea este un fenomen invers vaporizarii.

Topirea este procesul de trecere a substantei din stare solida īn stare lichida la o temperatura bine determinata. Procesul de trecere a substantei din stare lichida īn stare solida, la o temperatura bine determinata se numeste solidificare sau cristalizare. Caldura latenta de solidificare este

. (2.35)

Procesul de trecere a substantelor din stare solida direct īn stare gazoasa se numeste sublimare iar procesul invers desublimare.




Document Info


Accesari: 27803
Apreciat: hand-up

Comenteaza documentul:

Nu esti inregistrat
Trebuie sa fii utilizator inregistrat pentru a putea comenta


Creaza cont nou

A fost util?

Daca documentul a fost util si crezi ca merita
sa adaugi un link catre el la tine in site


in pagina web a site-ului tau.




eCoduri.com - coduri postale, contabile, CAEN sau bancare

Politica de confidentialitate | Termenii si conditii de utilizare




Copyright © Contact (SCRIGROUP Int. 2026 )