Uc saSeminar 3. Rezolvarea aproximativa a circuitelor cu diode functionând la semnal mare
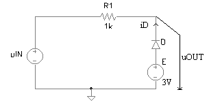
Problema 3.1
Pentru circuitul din figura 3.1a, stiind ca tensiunea de intrare uIN -10V, 10V , sa se deduca expresia tensiunii uOUT si sa se reprezinte grafic. Care este valoare maxima a curentului prin dioda D? Parametrii ce caracterizeaza dioda sunt: uD0 = 0,6V, rD = 10W si IS = 0A.
Figura 3.1a
Raspuns:
Expresia tensiunii de iesire uOUT este (vezi figura 3.1b):

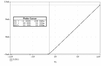
Valoarea maxima a curentului ID este 4,6mA (vezi figura 3.1c).
Nota:
Pe figurile ce vor prezenta în continuare grafic rezultatele, primul cursorul (C1) este reprezentat cu o linie punctata deasa, iar cursorul al doilea (C2) cu o linie punctata mai rara. În acelasi timp v(1) este aliasul pentru uIN , iar v(2) pentru uOUT.
Figura
3.1b 
Figura
3.1c 
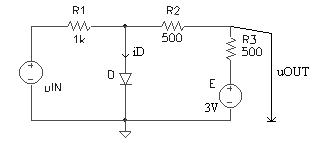
Problema 3.2
Pentru circuitul din figura 3.2a, stiind ca tensiunea de intrare uIN -10V, 10V , sa se deduca expresia tensiunii uOUT si sa se reprezinte grafic. Care este valoare maxima a curentului prin dioda D? Parametrii ce caracterizeaza dioda sunt: uD0 = 0,6V, rD = 10W si IS = 0A.
Figura 3.2a
Raspuns:
Expresia tensiunii de iesire uOUT este (vezi figura 3.2b):

Valoarea maxima a curentului iD este 12,21mA (vezi figura 3.2c).
Figura 3.1b 
Figura
3.1c 
Problema 3.3
Pentru circuitul din figura 3.3a, stiind ca tensiunea de intrare uIN -10V, 10V , sa se deduca expresia tensiunii uOUT si sa se reprezinte grafic. Care este valoare maxima a curentului prin dioda D? Ce se obtine la iesire daca la intrare se aplica un semnal sinusoidal cu amplitudinea de 10V si frecventa de 1kHz. Parametrii ce caracterizeaza dioda sunt: uD0 = 0,6V, rD = 10W si IS = 0A.
Figura 3.3a
Rezolvare:
Având o singura dioda se pot distinge doua cazuri distincte:
Dioda conduce. (vezi figura 3.3b); si
Dioda este blocata (vezi figura 3.3c)
Pentru cazul 1 uOUT1 este dat de urmatoarea relatie, conform teoremei superpozitiei:
,
iar pentru cel de al doilea caz uOUT2 se obtine din teorema divizorului de tensiune:
![]()
uOUT1

UOUT2 uD
Astfel daca se scrie Kirchhoff II pe ochiul din stinga al figurii 3.3c se obtine:
![]()
![]()
![]()
Concluzionând rezulta functia compusa (cu reprezentarea în figura 3.3d):
![]()
Valoarea curentului prin dioda (iD) se obtine scriind pentru cazul 1 (cel în care dioda conduce) Kirchhoff II pentru ochiul din dreapta (figura 3.3b):
![]()
Valoarea maxima a curentului prin dioda (iD) se obtine maximizând valoarea uIN (uIN = 10V) în relatia precedenta. Se obtine astfel valoarea: 4,64mA.
Figura 3.3d
Figura 3.3e
Daca la intrare se aplica un sinus cu frecventa de 1KHz si amplitudine de 10V se obtine la iesire o forma sinusoidala atenuata la jumatate (pe portiunea în care dioda este blocata, conform cu relatia ce descrie uOUT2) si un palier de tensiune cvasi orizontal atunci când dioda conduce. Figura 3.3f reda grafic (curba V(2)) aceasta forma.

Figura 3.3f
Rezultatele ce sunt prezentate sub forma grafica au fost obtinute utilizându-se pachetul PSpice 5.0. Fisierul ce descrie circuitul din figura 3.3a este prezentat în continuare. Pe acceasi figura 3.3a sunt marcate si nodurile între care sunt conectate componentele. În mod asemanator au fost obtinute reultatelegrafice pentru întreg seminarul.
Problema 3.4
Pentru circuitul din figura 3.4a, stiind ca tensiunea de intrare uIN -10V, 10V , sa se deduca expresia tensiunii uOUT si sa se reprezinte grafic. Care este valoare maxima a curentului prin dioda D? Parametrii ce caracterizeaza dioda sunt: uD0 = 0,6V, rD = 10W si IS = 0A.
Figura 3.4a
Raspuns:
Expresia tensiunii de iesire uOUT este (vezi figura 3.4b):

Valoarea maxima a curentului iD este 4,64mA (vezi figura 3.4c).
Figura 3.4b
Figura 3.4c
Problema 3.5
Pentru circuitul din figura 3.5a, stiind ca tensiunea de intrare uIN -10V, 10V , sa se deduca expresia tensiunii uOUT si sa se reprezinte grafic. Care este valoare maxima a curentului prin dioda D? Parametrii ce caracterizeaza dioda sunt: uD0 = 0,6V, rD = 0W si IS = 0A.

Figura 3.5a
Raspuns:
Expresia tensiunii de iesire uOUT este (vezi figura 3.5b):

Valoarea maxima a curentului iD este 6,14mA (vezi figura 3.5c).
Figura 3.5b
Figura 3.5c
Problema 3.6
Pentru circuitul din figura 3.6a, stiind ca tensiunea de intrare uIN -10V, 10V , sa se deduca expresia tensiunii uOUT si sa se reprezinte grafic. Care este valoare maxima a curentului prin dioda D? Parametrii ce caracterizeaza dioda sunt: uD0 = 0,6V, rD = 0W si IS = 0A.

Figura 3.6a
Raspuns:
Expresia tensiunii de iesire uOUT este (vezi figura 3.6b):

Valoarea maxima a curentului iD este 11,36mA (vezi figura 3.6c).
Figura 3.6b
Figura 3.6c
Problema 3.7
Pentru circuitul din figura 3.7a, stiind ca tensiunea de intrare uIN -10V, 10V , sa se deduca expresia tensiunii uOUT si sa se reprezinte grafic. Care este valoare maxima a curentului prin dioda D? Parametrii ce caracterizeaza dioda sunt: uD0 = 0,6V, rD = 10W si IS = 0A.

Figura 3.7a
Raspuns:
Expresia tensiunii de iesire uOUT este (vezi figura 3.7b):

Valoarea maxima a curentului iD este 4,32mA (vezi figura 3.7c).
Figura 3.7b
Figura 3.7c
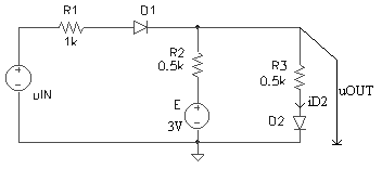
Problema 3.8
Pentru circuitul din figura 3.8a, stiind ca tensiunea de intrare uIN -10V, 10V , sa se deduca expresia tensiunii uOUT si sa se reprezinte grafic. Care este valoare maxima a curentului prin dioda D2? Ce se obtine la iesire daca la intrare se aplica un semnal sinusoidal cu amplitudinea de 10V si frecventa de 1kHz. Parametrii ce caracterizeaza dioda sunt: uD01,2 = 0,6V, rD1,2 = 0W si IS1,2 = 0A.

Figura 3.8a
Rezolvare:
Se stabilesc starile posibile ale diodelor din circuit. (Teoretic acestea pot fi patru.) Se pleaca de la presupunerea ca uIN = 0 pentru care ambele diode sunt blocate. Daca uIN devine mai mica ca 0, starea de blocare (a abelor diode) se mentine. Daca uIN devine pozitiva se va deschide întâi dioda D1 si apoi D2. Vom avea deci urmatoarele stari:
D1 - blocata; D2 blocata (vezi figura 3.8b)
uD1
uOUT1

Figura 3.8b
![]()
D1 - conduce; D2 - blocata (figura 3.8c)
uD2 uOUT2

Figura 3.8c
![]()
D1 - conduce; D2 - conduce (figura 3.8d)
uOUT3

Figura 3.8d
uOUT3 = E + UD0
Având expresiile tensiunii de iesire pentru fiecare caz în parte ar mai fi de dedus valorile tensiunii de intarare pentru care se face comutarea între stari.
Procedul consta în esenta în calculul tensiunii uD la bornele diodei ce-si schimba starea în situatia când este blocata, punând conditia ca uD uD0. Astfel pentru comutarea (diodei D1) din starea 1 în strea 2 se poate scrie:
![]()
![]()
Dar pentru prima stare (ambele diode blocate) atât uR1 cât si uOUT1 sunt nule si deci:
uD1 = uIN 0,6V.
Trecerea din starea 1 în starea 2 se face pentru uIN 0,6V.
Pentru determinarea tensiunii de comutarea diodei D2 se poate scrie:
-E -uD2 +uOUT2 = 0
Dupa efectuarea calculelor se obtine valoerea de prag de 5,8V. sI astfel functia de transfer se poate scrie (vezi figura 3.8e pentru reprezentare):

Figura 3.8e
Pentru determinarea valorii maxime a curentului iD2 se poate scrie Kirchhoff 1 în nodul adiacent ambelor diode:
,
care este o relatie liniara în raport cu uIN. Valoarea maxima a curentului iD2 se va obtine pentru uIN_MAX ea fiind de 4,2mA (figura 3.8f).
Figura 3.8f
Daca la intrare se aplica un sinus cu frecventa de 1KHz si amplitudine de 10V se obtine la iesire o variatie de tensiune (V(3)) asemanatoare celei prezentate în figura 3.8g
Figura 3.8g
Problema 3.9
Pentru circuitul din figura 3.9a, stiind ca tensiunea de intrare uIN -10V, 10V , sa se deduca expresia tensiunii uOUT si sa se reprezinte grafic. Care este valoare maxima a curentului prin dioda D1? Parametrii ce caracterizeaza dioda sunt: uD01,2 = 0,6V, rD1,2 = 0W si IS1,2 = 0A.

Figura 3.9a
Raspuns:
Expresia tensiunii de iesire uOUT este (vezi figura 3.9b):

Valoarea maxima a curentului iD este 7mA (vezi figura 3.9c).
Figura 3.9b
Figura 3.9c
Problema 3.10
Pentru circuitul din figura 3.10a, stiind ca tensiunea de intrare uIN -10V, 10V , sa se deduca expresia tensiunii uOUT si sa se reprezinte grafic. Care este valoare maxima a curentului prin dioda D2? Parametrii ce caracterizeaza dioda sunt: uD01,2 = 0,6V, rD1,2 = 0W si IS1,2 = 0A.

Figura 3.10a
Raspuns:
Expresia tensiunii de iesire uOUT este (vezi figura 3.10b):

Valoarea maxima a curentului iD este 5,38mA (vezi figura 3.10c).
Figura 3.10b
Figura 3.10c
|