ALTE DOCUMENTE |
Pentru ca matematica este probabil proba cea mai dificila-
daca nu am dreptate spuneti-, m-am hotarat sa afisez cele mai importante
formule trigonometrice, pe care le folositi in mod curent. De
la cele banale, pana la cele mai 'fistichii'. Spor la lucru la
toata lumea!

(unde a
si b - catetele, c - ipotenuza triunghiului dreptunghic, a -
unghiul, opus catetei a)

![]()
![]()

![]()
![]()
![]()
![]()
![]()

![]()






![]()
![]()
Iata si cateva formule matematice din geometria
analitica ( atat in plan cat si in spatiu). Sper sa va fie de folos.
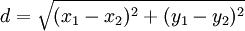
Distanta dintre punctele P1(x1,y1) si P2(x2,y2) este:
![]()
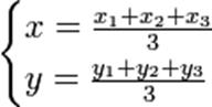
Centrul de greutate al triunghiului cu varfurile in punctele
P1(x1,y1),P2(x2,y2) si P3(x3,y3) este:

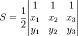
Suprafata triunghiului cu varfurile in punctele P1(x1,y1),P2(x2,y2) si
P3(x3,y3) este:

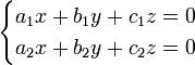
Dreapta in spatiu poate fi considerata ca intersectia a doua plane:

Distanta dintre doua puncte P1(x1,y1,z1) si P2(x2,y2, z2) este :
![]()
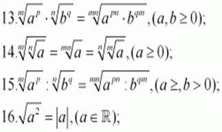
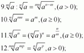
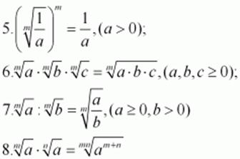
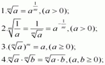
Radicali.Proprietati



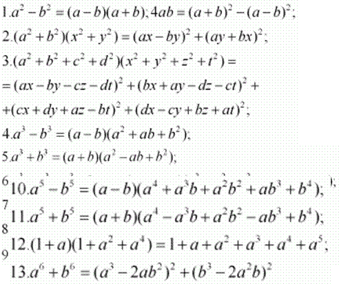
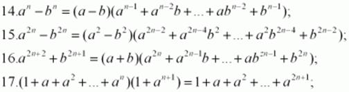
Identitati fundamentale


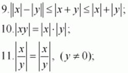
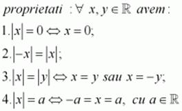
Modulul unui numar real



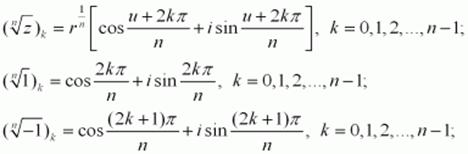
Extragerea radacinii de ordinul n dintr-un numar complex
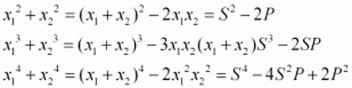
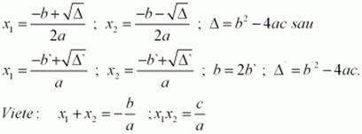
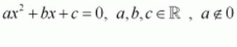
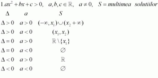
Ecuatia de gradul al II-lea
Ecuatia de gradul al doi-lea
Rezolvare:
Studiul ecuatiei de gradul al doi-lea II
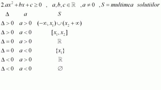
Inecuatii fundamentale de gradul al doi-lea

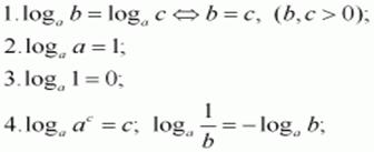
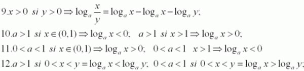
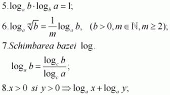
Logaritmi.Proprietati.



Combinari

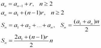
Progresii aritmetice
Se numeste progresie aritmetica un sir de numere a1,a2,a3,,an,in care fiecare termen, incepand cu a2, se obtine din cel precedent prin adaugarea unui numar constant numit ratia progresiei. Se noteaza a1,a2,a3,an,
Daca a1 este primul termen, an cel de-al n-lea termen, r ratia, n numarul termenilor si Sn suma celor n termeni, atunci avem:
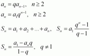
Progresii geometrice
Se numeste progresie geometrica un sir de numere a1,a2,a3,,an,.. in care fiecare termen, incepand cu a2, se obtine din cel precedent prin inmultirea acestuia cu un acelasi numar q, diferit de zero, numit ratie. Se noteaza a1,a2,a3,an,
Daca a1 este primul termen, an cel de-al n-lea termen, q ratia, n numarul termenilor si Sn suma celor n termeni, atunci avem:

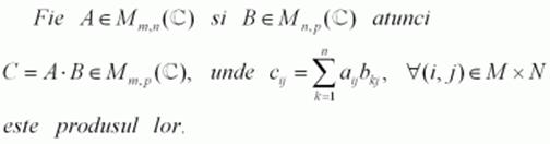
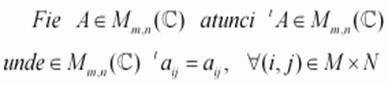
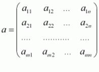
Matrici definitie
Fie M= si N =.
A: MxN -> C , A(i, j)=aij se numeste matrice de tipul (m, n); cu m linii si n coloane:
Notam cu Mm,n(C) multimea matricelor de tipul (m,n) cu elemente numere complexe. Daca m=n atunci matricea se numeste patratica de ordinul n, iar multimea lor se noteaza Mn(C). Doua matrici A,B care apartin lui Mm,n(C) sunt egale daca si numai daca ay ,by ,oricare ar fi (i, j) apartin lui M x N.

Proprietatile matricilor comutativitate
asociativitate element neutru
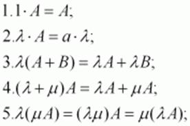
Inmultirea cu scalari
Inmultirea cu scalari
Proprietati:
Transpusa unei matrici
Inmultirea matricilor - proprietati element neutru matricea unitate
Inmultirea matricelor
Proprietati:
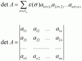
Determinantul unei matrici
Determinanti :0

Se numeste determinantul matricei A, numarul
![]()
|