METODE NUMERICE
SOLUTII IN DIFERENTE FINITE
Multe probleme ale Teoriei elasticitatii conduc in formulare la ecuatii cu derivate partiale sau sisteme de astfel de ecuatii, a caror integrala generala nu poate fi obtinuta pe o cale analitica. Un astfel de exemplu, il constituie problema plana,probleme tratata in extenso in [ ].
In locul exprimarii analitice a solutiilor, pentru scopurile practice ale inginerului, este suficient daca se pot determina valorile numerice ale marimilor ce caracterizeaza solicitarea intr-un numar de puncte ale domeniului studiat si ale limitei lui. Daca printr-un procedeu de calcul se precizeaza aceste valori in limitele unor erori acceptabile, aceste pot suplini solutia analitica a problemei studiate.
Metoda diferentelor finite reprezinta un astfel de instrument. Ea consta principial, in inlocuirea ecuatiilor diferentiale ordinare sau cu derivate partiale exacte prin sisteme de ecuatii algebrice, a caror rezolvare furnizeaza valorile cautate din punctele unei retele, numite noduri. In scopul trecerii de la ecuatia diferentiala la sistemul de ecuatii elgebrice se utilizeaza formule aproximative ale derivatelor, exprimate prin diferente.
Operatori de derivare prin diferente finite
ai functilor de o singura variabila
Formulele
de aproximare a derivatelor pot fi obtinute fie folosind parabole de
interpolare, fie prin dezvoltari de serie
Se considera
functia continua cu o singura variabila
,
pentru care se cauta relatii de aproximare a derivatelor in punctul de abscisa
(fig.2.4.1).
|
Fig. 2.4.1 |
Se
presupune ca s-a ales pe
o retea echidistanta cu pasul
si ca valorile functiei in punctul 0 si
punctele vecine 1 si -1 sunt respectiv
Din dezvoltarea in serie
se retin doar termenii pana la
derivata de ordinul doi. Cu ajutorul acestei dezvoltari, valorile
si
ale functie se scriu astfel:
.
Notand
inca
si
,
din dezvoltarea sistemului de ecuatii in
raport cu
si
se obtin:
(2.4.1.1)
adica relatiile de aproximare a primelor doua derivate.
Pentru obtinerea formulelor pentru derivate de ordin superior, se poate, fie sa se utilizeze un numar mai mare de termeni din dezvoltarea in serie, de exemplu pana la derivata de ordin patru, fie sa se aplice succesiv operatorii de derivare prin diferente stabiliti anterior. Prima cale conduce la aproximari mai bune, dar scrierea ecuatiilor si impunerea c 525e46f onditiilor de margini, in probleme aplicative, este mai complicata. Folosind cea de a doua cale, se obtin pentru derivatele de ordin trei si patru relatiile:
care, dupa efectuarea calculelor si ordonarea termenilor, devin:
(2.4.1.2)
Operatorii de derivare prin diferente pot fi reprezentati prin "molecule" de operare. Pentru relatiile (2.4.1.1)(2.4.1.2), aceste molecule de calcul sunt redate in figura 2.4.2.

Fig. 2.4.2
Punctul in care se calculeaza derivata este reprezentat prin patrat sau dreptunghi, iar celelalte puncte prin cercuri sau elipse. In aceste locasuri sunt inscrisi coeficientii care inmultesc valorile functiei din punctul respectiv, in expresia operatorului.
Vom exemplifica pe o problema limita simpla.
Schematic, algoritmul utilizat in probleme cu mai multe dimensiuni contine aceleasi etape, adica:
transcrierea ecuatiilor cu derivate partiale in diferente finite;
impunerea conditiilor de contur;
rezolvarea sistemului de ecuatii algebric obtinut;
calculul valorilor in puncte ale marimilor care intereseaza in solutionare.
Fie grinda
dublu incastrata din figura 2.4.3, cu
constant si incarcata cu forta
cu variatie arbitrara.
|
Fig.2.4.3 |
Pentru determinarea axei deformate si a
diagramelor de eforturi prin metoda diferentelor finite se porneste de la
ecuatia diferentiala de ordinul patru a axei deformate*(fata de notatia w din Rezistenta Materialelor se noteaza
cu v corespunzator axei y):
Se imparte
domeniul
al grinzii in
intervale egale de lungime
si se scrie apoi ecuatia in diferente finite,
in cele
-1
puncte din interiorul domeniului unde valorile deplasarii
sunt necunoscute. Ecuatia corespunzatoare
punctului
se scrie, tinand seama de expresia
operatorului
(fig.2.4.2),
astfel:
unde
reprezinta valaorea incarcarii in dreptul
sectiunii i, adica
.
Ecuatiile scrise pentru
alcatuiesc un sistem de
ecuatii. Se observa ca la scrierea ecuatiei in
punctul 1 intervin si deplasarile punctelor 0 si -1
,
respectiv pentru punctul 2, deplasarea
;
prin urmare, cum la fiecare capat de bara apar doua necunoscute in plus,
sistemul obtinut contine
necunoscute.
Impunand conditiile limita se obtin patru ecuatii suplimentare, cate doua
pentru fiecare capat, care se exprima in diferente finite; de exemplu, pentru
incastrarea din punctul 0, conditiile
si
in diferente finite se scriu astfel:
si
.
Se
obtine un sistem de
ecuatii cu tot atatea necunoscute, a carui
rezolvare da valorile
cautate.
Momentele
incovoietoare si fortele taietoare se determina apoi pornind de la relatiile
dintre aceste eforturi si sageata
,
care se transcriu in diferente finite:
2.4.2.Operatori de derivare partiala in probleme cu doua dimensiuni
|
Fig.2.4.4 |
Operatorii
necesari in problemele bidimensionale se obtin pornind de la expresiile
(2.4.1.1)(2.4.1.2), ale derivatelor dupa
o directie. Fie reteau din figura 2.4.4, ortogonala si echidistanta pe fiecare
din axe, avand pasul
pe axa
si
pe axa
.
Valorile
functiei
din punctele retelei le vom atribui doi
indici: primul corespunzator numerotarii pe
,
al doilea pe
.
Derivatele
partiale intr+o singura variabila
pastreaza structura din moleculele
reprezentate in figura 22.25, in care
se inlocuieste cu
.
Pentru derivatele in
,
moleculele se transcriu pe verticala si se inlocuieste
cu
.
De exemplu "molecula" corespunzatoare derivatei partiale
este:
Pentru
operatorii de derivare micsti, se aplica succesiv operatorii unidimensionali;
sa exemplificam acest lucru prin stabilirea operatorului
.
Derivata
partiala in raport cu
,
in punctul (0,0) este:
|
Fig.2.4.5 |
In figura 2.4.5 se deduc expresiile pentru alti operatori; moleculele de calcul ale celor care intervin mai des la problemele de Teoria elasticitatii .
2.4.3.Aplicarea metodei diferentelor finite in
problema plana a teoriei elasticitatii
Urmarind rezolvarea in tensiuni a problemei plane, pentru cunoasterea starii de solicitare intr-o saiba incarcata doar cu forte de contur, este necesar sa se determine o functie de tensiune F(x,z)care satisface ecuatia biarmonica:
si
conditiile de margine. Pe baza interpretarii mecanice a functie
pe contur, cunoscand incarcarile se pot
stabili cu usurinta valorile functiei si derivatele ei dupa normala exterioara
in punctele de pe pe limita domeniului. In acest fel, problema impunerii
conditiilor de margini se simplifica considerabil.
Sa
presupunem ca trebuie determinata starea de tensiune pe saiba dreptunghiulara
de dimensiuni
,
reprezentata in figura 2.4.6,a.
In acest
scop,se imparte domeniul in
intervale
egale pe axa
si
intervale egale pe
,
cu pasul
.
Cunosctand incarcarile, se realizeaza o sectiune arbitrara in bara fictiva ce
urmareste conturul si se traseaza diagramele de moment incovoietor si forta
axiala. Se stie ca intr-u punct de pe contur, valoarea functiei de tensiune
este egala cu aceea a momentului incovoietor,
iar a derivatei ei dupa normala exterioara cu forta axiala.Se scrie ecuatia
biarmonica in diferente finite in punctele unde valoarea functiei
este necunoscuta, adica in toate nodurile
interioare ale retelei.
|
Fig.2.4.6 |
Cu moleculele de calcul stabilite in paragrafele anterioare pentru ecuatia biarmonica rezulta molecula din figura 2.4.7, obtinuta prin sumarea operatorilor de derivare partiala conform relatiei, adica:
Operatorul
,
;
;factor![]()
Fig.2.4.7a
In
"molecula" din figura 2.4.7 s-a notat cu
,
raportul dintre dimensiunile pasilor retelei pe cele doua directii.
Operatorul
,
;factor
:![]()
Fig.2.4.7 b
In ecuatiile scrise pentru nodurile de langa margini (de exemplu, 1,1; 1,n; M-1,n) intervin atat valori ale funciei din noduri situate in interiorul domeniului, cat si din punctele de pe limita domeniului si punctele exterioare, vecine conturului.Deci, sistemul contine mai multe necunoscute, decat numarul ecuatiilor scrise in punctele interioare.
In fiecare
punct de contur pot fi inscrise insa inca doua ecuatii, rezultate din
conditiile limita. Astfel, notand cu
si
valoarea functiei si a derivatei dupa normala
exterioara, in punctul
conditia in
este imediata, iar din conditia in
se obtine:
.
Se obtin astfel ecuatiile suplimentare necesare. Data fiin d forma simpla a ecuatiilor rezultate din conditiile de contur, este indicat a se tine seama de ele direct, cand se scrie sistemul de ecuatii, ceea ce este echivalen cu eliminarea din sistem anecunoscutelor suplimentare. In acest fel, sistemul rezulta cu un numar de necunoscute mai redus.
Dupa rezolvarea sistemului de ecuatii si cunoasterea valorii functiei in nodurile de retelei, tensiunile se calculeaza cu relatiile (1.9.7) transcrise in diferente finite cu ajutorul operatorilor de derivare stabiliti.
2.4.4.Folosirea simetriei pentru reducerea numarului de necunoscute
Precizia obtinuta prin metoda diferentelor finite creste cu cat reteaua este mai densa. Sporirea densitatii retelei atrage insa dupa sine neajunsul ca introduce un numar de necunoscute mai mare. In scopul reducerii numarului de necunoscute este indicat sa se tina seama de simetria sau antisimetrie problemei ce urmeaza a fi rezolvata. Cand saiba si incarcarile prezinta simetrie (antisimetrie) in raport cu o axa, starea de solicitare si, in particular, functia de tensiune F este la randul ei simetrica (antisimetrica). Pentru a putea folosi proprietatile de simetrie semnalate, este necesar ca pozitia taieturii in bara fictiva sa fie astfel aleasa incat proprietatiile de simetrie sa se conserve si in diagramele M si N trasate pe bara fictiva.
De exemplu,
saiba din figura 2.4.8, a prezinta simetrie
atat pe axa y, cat si pe axa x, deci este suficient sa se cunoasca
doar valorile functiei de pe un sfert din domeniu. Alegand pozitia taieturii ca
in figura 2.4.8, b, se observa ca in
diagrama M, si in consecinta si in
functie de tensiune F pe domeniu, se mentine doar simetria pe axa x. In schimb, cu pozitia taieturi ca in
figura 2.4.8, c, rezulta o diagrama M simetrica pe ambele axe si deci (fig. 2.4.8,
a)
.
Aceleasi concluzii se desprind si cu privire la diagrama
.



a. b c
Fig.2.4.8


Pentru o saiba dreptunghiulara cu incarcari simetrice, atat pe laturile
paralele cu x, cat si pe acelea
paralele cu y (fig.2.4.9, a), functia de tensiune este de
asemenea, simetrica pe ambele axe. Se observa insa ca, in orice sectiune a
conturului s-ar face taietura, diagrama M
din incarcarile q si P rezulta cel mult simetrica pe una din
axe. Se poate face uz de urmatorul artificiu. Se presupune ca saiba este
incarcata, mai intai, doar cu forta q pentru
care, cu taietura pe axa y , se
obtine o diagrama M simetrica pe
ambele axe (fig. 2.4.9, b).
Presupunem apoi doar incarcarea P, cu
taietura pe axa x se obtine tot o
diagrama simetrica pe ambele axe (fig. 2.4.9, c). Cum starea de tensiune din incarcarile q si P actionand simultan
se poate obtine prin suprapunere de efecte, aceeasi regula se aplica si functia
pe contur. Insumand diagramele din figura 2.4.9, b si c,
se obtine diagrama F, simetrica pe
ambele axe.
a b c
Fig.2.4.9
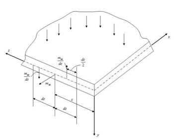
2.4.5.Aplicatii la calculul placilor plane utilizana metoda diferentelor finite.
Principiul acestei metode se bazeaza ca si la problemele plane de elasticitate pe inlocuirea mediului continuu format din materialul elementului prin mediu discontinuu, inmagazinat in punctele unei retele dispuse in planul median al lamelei.
Problema
revine la integrarea ecuatiei fundamentale a placii
prin puncte si la determinarea sagetiilor
in fiecare punct al retelei. Avand sagetiile
in fiecare punct se pot calcula eforturile
rezultate
in fiecare punct al retelei prin intermediul
rapoarteler de diferente finite.
Ca forme de retele se pot utiliza, ca si in cazul problemelor plane: retele dreptunghiulare, retele tringhiulare sau retele polare in functie de forma si de dimensiunile conturului suprafetei mediane.
Cea mai des utilizata este reteaua dreptunghiulara.
Indiferent de forma retelei, problema importanta care se pune este determinarea in diferente finite a expresiei ecuatiei fundamentale a placii.
Transformarea se poate efectua in doua moduri, dupa numarul de puncte pe care se extinde ecuatia fundamentala a placii si anume:
cand ecuatia fundamentala scrisa in diferente finite se extinde pe 13 puncte,
cand ecuatia fundamentala scrisa in diferente finite se extinde pe 5 puncte.
Aceasta depinde de relatia
(2.4.5.1)
care exprima suma momentelor
incovoietoare rezultante impartita la
Daca se cunosc conditiile de margine pentru M, calculul se poate simplifica in asa fel incat ecuatia fundamentala sa se extinda numai pe cinci puncte.
Daca nu se cunosc conditiile de margine pentru M, calculul se efectueaza extinzand ecuatia fundamentala pe 13 puncte.
Astfel, pentru reteaua dreptunghiulara
unde:
Pentru reteaua patrata
(2.4.5.3)
unde
Se prezinta cazul cand ecuatia fundamentala se extinde numai pe cinci puncte, deci cand se cunoaste valoarea relatiei M pe conturul placii,
Expresia M (2.4.5.1) se poate scrie dezvoltat
(2.4.5.4)
(2.4.5.4')
Daca se introduce relatia (2.4.5.4') in ecuatia fundamentala a placii se obtine
sau :
(2.4.5.5)
sau:
(2.4.5.5')
In acest fel, ecuatia fundamentala a placii a fost transformata in 2 ecuatii cu derivate partiale de ordin 2; ecuatia (2.4.5.4') si ecuatia (2.4.5.5).
Daca se
lucreaza simultan cu cele doua ecuatii, calculul este mult mai simplu decat
daca se lucreaza cu ecuatia cu derivate partiale de ordin patru.
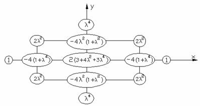
Daca se utilizeaza acelasi principiu de trecere al derivatelor partiale in diferente finite, ca si la problemele plane si reteaua cu notatiile din fig.2.4.10, cele doua ecuatii in care s-a transformat ecuatia fundamentala a placii primesc in diferente finite forma (2.4.5.8) si (2.4.5.9).
Fig.2.4.10
Astfel:
(2.4.5.6)
(2.4.5.7)
Daca se inlocuiesc (2.4.5.6) si (2.4.5.7) in (2.4.5.4) se obtine forma in diferente finite a ecuatiei (2.4.5.4)
(2.4.5.8)
sau
(2.4.5.8')
unde:
Daca reteaua
este patrata
;
si relatia (2.4.5.8) primeste forma (2.4.5.8")
(2.4.5.8")
Relatia (2.4.5.8) reprezinta forma transformata in diferente finite a relatiei (2.4.5.4). Daca in aceasta relatie se cunosc momentele Mk in toate punctele retelei, rezulta sagetile in fiecare din punctele acestei retele.
In mod analog relatiei (2.4.5.4), se poate transforma in diferente finite si relatia (2.4.5.5) si se obtine
(2.4.5.9)
iar pentru reteaua patrata
(2.4.5.9')
Relatiile (2.4.5.8) si (2.4.5.9) reprezinta cele doua componenete ale ecuatie fundamentale a placii transpuse in diferente finite. Prin rezolvarea simultana a acestor doua ecuatii se obtin sagetile in toate punctele retelei.
Rezolvarea incepe cu relatia (2.4.5.9), deoarece incarcarea pk concentrata in toate punctele retelei este o marime cunoscuta. In acest scop, se aplica relatia (2.4.5.9) in toate punctele retelei si rezulta un sistem de ecuatii algebrice din rezolvarea carora se obtin marimile Mk in toate punctele retelei. Aceste marimi se introduc in sistemul de ecuatii obtinut prin aplicarea relatiei ( 8) in toate punctele. Din rezolvarea acestui sistem se obtin necunoscutele problemei: sagetile in toate punctele retelei.
Dupa determinarea sagetilor in toate punctele retelei se pot calcula eforturile rezultante in toate aceste puncte prin transcrierea relatiilor cu derivate partiale in relatii cu diferente finite si inlocuirea in aceste relatii a sagetilor. Momentele incovoietoare se calculeaza cu relatiile
(2.4.5.10)
Momentele de rasucire se calculeaza cu relatia
(2.4.5.12)
sau :
(2.4.5.12')
Fortele taietoare se calculeaza cu relatiile
(2.4.5.13)
(2.4.5.14)
Cunoscand eforturile rezultante calculate cu relatiile (2.4.5.10).( 2.4.5.14) in punctele retelei, se pot calcula tensiunile in aceste puncte cu relatiile (2.4.5.1).( 2.4.5.8).
Observatie: In ecuatiile sistemelor care rezulta prin aplicarea relatiilor in toate punctele retelei intervin si valori M si v in puncte de pe contur si in puncte situate in afara conturului placii. Aceste valori se calculeaza din conditiile la limita.
Aceste conditii sunt diferite, in functie de modul de rezemare al placii.
Pentru reazemul articulat sau simplu rezemat (fig. 2.4.11) pe contur se cunoaste ca atat sagetile, cat si laplasianul sagetilor sunt nule de-a lungul marimii.
(2.4.5.15)
(2.4.5.16)
Din conditia (2.4.5.16) rezulta valoarea sagetilor in punctele situate in afara conturului placii. Astfel, daca se rescrie relatia (2.4.5.16) si daca se inlocuieste in acesta conditia (2.4.5.15) se obtine
(2.4.5.16')
Daca in (2.4.5.16')
se inlocuieste vk = vl
= vi = 0, rezulata valoare sagetii in punctul din afara
conturului :


Fig.2.4.11
Daca se lucreaza cu ecuatia extinsa numai pe 5 puncte, atunci se scrie pe marginea articulata si conditia in M in punctele de pe contur, care sunt nule.
(v.rel.2.4.5.9)
si rezulta conditia :
(2.4.5.18)
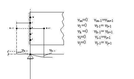
Pentru reazemul incastrat fig.2.4.12 se stie ca atat sageata cat si panta sunt nule.
(2.4.5.19)
(2.4.5.20)
vm=0 vm-1=vm+1 vl =0 vl-1= vl+1 vk =0 vk-1= vk+1 vi=0 vi-1=vi+1 vj=0 vj-1= vj+1


Fig.2.4.12
Daca se transforma conditia a doua sub forma de diferente finite, rezulta valorile sagetilor in punctele din afara conturului (2.4.5.20').
cum
,
si deci conditia
(2.4.5.20')
2.4.6.Aplicatie.Placa articulata pe contur si incarcata cu sarcina uniform distribuita.
Se
considera o retea de forma patrata cu dimensiunile
si
.(v.fig.2.4.13)
Pentru
simplitatea calcului, care are numai caracter principal, se alege o retea
foarte simpla, care din motive de dubla simetrie prezinta numai doua puncte
interioare distincte: 1 si 2.
Fig.2.4.13
Se noteaza si punctele de pe contur si punctele din exteriorul conturului si rezulta reteaua din 12 puncte dintre care 4 in interior, 4 pe contur si 6 in exteriorul placii (fig.2.4.14). Figura prezinta modul de notare a punctelor de pe conturul placii (3,...,6) si a celor din afara conturului placii (7, 8, ..., 12).
Se scrie relatia (2.4.5.9') in cele patru puncte interioare ale retelei placii:
![]()
In punctul 1 se obtine
(2.4.6.1)
In punctul 2
(2.4.6.2)
Fig.2.4.14
In ecuatiile (2.4.6.1) si (2.4.6.2)
intervin, in afara de necunoscutele M
in punctele din interior, si valori M in
punctele de pe contur. Avand in vedere insa conditia
pe reazemul articulat si
in problema data, rezulta
(
Inlocuind (2.4.6.3) in (2.4.6.1) si (2.4.6.2) rezulta sistemul (2.4.6.4)
de doua ecuatii cu doua necunoscute
si
.
(
Din rezolvarea sistemului (2.4.6.4) rezulta valorile necunoscutelor M in cele doua puncte interioare ale retelei.
Cu valorile obtinute se pot calcula sagetiile in cele doua puncte. In acest scop se aplica ecuatia (2.4.5.8') in punctele interioare ale retelei
,
si se obtine sistemul (2.4.6.5)
(
In acest sistem, in afara de
necunoscutele sagetii in punctele interioare ale retelei
si
,
intervin si valorile in punctele de pe conturul placii. Acestea se determina
din conditia de limita (2.4.5.15) scrisa pe marginea articulata, adica
(
Introducand (2.4.6.6) in sistemul (2.4.6.5) rezulta un sistem de doua ecuatii cu doua necunoscute
(
Din rezolvarea sistemului (2.4.6.7) rezulta necunoscutele problemei: sagetiile in toate punctele retelei cu care se pot determina toate eforturile rezultante.
Momentul incovoietor rezultant
se calculeaza aplicand relatia (2.4.5.10) in
cele doua puncte ale retelei
,(
. (
Momentul
se calculeaza apliaand relatia (2.4.5.11) in
cele doua puncte ale retelei
(
(
Momentele de rasucire se calculeaza aplicand relatia (2.4.5.12)
![]()
, (
(
In punctul 2 momentul de rasucire a rezultat egal cu zero (2.4.6.13), deoarece punctul se gaseste in axa de simetrie a placii si se stie ca intotdeauna in axa de simetrie momentul de rasucire este nul.
In afara de valorile in punctele 1 si 2, trebuie calculate momentele de rasucire in puntele de pe conturul placii, deoarece in aceste puncte se obtin valorile maxime
(
Punctul 3 se gaseste in axa de
simetrie, deci valoarea lui
este
nula in acest punct.
,
(
(
(
Forta taietoare
se calculeaza cu relatia (2.4.5.13)
(
(
(
Din (2.4.6.19) si (2.4.6.20) rezulta ca in punctele situate pe axa de simetrie a placii forta taietoare are valoarea zero
(
(
Valoarea lui
in
punctul 12 se calculeaza din conditia (2.4.5.14)

Forta taietoare
se
calculeaza cu relatia (2.4.5.15)
(
(
(
![]()
(
![]()
Cu valorile eforturilor rezultante se pot trasa diagramele de eforturi mx , mz , mxz , tx , tz , calculate cu metoda diferentelor finite pentru placa articulata pe contur, incarcata cu incarcare uniform distribuita pe toata suprafata,trasarea se face in suprafata mediana a placii (fig. 2.4.15).

Fig.2.4.15
Observatii. 1. Este cunoscut faptul ca in lungul
unei margini se pot scrie doua conditii de eforturi. In marginile unei placi
insa se gasesc trei eforturi rezultante: forta taietoare, un moment incovoietor
si un moment de rasucire; de exemplu, pe marginea din directia razei
apare forta taietoare
si
momentul de rasucire
.In
figura. 2.4.16. se arata inlocuirea pe
marginea placii a efectului momentului de rasucire mxz si a fortei
taietoare inlocuitoare tz
:2.4.16a) cele trei eforturi mx , mxz , si tx care apar pe marginea placii; 2.4.16b) cele doua eforturi (mx
si tx ) dupa
inlocuirea lui mxz si tx cu
.
Fig. 2.4.16
Rezulta ca in acest fel nu exista control
asupra celui de-al treilea efort rezultant din reazem. Din acest motiv se
introduce notiunea de efort rezultant inlocuitor. Astfel, pentru marginea in
discutie se introduce notiunea de forta taietoare inlocuitoare
.
Forta
taietoare inlocuitoare insumeaza efectul celor doua eforturi rezultante
provenit din tensiunile tangentiale si anume
si
(fig.
2.4.16 b). Pentru a gasi relatia de
calcul a fortei taietoare inlocuitoare
,
se considera pe marginea respectiva la un nou nivel curent
doua elemente de dimensiuni infinit mici
.
Se reprezinta momentul de rasucire
care se inlocuieste prin intermediul unui
cuplu de doua forte verticale
(fig.2.4.17a).
Inlocuirea
momentului de rasucire
prin inter mediul unui cuplu de doua forte
verticale:
a) momentul de rasucire
din
sectiuna curenta z;
Fig.2.4.17 a)
Inlocuirea
momentului de rasucire
prin inter mediul unui cuplu de doua forte
verticale:
b) momentul
de rasucire
din
sectiunea curenta z impreuna cu cele doua
momente din sectiu nile vecine situate la distanta infinit mica dz
Fig.2.4.17 b)
Daca in lungul marginii de pe
directia
momentul de rasucire se considera ca are o
variatie crescatoare in sensul lui
pozitiv,
atunci in cele doua sectiuni la distanta infinit mica
vor aparea momentele
la stanga
sectiunii
si
la dreapta sectiunii
(fig.2.4.17b).
In mod asemanator si momentele se rasucire
si
se inlocuiesc prin intermediul a cate unui
cuplu.
In acest fel in fiecare sectiune
apar doua forte rezultante dupa directia axei
si orientate in sens invers. Daca se cumuleaza
intr-o sectiune oarecare efectul acestor doua forte cu forta taietoare
rezultanta
se obtine forta taietoare rezultanta
inlocuitoare, astfel :
Se reduc termenii si se obtine:
(2.4.6.27)
In mod identic se poate obtine si
forta taietoare inlocuitoare de-a lungul marginii de pe directia axei
:
(2.4.6.28)
In cazul metodei diferentelor finite, expresiile fortelor taietoare inlocuitoare (2.4.6.27) si (2.4.6.28) devin
(2.4.6.29)
Daca in relatia (2.4.6.29) se tine
cont de faptul ca punctele k in care
se calculeaza forta taietoare inlocuitoare se gasesc intotdeauna pe conturul
placii, ceea ce inseamna:
expresia
fortei taietoare inlocuitoare
devine:
(2.4.6.30)
In mod similar se determina expresia
(2.4.6.31) in diferente finite a fortei taietoare inlocuitoare ![]()
(2.4.6.31)
Aplicand relatiile (2.4.6.30), respectiv (2.4.6.31) in fiecare punct de control de pe contur se obtin fortele taietoare inlocuitoare in fiecare punct al relatiei situate pe marginile placii.
2.
In cazul placilor simplu rezemate sau articulate pe contur, exista o tendinta
de ridicare a colturilor placii din planul suprafetei. Aceasta se manifesta
prin aparitia unei reactiuni de colt care tinde sa pastreze pozitia colturilor
placii in planul suprafetei ei mediane. Reactiunea din fiecare colt al placii
se calculeaza din unicul efort rezultant diferit de zero in colturile placilor
simplu rezemate sau articulate pe contur. Astfel, in coltul placii se
inlocuieste momentul de rasucire rezultant de pe cele doua fete prin doua
cupluri, care in conventie pozitiva au directiile din fig. 2.4.18. Reactiunea
de colt R se obtine prin insumarea
celor doua cupluri :
.
Tinand cont insa ca
reactiunea de colt R se va calcula cu relatia :
. (2.4.6.32) Fig.2.4.18
3. Totalitatea fortelor taietoare inlocuitoare de pe tot conturul placii, reactiunile de colt si totalitatea fortelor care actioneaza asupra placii trebuie sa se echilibreze.
Aceasta conditie constituie o verificare a calculului eforturilor rezultante in placile plane, similara cu verificarea echilibrului pe verticala la barele incovoiate.
Ea se exprima matematic cu relatia :
(2.4.6.33)
|