|
|
&n 545w2216f bsp; &n 545w2216f bsp; &n 545w2216f bsp; &n 545w2216f bsp;
,
&n 545w2216f bsp; 
&n 545w2216f bsp;
&n 545w2216f bsp;


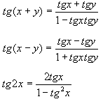
Tangenta
&n 545w2216f bsp; &n 545w2216f bsp;
&n 545w2216f bsp; &n 545w2216f bsp;
Cotangenta
&n 545w2216f bsp;
&n 545w2216f bsp; &n 545w2216f bsp;








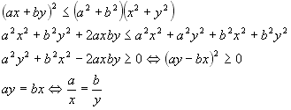
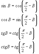
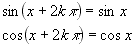
Daca ,
avem: 

,
unde 
Cauchy Buniakovski

|