Am uitat parola
x
Creaza cont nou
Home
Exploreaza
Upload
Limite de functii
Matematica
ALTE DOCUMENTE
Cercul
PERMUTARI
Repartitii discrete
AUTOMATE CU NUMARATOARE
Baze de numeratie
Tema matemarica clasa 1
Exercitii si probleme
Aplicatii
DIVIZIBILITATE
TEST clasa a 1 a
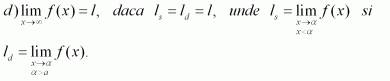
Limite de functii
Document Info
Accesari: 1946
Apreciat:
Comenteaza documentul:
Nu esti inregistrat
Trebuie sa fii utilizator inregistrat pentru a putea comenta
Creaza cont nou
A fost util?
Daca documentul a fost util si crezi ca merita
sa adaugi un link catre el la tine in site
Copiaza codul:
in pagina web a site-ului tau.
Limite de functii
eCoduri.com - coduri postale, contabile, CAEN sau bancare
Politica de confidentialitate
|
Termenii si conditii de utilizare
Copyright
©
Contact
(
SCRIGROUP Int. 2025
)