In loc de motto:
Intotdeauna cand am scris matematica
am dorit sa scriu o matematica directa,
care sa fie accesibila tuturor. Apoi
mi-am dat seama ca matematica scrisa
si cea vorbita nu sunt una si aceeasi.
METODE INTERACTIVE DE INVATAREA MATEMATICII
Semiotica matematica a invatarii
Motto Intre minus infinit si plus infinit,
o dunga Albastra.
Pe scurt, tehnica utilizata este cea a copilului care-si propune sa construiasca un dulap si inainte de a incepe constructia, face bilantul obiectelor de care are nevoie. Identifica necesarul pentru peretii dulapului, pentru rafturi, pentru usi si apoi incepe sa caute obiectele si cele pe care nu le gaseste le inlocuieste. Fiind vorba de invatare, care inseamna patrunderea intr-un spatiu nou, activitatea atinge si tema ospitalitatii in care trebuie sa invatam a percepe cele de neauzit si de nevazut. Facem acesta dand un sens cuvintelor cheie care pot defini obiecte matematice sau nu, iar in unele cazuri acestea definesc atitudini, actiuni, insa necesita timp si deschidere. Este suficient sa ne raportam la adevarul lui Jacques Derrida despre “ justetea unui cuvant “ ca sa intelegem ca oricat de inteligent initiem un demers e nevoie de ritm si timp pentru a-l desavarsi.
J.D. E greu sa intelegi ceva din justetea unui cuvant fara a lua masura pasului sau adica a ritmului si a timpului de care avem nevoie pentru a-l spune.
Si daca ar fi doar atat, am repeta-n diferite ritmuri si tot am nimeri ritmul potrivit perceptorului. E vorba si de plasarea cuvantului in context, si de claritatea contextului, ca zborul unui pescarus 717j93h intr-un peisaj cunoscut sau nu. Evident ca si perceperea acestui zbor depinde de atatea elemente pe care nu le dezvoltam ).
Dulapul nostru s-ar numi “ Matematici speciale “ si obiectele de care avem nevoie sunt: numerele complexe (sub cele trei forme, inclusiv interpretarea lor geometrica, pe care o extindem la sfera lui Riemann), functiile complexe cu calitatile lor de olomorfie (monogenitate), cu partile lor reale si imaginare (si toate acestea plecand de la miracolul unitatii imaginare). Seriile complexe, drumurile Cauchy (formule si teoreme), reziduurile si integralele cu teorema reziduurilor, toate la un loc fac obiectul unei constructii pe care la inceput am numit-o dulap, dar pe care, la fel de bine o putem numi Turn de scoici. Fiind vorba de simboluri si domenii, alegerea ne sta la indemana.
Este de fapt ca o ascensiune a unui munte in care singura sansa de a ajunge la mijlocul muntelui este de a urca. Efort, cunoasterea traseului, cu cateva repere. Aceste repere le luam in cadrul cursurilor si ale lucrarilor de laborator folosind interactiv saitul https://apollo.imc.ro lucrand dirijat si adunand cunostinte si deprinderi. Pentru a urmari mai usor traseul, etapele invatarii le marcam prin zone. Demersul nostru din apollo pleaca de pe plaja. Si daca nisipul plajei il consideram “materia timpului ”, este acceptabil ca Nodul de clepsidra sa fie clipa, … De aici mai departe totul este o Semiotica matematica a unei poetici prin care obiectele abstracte devin vizibile, cu proprietati imbogatite.
In lucrarea cu numele acestui capitol, premiata, studentii au facut ilustrarea cu imagini ale unor cuvinte cheie de asa maniera incat cel ce se afla departe de scoala sa poate tine legatura cu scoala, intrand intr-un echipaj cu care sa se confeseze pe teme stiintifice
Sa nu lasam omul cu mana intinsa, nici cand da dar nici cand cere.
Putem lua acest indemn al Parintelui Isihie cu numele de cod dunga albastra” din mottoul care urmeaza. Va spune ceva aceasta insiruire de nume
Melchior
Baltazar
Gaspar ?
Daca da, e bine. Daca nu s-ar putea sa existe ceva dificultati cand se
fac trimiteri la ospitalitate” si la „dar”.
“ Scrisoarea Andreei “
Noi fiind prietenii Andreei
Cine o gaseste pe Andreea? – cautarea Andreei. Iata o proba de
internet, motiv de inchegarea unui echipaj de cautare si de invatare. Pe tema invatarii stam putin sa deslusim despre ce ar fi vorba, prelungind tema invatarii
cu motivul creatiei.
Invata-l pe sarac sa pescuiasca. Aceasta-i filozofia invatamantului modern care-i un invatamant de masa. Cum sa fii eficient daca nu pastrezi ritmul individual de asimilare?
Invata-l pe student sa invete. Sa respecte si sa se joace in munca…cu cartea. Toata maiestria sta in
capacitatea Profesorului de-a stimula studiul cartilor, in spiritul slujirii Adevarului (care intampina, evident,
rezistenta, agresiune).

Acum cand pipa pacii-mi sta in brad, si-n semineu ard vreascuri trecatoare / Iau un butuc cu noduri dintr-un gard si-l ard in indoiala din intrebarea: oare ?
Am avut experimentul cu seria de acum doi ani si pe parcursul unui an, studentii au avut de facut un inel cu cuvinte cheie din 5 pagini ale unei carti la care lucrasem un an. Am avut surpriza sa intalnesc cazuri in care numele proprii nu erau scrise corect. Cu alte cuvinte, nici 5 pagini nu au putut fi parcurse. Anul urmator am daruit studentilor cartea si le-am sugerat sa invete, citind aceasta carte, sa vada in matematica altceva decat ceea ce i-a inhibat pana acum. Sa vada-n matematica BUCURIA de-a stapani obiecte abstracte pe care sa le relationeze precum o facea Brancusi cu statuile sale, in atelier. Pentru ca era de Craciun le-am numit darul meu ,,un glob albastru de Craciun”.

Iti dau un glob albastru de Craciun sa ai in el nemarginirea lumii, sa ai in ce sa tii tot Timpul Bun si gandul cel rotund sub cornul lunii…
* Evident ca incercarile mele de a-i atrage, pe studenti in educatia matematica a provocat si multe legende si multe confuzii.
Eu iau in calcul reperele eficientei metodei, calitatea: Participarea masiva la ore si disponibilitatea – receptivitatea – angajarea studentilor in efortul de cucerire, de invingerea inertiilor. Rezultatele la sesiunile de comunicari si concursurile studentesti. Structurarea pe prietenie si grupe de interes.
Cum unora le place jazz-ul demersul meu a devenit un joc serios in care a intrat cine-a vrut, cat a vrut. Ca-n Jazz, pe parcursul piesei apareau tot felul
de teme.
Poate daca nu cunosteam povestea lui Harry cu cei doi tineri blatisti, baiat si fata, care mergeau sa salveze Vama Veche nu-mi dadeam seama ca povestea mea cu Plaja cu suflet semana cu piesa lui.
Temele:
Tarmul, Plaja, Digul, Muntele, Stradela Vantului au primit, in timp, conotatii
armonice, cu legaturi inter-culturale dintre cele mai benefice. Evident
ca-n viata exista tot felul de muzici. Nu putem acoperi toate gusturile
fara a face concesii. Si concesiile strica… In Ecoul Tacerii, la strigatul de
pe Dig, o dunga albastra, intre…

As mai fuma din pipa fericirii si as semana tutunul cel mai bun, dar focul meu ce arde fara fum, ma tine in Atunci, golindu - ma-n Acum. Si cand ferice m-ai vedea zambind , a multumire si a impacare / As umple pipa cu taceri amare / si puntea peste gol as arunca – o - n mare./ Asa cat sa punctez ca toate-s trecatoare./
Oare ?….
Si valul se izbi de dig luand cu el in larg o clipa-n care strig unde esti Pipirig ?
Pietrele, scoicile, turnul de scoici si lumea artei ca imagine a lumii matematice. In cele ce urmeaza las o fereastra deschisa spre un interviu cu pictorul Stefan Caltia, unul din cei mai de seama pictori din Scoala lui Corneliu Baba. Interviul ilustreaza tehnicile si mijloacele artistului in elaborarea discursului vizual. Fac aceasta trimitere intrucat predarea matematicii este o poveste cu simboluri abstracte care pentru a fi mai usor de asimilat le asociez cu elemente metaforice – vizualizante.
Este vorba, prin urmare, de ceea ce numeam impreuna, intr-o intalnire anterioara, naratiune vizuala. Da. Asta inteleg eu prin a fi ,, povestitor ”.
Daca cineva descopera si niste povesti literare in spatele lucrului meu, e povestea lui si e bine ca o face, dar nu acest aspect ma intereseaza pe mine.
Sa ne apropiem de o tema importanta in opera dumneavoastra. Lumea ,, reala ” este una a aparentelor? Suntem cu totii niste actori care joaca roluri in piesa Dramaturgului?
Carnavelescul, continator de ironie, trimite la un sens moralizator?
Intai a aparut in imaginistica mea carnavalescul. La inceput lucrurile nu erau foarte clare, dar ma provocau momentele grele si apasatoare prin care treceam in deceniile dinaintea lui 1990.
Animalele pe care le pictam erau in jurul nostru si in mine, eram noi. Totusi, unele din ele se curatau, ieseau la suprafata cu o gluma, cu o stare ironica. In lumea aceea inchisa, descopereai ca pe o eliberare frumosul din natura.
…asemuiam lumea de atunci cu un carnaval, cu un circ. ma apropiasem in copilarie de lumea circului ca de un univers extraordinar. Circul este locul unde vezi lumea noastra cel mai bine, pentru ca sesizezi trecerea din culise la cortina…
Insa lumea ca teatru inseamna si altceva decat domeniul carnavelescului. Da. Prima lucrare pe care am facut-o sub semnul lumii ca teatru am realizat-o plecand de la ideea ,, noi suntem actori ai acestei lumi ”, cu prilejul unei comemorari a lui Eminescu. Toata compozitia e pictata de fapt pe o ,, cortina ” de sub ea iese un personaj, un arlechin, pe un plan se afla alte doua personaje mi-am imaginat ca poate noi, privitorii, suntem in scena, si cei de acolo, arlechinul care scoate capul, de pilda, se uita la noi cum ne jucam, viata pe acest pamant.
Cum stam cu simbolurile, cu eventualele coduri? Sunt ele elastice? Exista repere care raman aceleasi de la o panza la alta? Abordez simbolurile la modul ludic. Cand am spus: ,,Am dat drumul la bila m-am gandit la Sfera lui Riemann care prinde-n ea tot planul complex. Dar pentru a simti povestea aceasta e nevoie de timp, de fantezie si de inteligent
In antichitate, in Evul Mediu, mesajul simbolurilor era limpede.
Astazi… simbolurile sunt ca niste pietre care s-au rostogolit prin apa vremii, si-au tocit colturile si acum trimit altfel lumina; stand una langa alta, nu se mai asambleaza perfect…
Pentru lumea moderna, vad in respectiva situatie si un avantaj: aceste ,,pietre’’, simboluri care fac loc unor comentarii mentale, unor stari diferite. De pilda, batul/ sceptrul/ nuiaua: este vorba de un element, semn, care poate fi sceptrul, nuia fermecata, cu el desparti apele, poate reprezenta semnul autoritatii dar il poti totodata pune pe cromatic, ele creand un ritm majestuos si primind replica unor zone mai mici in care se concentreaza mai multe evenimente optice. In alta ordine de idei, translatia in fantastic devine, in opinia mea, mai putin ,,zgomotoasa’’; se propune un mod discret de apropiere de metafizic, de mister.
Ai folosit cuvantul ,,mister” si termenul imi place. Cand vorbesc despre mister, parca ma simt in mediul meu… Pe de o parte e misterul, pe de alta este mestesugul, cu toate ale lui… Am acum 60 si ceva de ani si incet-incet lucrurile se limpezesc. Nu mai aduc in lucrare tot ce stiu, incerc sa aduc numai ce am nevoie. Legat de evolutia cromatica, sunt chestiuni care si se spun in scoala, dar pe care le descoperi cu adevarat numai prin contactul direct cu muzeele.
Daca lasam deoparte figurativul si toate celelalte, vom vedea ca acele exemple pe care le numim capodopere au o mare limpezime a imaginii.
Limpezimea imaginii vine-n lumina timpului bun. Imi vine-n note o plimbare pe Lacul Mamaia. Se intampla-n ziua aceea doua lucruri… Plonjasem incins dupa mingea cazuta in apa…
Ca emotiile sa fie complete, cand ne apropiam de debarcader, dinspre Mamaia se pornise furtuna. Un nor alb de praf… Bine zice Pictorul: Mestesugul, cu toate ale lui… Asa cum el are evolutia cromatica, eu am evolutia nuantelor de interpretare.
Sah cu Hazardul se ordonase-n constante fractalice. Sa-mi inteleaga jocul…


Tabla 3
Fiecare problema se rezolva astfel Listing din “Apollo”
PlajaSubiecteTrident I,II,III.
|
Numele obiectului matematic |
Cheia teoretica Rezumat |
Solutia problemei cu teorie, calcule |
|||
|
Exemple |
Ecuatii cu derivate partiale de ordinul II |
Hiperbole Parabole Elipse |
|
||
|
Transformata Fourier |
|||||
|
Transformata Laplace |
|||||
Tabla 4
Simbolurile
In calitate de componente majore ale culturii organizationale simbolurile ofera semnificatii sau intelesuri comune componentilor sai asupra unor elemente organizationale de interes de grup, permitandu-le sa comunice si sa se
armonizeze.
Simbolul
cultural consta intr-un obiect, un eveniment sau o formula ce serveste
drept “ vehicul” pentru a transmite un mesaj cu anumita semnificatie in
cadrul organizatiei respective.
Prin simboluri culturale se transmit sensuri ce releva filozofia si valorile, idealurile, credintele sau asteptarile partajate de salariatii organizatiei. Spre exemplu, un simbol poate fi insasi denumirea .

Anexa Tabla 4 pentru echipaj
[email protected] Fereastra cu scrisori
Adresa pe strada fara capete
http://apollo.imc.ro

Termen ideal:

Calitatea numarul 1 pentru cel ce invata curiozitatea
Puterea de a se bucura la nou (puterea de a ne mira).
(P2): sah cu hazardul = zarul = cub
rotunjit =

“Am dat drumul la ( bila)” (Pentru amanunte apelati lista”)
|
Obiectul 2 = “slot” = spatii liniare ordonate topologice Turnul de abanos Magicianul Jocul cu margele de sticla. |
Obiect abstract care vazut cu lupa = o lume matematica ” |
Tabla 5
Un obiect matematic = o scara
Dati-mi un loc de scara si un punct de sprijin
Relatia 3
Intre
si
o dunga albastra.
real
poietice
Intre
![]()
si
ZERO (Cioran) „
Matematica
Ex.1: in apollo pana dam de matematica si confirmam sosirea printr-un semnal electronic. Pentru inceput , in echipaje de cate 3, spre mijlocul experimentului echipaje de 5-7, iar spre final a se contura rolul de echipaj.
Obiecte matematice actuale = pietre zgomotoase, scoici sparte si taioase, spre final speram pietre blande, netede si scoici placute la privit si pipait.
De sesizat spre ce inclin ca persoana spre semanator (lucrator de pamant – Gheorghe) sau culegator (Dumitru).
Citadella – cartea prieteniei.
Tabla 6
Pagina explicativa
Exista doua nivele de abordare a temei ecuatii cu derivate partiale (tema care la randul ei se despica in doua, ecuatii de ordinul I, celalalt brat de ordinul II).
In acelasi timp fiecare nivel il putem privi ca o cursa de initiere (sau mai simplu ca o scara cu trepte) in care rolul treptelor il joaca notiunile (care sunt abstractii – ca niste scoici inchise) si pe care le stapanim prin proprietatile lor.
Cele doua nivele sunt
Nivelul stiintific cu limbaj exact univoc si fara confuzii, discret, rational cu elemente numarabile
Nivelul poetic in care notiunile sunt metafore cu mai multe semnificatii care sunt precum sunetele unei corzi intinse intre doua repere rationale, cauza sunetului fiind atat cele doua puncte de sprijin = cauza sunetului, a trei-a atingere.
Cuvintele cheie, sunt treptele care ne duc de la nivelul la care suntem pusi la incercare (orice problema matematica e intalnirea cu e o problema de initiere in domeniu, cunoastere, incredere in mine, de asumare ………..
O proba de traversare a unui desert.
A nu raspunde unei astfel de provocari presupune carente in primul rand afective si apoi de educatie.
In ambele ramuri intervine cuvantul caracteristicilor, in una avem ecuatii in alta sistem.
Ce vedem, ce recunoastem?
Ce facem, cu ce recunoastem?
Ii patrundem taina (nu prin obiecte magice, ci prin consum de timp pe scara cuvintelor cheie, familiarizarea cu notiunile). Ca tehnica de lucru rezolvarea unei probleme
in ritm foarte lent cu constientizarea etapelor (identificarea notiunilor care apar in etapa respective).
eluarea rezolvarii cu un alt ritm.
Nivelul la care trebuie sa ajungem este ca exercitiul sa iasa fara impiedicari.
A rezolva ecuatii diferentiale (sa se afle solutia generala a ecuatiei diferentiale) pentru a rezolva ecuatia diferentiala. Folosim termenul (un abuz de limbaj) sa se integreze ecuatiile diferentiale. Abuzul are sustinere pentru a ajunge la solutie, ajungand cel putin odata sa calculam o integrala.
Etapele de integrare au la baza ecuatie sau a sistemul caracteristicilor.
Ecuatia caracteristicilor apar doua portite cu erori posibile in faza 1.
Tabla 7
Acrostih

Semnul adoratiei Magilor
“ DAR „ ![]()
Tabla 8
Joc secund de integrare
1. Titlu stiintific
Titlu Ecuatii diferentiale ordinare. Ecuatii integrala.
Poetic Ecuatii cu derivate partiale (de ordinul I, de ordinul II.)
Peninsula
Cuvinte cheie. Tipul ecuatiei, solutie generala, solutie particulara, forma canonica.
Integrarea ecuatiei
aflarea solutiei
generale
performanta
limbaj stiintific
Pagina explicativa (P) ![]()

Maxima: nimic nu-i durabil fara sacrificiu ( I.M. Popovici)
Tema: Breviar cu ecuatii derivate partial.
“ Cea mai inalta forma de cultura e suprimarea contradictiilor “.
Tabla 9
A rezolva o ecuatie diferentiala (a-i afla solutia generala) este o cerinta care o exprimam prin expresia “ sa se integreze ecuatia diferentiala ” in general cine nu are exercitiu se tradeaza punand pe langa ecuatie semnul integralei.
Tabla 10
Incheierea o face lista promisa in trimiterea metaforica: “ Am dat drumul la bila “. Lucrurile se prelungesc cu T : 11 si cu 5 bilete de baza care fac acoperirea materiei.
Sinteza ? Esenta . (Pentru detalii, apelati lista !” ).
Lista: alina _ ruxandra @yahoo.com, [email protected], originall20 @yahoo.com, [email protected], [email protected], [email protected], [email protected]
BILETE pentru EXAMEN
Biletul 1
Subiectul 1
a) Calculati cu formula sau teorema lui Cauchy:

b) Cu teorema reziduurilor, sa se calculeze

c) Calculati reziduurile functiei relative la singularitatile sale:
![]()
Subiectul 2
a) Reprezentati printr-o integrala Fourier functia neperiodica:

b) Folosind transformata Laplace, calculati

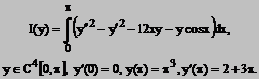
c) Sa se determine extremalele functionalei

Subiectul 3
a) Sa se integreze:
![]()
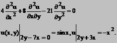
b) Determinati forma canonica si integrati ecuatia
![]()
![]()
c) Sa se determine suprafata de camp a vectorilor:
![]()
care trece prin cercul
de ecuatii ![]()
Biletul 2
Subiectul 1
a) Calculati cu formula sau teorema lui Cauchy

pentru R diferit de 2.
b) Utilizand teorema reziduurilor, calculati integrala

c) Calculati reziduurile functiei, relativ la singularitatile sale:
![]()
Subiectul 2
a) Reprezentati printr-o integrala Fourier functia

b) Sa se arate ca

utilizand transformata Laplace.
c) Sa se determine extremalele functionalei

Subiectul 3
a) Sa se integreze urmatoarea ecuatie
![]()
b) Determinati forma canonica si integrati ecuatia

c) Sa se determine suprafata de camp a vectorului
![]()
care trece prin hiperbola de
ecuatii z = 1, ![]()
Biletul 3
Subiectul 1
a) Calculati cu formula sau teorema lui Cauchy
![]()
b) Folosind teorema reziduurilor, sa se calculeze:

c) Calculati reziduurile functiei, relativ la singuratatile sale
![]()
Subiectul 2
a) Reprezentati printr-o integrala Fourier functia neperiodica

b) Calculati, cu ajutorul transformatei Laplace:

c) Sa se determine extremalele functionalei

![]()
Subiectul 3
a) Sa se integreze urmatoarea ecuatie diferentiala
![]()
b) Determinati forma canonica si integrati ecuatia:

c) Sa se determine suprafata de camp a vectorilor
![]()
care trece prin curba
de ecuatii z = 1, ![]()
Biletul 4
Subiectul 1
a) Calculati cu formula sau teorema lui Cauchy
![]()
unde ![]()
b) Utilizand teorema reziduurilor, calculati integrala:

c) Calculati reziduurile functiei

relative la singularitatile sale.
Subiectul 2
a) Rezolvati ecuatia integrala

unde ![]()
b) Folosind transformata Laplace, calculati:

c) Sa se determine extremalele functionalei

![]()
Subiectul 3
a) Sa se integreze urmatoarea ecuatie diferentiala
![]()
b) Determinati forma canonica si integrati ecuatia:

c) Sa se determine suprafata de camp a vectorilor
![]()
care trece prin cercul
de ecuatii z = 0, ![]()
Biletul 5
Subiectul 1
a) Calculati cu formula sau teorema lui Cauchy

unde ![]()
b) Utilizand teorema reziduurilor, calculati integrala:

c) Calculati reziduurile functiei
![]()
relative la singularitatile sale.
Subiectul 2
a) Rezolvati ecuatia integrala

b) Folosind transformata Laplace, calculati:

unde a > 0, b > 0.
c) Sa se determine extremalele functionalei

![]()
Subiectul 3
a) Sa se integreze urmatoarea ecuatie diferentiala
![]()
b) Determinati forma canonica :
![]()
c) Sa se determine functia
, astfel incat
![]()
sa verifice ecuatia ![]()
Biletul 6
Subiectul 1
a) Calculati cu formula sau teorema lui Cauchy:

b) Cu teorema reziduurilor, sa se calculeze

c) Calculati reziduurile functiei relative la singularitatile sale:
![]()
Subiectul 2
a) Reprezentati printr-o integrala Fourier functia

b) Sa se arate ca

utilizand transformata Laplace.
c) Sa se determine extremalele functionalei

Subiectul 3
a) Sa se integreze urmatoarea ecuatie diferentiala
![]()
b) Determinati forma canonica si integrati ecuatia:

c) Sa se determine suprafata de camp a vectorilor
![]()
care trece prin curba
de ecuatii z = 1, ![]()
Biletul 7
Subiectul 1
a) Calculati cu formula sau teorema lui Cauchy

pentru R diferit de 2.
b) Utilizand teorema reziduurilor, calculati integrala

c) Calculati reziduurile functiei, relativ la singularitatile sale:
![]()
Subiectul 2
a) Reprezentati printr-o integrala Fourier functia neperiodica

b) Calculati, cu ajutorul transformatei Laplace:

c) Sa se determine extremalele functionalei

![]()
Subiectul 3
a) Sa se integreze urmatoarea ecuatie diferentiala
![]()
b) Determinati forma canonica si integrati ecuatia:

c) Sa se determine suprafata de camp a vectorilor
![]()
care trece prin cercul
de ecuatii z = 0, ![]()
Biletul 8
Subiectul 1
a) Calculati cu formula sau teorema lui Cauchy
![]()
b) Folosind teorema reziduurilor, sa se calculeze:

c) Calculati reziduurile functiei, relativ la singuratatile sale
![]()
Subiectul 2
a) Rezolvati ecuatia integrala

unde ![]()
b) Folosind transformata Laplace, calculati:

c) Sa se determine extremalele functionalei

![]()
Subiectul 3
a) Sa se integreze urmatoarea ecuatie diferentiala
![]()
b) Determinati forma canonica :
![]()
c) Sa se determine functia
, astfel incat
![]()
sa verifice ecuatia ![]()
Biletul 9
Subiectul 1
a) Calculati cu formula sau teorema lui Cauchy
![]()
unde ![]()
b) Utilizand teorema reziduurilor, calculati integrala:

c) Calculati reziduurile functiei

relative la singularitatile sale.
Subiectul 2
a) Rezolvati ecuatia integrala

b) Folosind transformata Laplace, calculati:

unde a > 0, b > 0.
c) Sa se determine extremalele functionalei

![]()
Subiectul 3
a) Sa se integreze urmatoarea ecuatie diferentiala
![]()
b) Determinati forma canonica si integrati ecuatia:

c) Sa se determine suprafata de camp a vectorilor
![]()
care trece prin curba
de ecuatii z = 1, ![]()
Biletul 10
Subiectul 1
a) Calculati cu formula sau teorema lui Cauchy

unde ![]()
b) Utilizand teorema reziduurilor, calculati integrala:

c) Calculati reziduurile functiei
![]()
relative la singularitatile sale.
Subiectul 2
a) Reprezentati printr-o integrala Fourier functia

b) Sa se arate ca

utilizand transformata Laplace.
c) Sa se determine extremalele functionalei

Subiectul 3
a) Sa se integreze urmatoarea ecuatie diferentiala
![]()
b) Determinati forma canonica si integrati ecuatia:

c) Sa se determine suprafata de camp a vectorilor
![]()
care trece prin cercul
de ecuatii z = 0, ![]()
Biletul 11
Subiectul 1
a) Calculati cu formula sau teorema lui Cauchy:

b) Cu teorema reziduurilor, sa se calculeze

c) Calculati reziduurile functiei relative la singularitatile sale:
![]()
Subiectul 2
a) Reprezentati printr-o integrala Fourier functia neperiodica

b) Calculati, cu ajutorul transformatei Laplace:

c) Sa se determine extremalele functionalei

![]()
Subiectul 3
a) Sa se integreze urmatoarea ecuatie diferentiala
![]()
b) Determinati forma canonica :
![]()
c) Sa se determine functia
, astfel incat
![]()
sa verifice ecuatia ![]()
Biletul 12
Subiectul 1
a) Calculati cu formula sau teorema lui Cauchy

pentru R diferit de 2.
b) Utilizand teorema reziduurilor, calculati integrala

c) Calculati reziduurile functiei, relativ la singularitatile sale:
![]()
Subiectul 2
a) Rezolvati ecuatia integrala

unde ![]()
b) Folosind transformata Laplace, calculati:

c) Sa se determine extremalele functionalei

![]()
Subiectul 3
a) Sa se integreze urmatoarea ecuatie diferentiala
![]()
b) Determinati forma canonica si integrati ecuatia:

c) Sa se determine suprafata de camp a vectorilor
![]()
care trece prin curba
de ecuatii z = 1, ![]()
Biletul 13
Subiectul 1
a) Calculati cu formula sau teorema lui Cauchy
![]()
b) Folosind teorema reziduurilor, sa se calculeze:

c) Calculati reziduurile functiei, relativ la singuratatile sale
![]()
Subiectul 2
a) Rezolvati ecuatia integrala

b) Folosind transformata Laplace, calculati:

unde a > 0, b > 0.
c) Sa se determine extremalele functionalei

![]()
Subiectul 3
a) Sa se integreze urmatoarea ecuatie diferentiala
![]()
b) Determinati forma canonica si integrati ecuatia:

c) Sa se determine suprafata de camp a vectorilor
![]()
care trece prin cercul
de ecuatii z = 0, ![]()
Biletul 14
Subiectul 1
a) Calculati cu formula sau teorema lui Cauchy
![]()
unde ![]()
b) Utilizand teorema reziduurilor, calculati integrala:

c) Calculati reziduurile functiei

relative la singularitatile sale.
Subiectul 2
a) Reprezentati printr-o integrala Fourier functia

b) Sa se arate ca

utilizand transformata Laplace.
c) Sa se determine extremalele functionalei

Subiectul 3
a) Sa se integreze urmatoarea ecuatie diferentiala
![]()
b) Determinati forma canonica :
![]()
c) Sa se determine functia
, astfel incat
![]()
sa verifice ecuatia ![]()
Biletul 15
Subiectul 1
a) Calculati cu formula sau teorema lui Cauchy

unde ![]()
b) Utilizand teorema reziduurilor, calculati integrala:

c) Calculati reziduurile functiei
![]()
relative la singularitatile sale.
Subiectul 2
a) Reprezentati printr-o integrala Fourier functia neperiodica

b) Calculati, cu ajutorul transformatei Laplace:

c) Sa se determine extremalele functionalei

![]()
Subiectul 3
a) Sa se integreze urmatoarea ecuatie diferentiala
![]()
b) Determinati forma canonica :
![]()
c) Sa se determine functia
, astfel incat
![]()
sa verifice ecuatia ![]()
|