Am uitat parola
x
Creaza cont nou
Home
Exploreaza
Upload
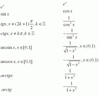
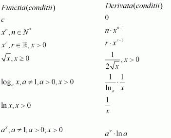
Derivatele functiilor elementare
Matematica
ALTE DOCUMENTE
SIMULARE LA MATEMATICĂ
exercitii
Siruri
Numere reale
PERMUTARI
Repartitii discrete
FJ - Logica Bilete de examen. Modalitate
Ecuatii algebrice de gradul III, IV si V
Primitive
Matlab - Reprezentarea obiectelor spatiale
Derivatele functiilor elementare
Document Info
Accesari: 5013
Apreciat:
Comenteaza documentul:
Nu esti inregistrat
Trebuie sa fii utilizator inregistrat pentru a putea comenta
Creaza cont nou
A fost util?
Daca documentul a fost util si crezi ca merita
sa adaugi un link catre el la tine in site
Copiaza codul:
in pagina web a site-ului tau.
Derivatele functiilor elementare
eCoduri.com - coduri postale, contabile, CAEN sau bancare
Politica de confidentialitate
|
Termenii si conditii de utilizare
Copyright
©
Contact
(
SCRIGROUP Int. 2025
)