|
|
|
Fig. 12.1. Simboluri grafice utilizate la ntocmirea diagramei tehnologice a morii. |
Tabelul 12.1 (continuare)
|
|
|
|
|
|
|
|
|
TC |
Trior cilindric |
|
Di |
Dislocator |
|
|
TD |
Trior cu discuri |
|
DF |
Detasor faina |
|
|
TS |
Trior spiral |
|
CAP |
Ciclon aspirase pneumatica |
|
|
Ca |
Cascada |
|
BC |
Baterie cicloane |
|
|
DD |
Descojitor dublu |
|
Ps |
Pneumosita |
|
|
DPA |
Descojitor piatra abraziva |
|
PSep |
Pneumoseparator |
|
|
PG |
Perie gr u |
|
Ecl |
Ecluza |
|
|
MSi |
Masina de spalat gr u |
|
SFA |
Superfiltru aspiratie |
|
|
AU |
Aparat de udat |
|
FP |
Filtru presiune |
|
|
UP |
Umidificator pneumatic |
|
V |
Ventilator |
|
|
CU |
Coloana de uscare |
|
SA |
Transportor elicoidal aspiratie |
|
|
Deq |
Degerminator |
|
Ci |
Ciur |
|
|
MD |
Masa densimetrica |
|
ST |
Schimbator traseu |
|
30" |
MC |
Moara cu ciocane |
|
|
|
12.2. PROPRIET ILE FIZICO-MECANICE ALE BOABELOR DE
CEREALE
12.2.1. Proprietati fizice
Masa hectolitrica (MH, kg/hl). Prin masa hectolitrica se ntelege masa unui hectolitru de boabe. Valoarea acestei proprietati este influentata de urmatorii factori: masa specifica a boabelor; compactitatea ordonarii boabelor n aparatul de laborator n scopul determinarii masei hectolitrice; dimensiunile geometrice ale boabelor; continutul de corpuri straine; umiditatea masei de boabe etc.
Randamentul de fainuri de gr u este str ns legat de valoarea masei hectolitrice. Normele tehnologice de maruntire stabilesc extractii referindu-se la o valoare de baza a masei hectolitrice (pentru gr u, n mod obisnuit, MH=78 kg/hl).
Masa a 1000 boabe (M1Ooo)- Aceasta proprietate da o imagine asupra dimensiunilor geometrice ale boabelor. Umiditatea are rol important, fapt pentru
|
|
unde u este umiditatea masei de boabe, n %, iar M1000 masa a 1000 de boabe determinata prin analiza n grame.
Volumul a 1000 boabe (V1000, mm3). Reprezinta volumul de lichid deslocuit de 1000 boabe, n mm3.
Masa specifica (densitatea) p (g/cm3). Valoarea ei influenteaza proprietatile fizico-chimice ale produselor de macinis si unele operatii tehnologice. De asemenea, variaza n limite foarte mari datorita compozitiei chimice a boabelor.
Densitatea aparenta n vrac sau densitatea masei de boabe), p (kg/m3). Reprezinta raportul dintre masa boabelor de cereale si impuritati, la volumul total ocupat de acestea.
Porozitatea masei de boabe (indice de porozitate) (%). Exprima raportul volumului intergranular la cel total:
|
|
(12.2)
Vgeom n tabelul 12.2 se dau valorile unor caracteristici pentru cereale.
Caracteristici fizice ale unor cerareale
Tabelul 12.2
|
Felul culturii |
Porozitatea, y, % |
Densitatea n vrac, pv, kg/m3 |
|
Gr u |
|
|
|
Secara |
|
|
|
Porumb |
|
|
|
Ovaz |
|
|
|
Orez |
|
|
|
Orz |
|
|
|
Mei |
|
|
|
Hrisca |
|
|
Tehnologii n industria alimentara
Sticlozitatea, (%). Indica
gradul de compactizare a endospermului n boabe. La
o sectiune transversala prin bobul pe gr u se pot observa zone sticloase (transparente) si zone fainoase (mate). n zonele sticloase, structura apare com-pactizata, iar n zonele fainoase structura apare mai putin densa. Boabele sticloase dau prin maruntire cantitati mai mari de grisuri si dunsturi si mai putina faina, iar consumul de energie la maruntire creste. Din punct de vedere al sticlozitatii, boabele de gr u se mpart
n:
l-boabe cu sticlozitatea mai mare de 70 %; ll-boabe cu
sticlozitatea 40-70 %; III -boabe cu sticlozitatea mai mica
de 40 %.
Umiditatea, u (%). Reprezinta cantitatea de apa continuta n masa de boabe, exprimata procentual fata de umiditatea maxima posibila (100 %). Din punct de vedere al valorii umiditatii, cerealele se clasifica conform tabelului 12.3, iar n tabelele 12.4,12.5 si 12.6 se dau diverse caracteristici functie de umiditate.
Umiditatea unor cereale
Tabelul 12.3
|
Felul cerealelor |
Clasificarea cerealelor |
|||
|
Umiditate, % |
||||
|
Uscate |
Semiuscate |
Umede |
Foarte umede |
|
|
Gr u |
|
|
|
>17 |
|
Secara |
|
|
|
>17 |
|
Orz |
|
|
|
>17 |
|
Ovaz |
|
|
|
>18 |
|
Orez |
|
|
|
>17 |
|
Porumb |
|
|
|
>20 |
Caracteristici fizice n functie de umiditate
Tabelul 12.4
|
Umiditatea, u,% |
Densitatea n vrac, p , kq/m3 |
Umiditatea, u,% |
Masa specifica, p, kg/m3 |
||
|
Ovaz |
Orz |
Ovaz |
Orz |
||
|
|
|
|
|
|
|
|
|
|
|
|
|
|
|
|
|
|
|
|
|
|
|
|
|
|
|
|
|
|
|
|
|
|
|
|
|
|
|
|
|
|
|
|
|
|
|
|
|
Densitatea n vrac n functie de umiditate si temperatura
Tabelul 12.5
|
Denumirea culturii |
Umiditatea, u, |
Temperatura, t, K |
Densitatea n vrac, pv, kg/m3 |
|
Secara |
|
|
|
|
|
|
|
|
|
Ovaz |
|
|
|
|
|
|
|
|
|
Orz |
|
|
|
|
|
|
|
Industria morarituiui
Tabelul 12.6 Ecuatia empirica de calcul a densitatii n vrac n functie de umiditate
|
Denumirea produsului |
Umiditatea, u, |
Ecuatia de calcul, pv, kg/m3 |
|
Orez nedecorticat si decorticat |
|
1169+3,3 u |
|
|
1468-2,1 u |
|
|
|
1328- 8,0 u |
|
|
Mei nedecorticat si decorticat |
|
1144+3,3 u |
|
|
1337-2,4 u |
Higroscopicitatea. Reprezinta proprietatea fizica a masei de boabe de a face schimb de umiditate cu mediul nconjurator. n functie de umiditatea relativa a aerului, exista tendinta de a se stabili un echilibru. Umiditatea de echilibru la gr u variaza n limite foarte largi (u=7,8-99,9 %). n tabelul 12.7 se prezinta umiditatea la echilibru a boabelor de cereale.
Umiditatea la echilibru a boabelor de cereale
Tabelul 12.7
|
Produsul |
Umezeala relativa a aerului, cp, % |
||||||||
|
|
|
|
|
|
|
|
|
|
|
|
Boabe de gr u |
|
|
|
|
|
|
|
|
|
|
Boabe de secara |
|
|
|
|
|
|
|
|
|
|
Boabe de ovaz |
|
|
|
|
|
|
|
|
|
|
Hrisca |
|
|
|
|
|
|
|
|
|
|
Produsul |
Umezeala relativa a aerului, cp, % |
||||||||
|
|
|
|
|
|
|
|
|
|
|
|
Boabe de gr u |
|
|
|
|
|
|
|
|
|
|
Boabe de secara |
|
|
|
|
|
|
|
|
|
|
Boabe de ovaz |
|
|
|
|
|
|
|
|
|
|
Hrisca |
|
|
|
|
|
|
|
|
|
Dimensiunile geometrice ale boabelor. Boabele de cereale pot avea forme rotunjite, sferice, plate, aciculare etc. Forma depinde de o serie de factori, cei mai importanti nsa fiind natura cerealelor si dimensiunea lor. Un bob va avea forme cu at t mai regulate cu c t dimensiunea este mai mica. Marimea bobului se poate exprima prin diametrul de sita, diametrul nominal sau diametrul mediu.
Diametrul de sita (dimensiunea ochiului) se apreciaza prin marimea ochiului rotund de sita prin care trece bobul, respectiv ram n nd pe sita urmatoare cu ochiuri de dimensiuni mai mici (retea mai densa
Diametrul nominal sau diametrul echivalent, de, este definit ca valoare a diametrului unei sfere de volum V, numeric egal cu cel al bobului considerat si se determina cu relatia:
de = i = 1,24 W.
C nd se are n vedere masa M si densitatea bobului p, diametrul echivalent se determina cu relatia:
Tehnologii n industria alimentara
Diametrul mediu, dm,
este valoarea determinata ca medie aritmetica a
diametrelor boabelor prezente ntr-o populatie
oarecare. Pentru un bob de forma neregulata, diametrul mediu poate fi calculat,
daca se
noteaza cu I, b si h dimensiunile
principale dupa directiile a trei axe perpendiculare n ordine l>b>h, cu una din
relatiile:
|
|
^
"' Ib + bh + hl
Dimensiunile boabelor (valori medii) pentru cele mai uzuale cereale sunt date n tabelul 12.8.
Dimensiunile geometrice si masa boabelor de cereale
Tabelul 12.8
|
Felul semintelor |
Dimensiunile, mm |
Masa |
||||
|
Lungime, |
Latime, b |
Grosime, h |
Absoluta la 1000 boabe, g |
Specifica kg/dm3 |
Volumetrica kg/dm3 |
|
|
Gr u de toamna |
|
|
|
|
|
|
|
Gr u de primavara |
|
|
|
|
|
|
|
Secara |
|
|
|
|
|
|
|
Porumb |
|
|
|
|
|
|
|
Orz |
|
|
|
|
|
|
|
Ovaz |
|
|
|
|
|
|
|
Hrisca |
|
|
|
|
|
|
|
Mei |
|
|
|
|
|
|
|
Orez |
|
|
|
|
|
|
|
Mazare |
|
|
|
|
|
|
|
Linte |
|
|
|
|
|
|
|
Mazariche |
|
|
|
|
|
|
|
In |
|
|
|
|
|
|
|
C nepa |
|
|
|
|
|
|
|
Fasole |
|
|
|
|
|
|
|
Soia |
|
|
|
|
|
|
|
Floarea-soarelui |
|
|
|
|
|
|
|
Sfecla de zahar |
|
|
|
|
|
|
|
Neghina |
|
|
|
|
|
|
Forma unui bob poate fi caracterizata numeric cu ajutorul coeficientului de forma a, indicelui de aplatizare Ap, indicelui de alungire "A", gradului de sfericitate y si sau factorului de forma 0 astfel:
Industria moraritului
![]()

unde: S este suprafata reala a bobului; S' -suprafata sferei care are acelasi volum cu a bobului analizat; dc este diametrul celei mai mici sfere care circumscrie bobul.
Dimensiunea limita a bobului este dimensiunea celor mai mari sau a celor mai mici din colectivitate. Aceasta se determina prin metoda analizei granulo-metrice (compozitie granuiometrica). Boabele de cereale constituie sisteme polidis-perse, iar suprafata exterioara este suma suprafetelor individuale (tabelul 12.9).
Tabelul 12.9
Caracteristicile unui kg de boabe de cereale
|
Cerealele |
Caracteristicile unui kg de boabe |
|||
|
Numarul boabelor, buc |
Suprafata totala a boabelor, mm2 |
Volumul total al boabelor, mm3 |
Suprafata specifica a boabelor, mm /mm |
|
|
Gr u |
|
131 10" |
|
|
|
Porumb |
|
6510" |
|
|
Coeficientul de frecare de aiunecare interna si coeficientul de frecare de alunecare externa Coeficientul de frecare de alunecare interna, /.ih are valoarea tangentei unghiului de taluz natural, uptana, si depinde de: natura si starea suprafetei exterioare, umiditatea boabelor si de continutul de impuritati (tabelul 12.10). Coeficientul de frecare de alunecare externa , \iak, reprezinta coeficientul de frecare la deplasarea masei de boabe pe diferite materiale (lemn, tabla din otel, beton).
Tabelul 12.10
Coeficientul de frecare functie de porozltate
|
Seminte |
Masa hectoli-trica kg/hl |
Porozitate, |
Coeficientul de frecare interna, \n |
Coeficientul de frecare externa, n |
||
|
lemn |
tabla otel |
beton |
||||
|
Gr u |
|
|
|
|
|
|
|
Secara |
|
|
|
|
|
|
|
Ovaz |
|
|
|
|
|
|
|
Orz |
|
|
|
|
|
|
|
Orez |
|
|
|
|
|
|
|
Hrisca |
|
|
|
|
|
|
|
Porumb |
|
35-55 |
|
|
|
|
|
Mazare |
|
|
|
|
|
|
|
Mei |
|
|
|
|
|
|
Tehnologii Jn industria alimentara
12.2.2. Proprietati mecanice
n procesul de maruntire, o importanta deosebita o are tensiunea de sfar mare a boabelor la solicitarea de compresiune, forfecare sau strivire. Pentru c teva calitati de gr u, valorile parametrilor necesari calculului procesului de maruntire sunt dati n tabelele 12.11;12.12 si 12.13.
Microduritatea gr ului variaza foarte mult cu valoarea sticlozitatii, umiditatii si cu locul de masurare pe suprafata bobului (40-130 N/mm2).
Tabelul 12.11
Tensiunea de maruntire pentru gr u
|
Cerealele |
Tipul de solicitare |
||
|
Compresiune |
Forfecare |
Strivire |
|
|
Gr u tare |
|
|
|
|
Gr u moale sticlos |
|
|
|
|
Gr u moale fainos |
|
|
|
Tabelul 12.12
Forta de sfarmare a unui bob de porumb
|
Forta de sfar mare a unul bob, kN |
||||||
|
|
Umiditatea, % |
|||||
|
Cerealele |
W=13 |
W=16 |
W=19 |
|||
|
Prima fisura |
Spargere totala |
Prima fisura |
Spargere totala |
Prima fisura |
Spargere totala |
|
|
Porumb ( n general) |
|
|
|
|
|
|
|
Porumb cu bobul alb |
|
|
|
|
|
|
|
Porumb american |
|
|
|
|
|
|
Tabelul 12.13
Energia necesara formarii unei noi suprafete
|
Cerealele |
Umiditatea, W, % |
Sticlozitate, |
Energia formarii unei noi suprafete, Ws/mm2 |
|
Gr u |
|
|
|
|
|
|
|
|
|
|
|
|
12.3. METODE DE ANALIZ A BOABELOR DE CEREALE PENTRU CONSUM sl A PRODUSELOR CEREALIERE DE
MOR RIT
Luarea probelor pentru analiza boabelor de cereale de consum se face conform STAS 1068-75; determinarea continutului de corpuri straine si de seminte cu defecte conform STAS 1069-77; determinarea caracteristicilor organoleptice
iuu Industria moraritului
conform STAS 6253-80; determinarea continutului de gluten si a indicelui de deformare al glutenului conform STAS 6283/1-83; determinarea sticlozitatii gr ului conform STAS 6283/2-84; determinarea aciditatii gr ului conform STAS 6283/3-76 determinarea continutului de proteina bruta conform STAS 6283/4-84; determinarea indicelui Pelshenke conform STAS 6283/5-76; determinarea indicelui pentru sedimentare (testul Zeleny) conform STAS 6283/6-76; determinarea indicelui pentru cadere conform STAS 6283/7-76.
Terminologia defectelor pentru boabele de cereale pentru consum este conform STAS 7522-89. Metodele de analiza pentru faina de gr u sunt conforrr STAS 90-88, iar determinarea reziduului de astrozina pentru porumb si malai se face n conformitate cu STAS 10976-77.
12.4. BOABE DE CEREALE PENTRU CONSUM ALIMENTAR sl PENTRU INDUSTRIALIZARE
Boabele de cereale pentru consum alimentar si pentru industrializare trebuie sa ndeplineasca conditiile prevazute n standardele: STAS 984-72 pentru secara alimentara; SR 2323-1994 pentru orez brut alimentar; SR 5447-94 pentru porumt boabe; STAS 608-59 pentru porumb boabe cu scopuri industriale; STAS 813-68 pentru gr u de panificatie; STAS 3318-60 pentru gr u pentru paste fainoase s STAS 5785-81 pentru tarâte de gr u.
12.5. INSTALA II PENTRU DESC RCAREA CEREALELOR
Descarcarea cerealelor din vagoane CF si din autocamioane se poate face manual, mecanic (lopata mecanica, transportoare cu banda, transportoare cu meic etc), prin basculare (autocamioane cu bena basculanta sau instalatii fixe de basculare) si pneumatic. Buncarele pentru descarcare fac legatura ntre mijlocul de transport din exteriorul silozului (receptia produsului) si cel din interiorul acestuia Acestea se construiesc sub nivelul solului pentru ca, prin cadere libera (gravitational), cerealele sa fie descarcate. Sunt construite din beton cu peret nclinati la 45 , iar gura de alimentare este prevazuta cu gratare pentru retinerea Impuritatilor mari si cu capac de acoperire n timpul repaosului.
12.6. SILOZURI sl BUNC RE
Silozurile sunt constructii n care se depoziteaza si se pastreaza n cantitati mari, materiale granulare (cereale) sau pulverulente (produse de macinis). Acestea sunt alcatuite din spatii nchise, de o anumita forma geometrica (rotunda, patrata etc), numite celule de siloz (sau simplificat celula). Silozurile sunt prevazute cu instalatii pentru ncarcarea si descarcarea mecanizata. Buncarul este un siloz de dimensiuni mici, iar depozitarea se face pentru un timp scurt. P lniile de ncarcare (descarcare) servesc pentru transvazarea materialului de la un utilaj la altul, n cadrul fluxului tehnologic.
'ehnologiiin industria alimentara
Constructia silozurilor este solutionata prin proiecte de constructie tipizate si shnologie corespunzatoare. Silozurile pentru cereale de volum mare se executa lin beton armat, fiind prevazute cu fundatie proprie, iar cele pentru faina pot fi din leton armat sau metalice.
Buncarele de volum mic pentru depozitarea fainii se executa din tabla de otel noxidabil, pentru a evita uzura prin coroziune si pentru mentinerea unui coeficient le frecare de alunecare dintre material si,perete constant. n felul acesta se asigura ) curgere uniforma si o golire totala
Evacuarea materialului se face printr-o gura amplasata n partea inferioara, n plan orizontal sau vertical. Acestea pot fi nchise si/sau deschise, dupa ecesitati, cu ajutorul unor dispozitive. n locul dispozitivului de nchidere, se pot nonta dispozitive de extractie, de dozare si de alimentare a utilajului deservit de juncar. Comportarea n siloz (buncar) a materialului depinde de: spectrul jranulometric, geometria boabelor (granulelor), umiditate, coeficientul' de frecare nterna, coeficientul de frecare externa, tendinta de a se aglomera, tendinta de a se ipi (adera) de pereti, proprietatile chimice etc.
Curgerea materialului poate avea loc n doua moduri: curgere normala [fig.12.2, a si b), c nd se formeaza un curent central de material si o cavitate :onica la suprafata libera a materialului; curgere hidraulica (fig.12.3, c), c nd ntreaga masa de material se afla n miscare. Curgerea hidraulica este ;aracteristica buncarelor cu curgere continua, utilizate pentru alimentarea diferitelor utilaje. Aceste buncare au peretii cu nclinare mare fata de orizontala, unghiul a variind ntre amm = k/4+ 9/2 si amax = 75-80 , unde cp este unghiul de frecare extern.

Fig. 12.2. Tipuri de curgere din silozuri si buncare: a,b- curgere normala; c- curgere
"hidraulica".
n vederea mbunatatirii curgerii cerealelor pe peretii nclinati, evitarii formarii de bolti si cratere ce au drept urmare cresterea considerabila a presiunilor si pericolul fisurarii peretilor, se recomanda aplicarea unor straturi protectoare pe baza de rasini. n urma acestei protectii, peretii devin netezi, cerealele alunec nd usor.
ntr-un siloz de faina, problema cea mai importanta, pe l nga cea a transportului, este aceea a golirii celulelor. Utilizarea sistemului pneumatic de evacuare a fainii constituie solutia de randament maxim. Aerul este introdus n
Industria mor"iritu!i:i
celula de faina, realiz nd amestecul aer-faina, de concentratie corespunzatoare transportului pneumatic.
Faina "fluidizata" curge ntr-o p lnie colectoare, apoi, prin organul de nchidere, n conducta de transport pneumatic.
Produsele a caror curgere depinde foarte mult de umiditate, temperatura, continutul de albumina etc. poarta denumirea conventionala de produse care curg greu. La evacuare acestora este necesara periodic desfundarea gurii de evacuare. Celulele destinate acestor produse sunt de constructie speciala, mai scumpe si cu o exploatare mai greoaie.
Dimensiunile gurii de evacuare se determina cu relatia:
(Do )min = (2,4 - 2,6)dmax + 0,08 tan cp [m],
|
|
n care: dmaX este dimensiunea maxima a bulgarilor de material posibil de format, n m; <p - unghiul de frecare de alunecare extern. Viteza de scurgere este data de relatia:
V P
n care: p este presiunea pe verticala la nivelul gurii de descarcare; p-masa specifica a materialului; A. - coeficientul de scurgere (?i=0,55-0,65 pentru cereale; ?v=0,2-0,25 pentru materiale pulverulente).
12.7. MIJLOACE PENTRU TRANSPORTUL BOABELOR DE CEREALE N SILOZURI
Acestea pot avea directia de deplasare pe orizontala sau usor nclinata ) (transportor elicoidal, transportor cu banda, transportor cu lant), pe verticala (elevatoare cu cupe), transport gravitational prin conducte, sau pe toate directiile (transportul pneumatic).
Tipurile si dimensiunile principale ale transportoarelor elicoidale sunt date n STAS 7072-86.
Diametrul exterior al elicei transportorului poate fi 125; 160; 200; 250; 315: 400 mm, iar lungimea de transport 4-30 m.
Calculul puterii se face conform STAS 7627-82, n functie de tipul constructiv si de proprietatile fizico-mecanice ale materialului transportat.
Benzile de transport cu insertii textile de uz general trebuie sa corespunda STAS 2077/1-85. Acestea au latimile de fabricatie de 400; 500; 630; 800 mm, ia: lungimea maxima de transport 100 m. Benzile transportoare cu insertii textile rezistente la flacara trebuie sa corespunda STAS 2077/2-79, cele rezistente la temperaturi nalte - STAS 2077/4-76, iar cele pentru industria alimentara STAS 2077/5-83.
Elevatoarele cu cupe realizeaza transportul cerealelor de jos n sus te verticala. Parametrii de proiectare trebuie sa corespunda STAS 8925-71. \r. general, pentru realizarea transportului si descarcarii cerealelor, viteza benzii elevatorului trebuie sa fie 2,5-3 m/s, iar pentru materialele pulverulentele 1,6-1,7 m/s.
Transportul gravitational sau n cadere libera se foloseste n proportie de peste 70 % n depozitele de cereale si mori. Pentru realizarea acestui tip de transport se folosesc conducte din lemn, tabla zincata, tabla cositorita si tabla neagra. Conductele sunt construite din tronsoane de 1-3 m lungime si cu diametrL
Tehnologii n industria alimentara
de 100-150 mm. Viteza de cadere
(transport) depinde de unghiul minim de cadere (masurat ntre axa geometrica a conductei si
orizontala), de
materialul din care este executata
conducta, de sectiunea
acesteia, de coeficientul de frecare externa dintre boabele de cereale si conducta etc. n
tabelul 12.14 se dau valorile unghiului limita (minim) de cadere <pT, pentru
diferite conducte de transport. Marimea sectiunii tevilor
este n functie de capacitatea mijloacelor de
transport, de descarcarea si manipularea
n cadrul
silozurilor, respectiv de capacitatea de productie a morii care determina cantitatea de produse ce urmeaza a fi transportate.
Valorile minime ale unghiurilor de cadere, am/
Tabelul 12.14
|
|
Dimensiunile tevilor utilizate n morarit
Tabelul 12.15
|
Capacitatea de productie a morii, t/24 ore |
Diametrul interior pentru tevi rotunde metalice, mm |
Laturile interioare ale tevilor patrate sau rombice din lemn. mm |
||||
|
Curatatorie |
Sectia moara |
Sectia ambalaj |
Curatatorie |
Sectia moara |
Sectia ambala] |
|
|
|
|
|
|
110x110 |
110x 110 |
150x150 |
|
|
|
|
|
125x125 |
125x125 |
180x180 |
|
|
|
|
|
150x150 |
150x150 |
200 x200 |
Dimensiunile sectiunilor tevilor de transport sunt date n tabelul 12.15. Pentru silozurile de cereale sunt tipizate doua marimi de conducte: diametrul interior de
rehnologii n industria alimentara
iuio
|
|
Tabelul 12.16 (continuare) |
Dimensiunile ochiurilor sitelor sunt date n tabelul 12.16. Separatorul-cema tor tip SC se utilizeaza pentru curatirea porumbului boabe, malaiului si altor produse cerealiere. Productivitatea acestuia este de 700-1000 kg/h, nclinarea sitei superioare 10 nclinarea sitei inferioare 16 , iar dimensiunile ochiurilor sitei sunt date n tabelul 12.17.
Tabelul 12.17 Dimensiunile ochiurilor sitei pentru aspiratorul cernator tip SC
|
Pozitia sitei |
Tipul produsului |
||
|
Porumb |
Malai |
Gr u |
|
|
Diametrul ochiului, mm |
esatura STAS |
Tabla perforata STAS |
|
|
Superioara |
|
|
Z7; IR 40; Z 6,3x25 |
|
Inferioara |
|
|
Z 1,6 x 25 |
Rolul operatiei de c ntarire este de a primi n flux continuu cerealele si de a le lasa sa treaca mai departe n doze egale, precis determinate, nregistrate automat, determin nd astfel cantitatea de cereale pe o perioada de timp. Pentru efectuarea operatiei se folosesc c ntare automate, nchise ermetic, racordate la instalatia de aspiratie a aerului.
Distribuirea cerealelor n celule se face cu ajutorul conductelor metalice si al transportorului cu melc sau cu lant, a carui lungime este egala cu cea a silozului. Transportoarele sunt montate la naltime, nc t celulele sunt alimentate prin cadere libera. Evacuarea din celulele de siloz a cerealelor trebuie sa fie continua si completa n acest scop, gurile de evacuare se fac cu nclinatie de minimum 40 Celulele de dimensiuni mari sunt prevazute cu mai multe guri (4, 6, 8) de evacuare.
nchiderea sau deschiderea gurii de evacuare se face cu ajutorul unei clapete actionate cu cremaliera
n scopul stabilirii unei proportii volumice ntre diferitele calitati de gr u, n vederea obtinerii unui amestec de calitate medie, se foloseste aparatul de procentaj sau dozatorul volumic. Acestea se monteaza la gurile de evacuare din celule, astfel ca din 3-4 sau mai multe celule sa se debiteze simultan, ntr-un mijloc de transport comun, cantitati diferite de gr u, cantitati care se fixeaza n functie de calitatea gr ului aflat n fiecare celula
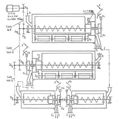
si lungimea de 1500 mm si, respectiv, 2250 mm. n fig.12.3 se prezinta schema cinematica a bateriei cu trioare cilindrice cu alveole BTM8, av nd productivitatea de 8 t/h.

Fig. 12.3. Schema cinematica a bateriei cu trioare cilindrice cu alveole BTM 8.
Tabelul 12.18 Dimensiunile alveolelor pentru diferite cereale
|
Dimensiuni orientative pentru diametrul alveolelor, mm |
||
|
Denumirea semintei |
Pentru separarea impuritatilor lungi |
Pentru separarea impuritatilor scurte |
|
Gr u |
|
|
|
Secara |
|
|
|
Ovaz |
|
|
|
Orz |
|
|
|
Orez |
|
|
|
Mei |
|
|
|
Porumb (calibrat) |
|
|
Separarea impuritatilor cu triorul cu discuri se deosebeste de cea efectuata cu triorul cilindric prin modul de constructie al suprafetei de lucru. Aceasta este formata din suprafetele laterale ale unui numar de discuri pe care sunt prevazute alveole. Discurile sunt montate pe un arbore la distanta de 20-30 mm unul de altul,
ennOIOgil in inausuia
u impuritatile feroase formeaza o p nza uniforma pe toata latimea benzii, npuritatile feromagnetice sunt retinute
de banda p na n dreptul unei guri de vacuare.
Separatoarele electromagnetice necesita sursa de curent alternativ de 20 V, transformata si redresata la 110 V curent continuu. Cerealele curatate cad ber n gura de evacuare, degaj nd mult praf. Pentru ndepartarea acestuia este ecesara racordarea la o retea de aspiratie. Debitul de aer necesar acestei operatii :ste de 3-4 m3/min, la o capacitate de productie de 5 t/h. Masa de boabe de ereale contine si particule fine aderente pe suprafata n general, particulele de iraf sunt de natura minerala, organica sau reprezinta diferite microorganisme pecifice cerealelor. Mai rar, se gasesc spori de malura sau taciune. ndepartarea Tipuritatilor existente pe suprafata boabelor se face prin procedeul tehnologic de lescojire-periere si spalare sau prin procedeul uscat si procedeul umed.
Prelucrarea pe cale uscata (descojire) a nvelisului boabelor de gr u se ealizeaza cu ajutorul masinilor de descojit (descojitor) si periat, care au ca scop ndepartarea prafului aderent pe suprafata bobului sau depus n santuletul icestuia, sa elimine barbita, sa sfar me si sa ndeparteze bulgarasii mici de )am nt care nu au fost separati p na la aceasta faza. Totodata, se desprind si )arti din straturile exterioare ale nvelisului si, partial, embrionul. Descojirea primara >e realizeaza cu ajutorul descojitorului Eureka (cu manta de s rma mpletita sau abla perforata) montat naintea masinii de spalat, iar praful rezultat din descojire 3Ste un praf negru nefurajer.
Descojirea secundara se realizeaza cu ajutorul descojitorului cu manta abraziva din smirghel, conduc nd la un efect intens de descojire. Acesta se nonteaza dupa masina de spalat, iar praful rezultat din descojire este un praf alb ;u valoare furajera
Perierea cerealelor se face cu peria de gr u, pentru a ndeparta partile de :oaja desprinse de bob, care mai sunt nca aderente acestuia. n fluxul tehnologic, nasina de periat se monteaza dupa descojitorul cu manta de smirghel, iar praful ezultat din descojire este un praf organic cu valoare furajera - praful alb. ncarcarea specifica a masinilor de descojit si periat este de 800-1000 kg/(m2h), ar viteza periferica a paletelor este de 13-15 m/s. Pentru gr u cu umiditate redusa se alege viteza minima a paletelor. Jocul dintre rotor si mantaua abraziva este de 20-30 mm, iar nclinarea paletelor fata de orizontala este de 8-10 . Stratul abraziv se toarna dintr-un amestec de 69-76 % smirghel, cu granulatia nr. 20-24, 11-16% 3xid de magneziu si 13-15% clorura de magneziu. Randamentul operatiei de descojire si periere se apreciaza prin reducerea continutului n cenusa (substante minerale) al boabelor. In cazul descojitorului cu manta abraziva, continutul n :enusa se reduce cu 0,03-0,05% pentru fiecare trecere prin masina, iar n cazul descojitoarelor cu manta neteda din otel, reducerea continutului n cenusa este de 0,02-0,03%. Cantitatea de boabe sparte, pentru fiecare trecere prin masina, nu trebuie sa fie mai mare de 1%, iar aceea de boabe n prafurile rezultate nu trebuie sa depaseasca 2% din masa acestora. Reducerea continutului n cenusa la curatirea cu masina de periat este de 0,01%.
Un utilaj superior din punct de vedere al posibilitatilor de exploatare l constituie masina de descojit cu manta rotativa. Rotorul cu palete are o viteza tangentiala de 16-17 m/s, iar mantaua de 0,8-1 m/s. Operatia de descojire este similara celorlalte utilaje. Descojitorul dublu tip DD 510 M, DD712 si DD 714 M si
ehnologu in inaustna anmeniara
o separare, prin cernere, c t mai intensa ntre nvelis si endosperm;
ca endospermul sa fie c t mai friabil si sa se macine c t mai usor;
obtinerea unei cantitati mari de grisuri si
a unei cantitati mai mici de faina
n procesul
de srotare;
obtinerea unei faini mai albe si cu un continut de cenusa redus;
reducerea consumului de energie cu 8-15 %, prin
uniformizarea duritatii
)oabelor.
Conditionarea se bazeaza pe distribuirea n mod diferit a umiditatii n bobul le gr u. n nvelis trebuie sa se ajunga la 60-80 % fata de endosperm. Umiditatea jptima la srotul I, pentru majoritatea boabelor de cereale, este de 15-17 %. \ceasta se obtine printr-o umezire uniforma si apoi prin stationarea n celulele de jdihna Perioada de odihna este n functie de calitatea gr ului, de temperatura apei si are ca scop difuzarea apei n tot bobul si sa influenteze structura endospermului.
Prin umezire (udare) se ntelege stropirea gr ului cu apa, iar umectarea este operatia tehnologica prin care apa stropita patrunde n bob. Umectarea se ealizeaza n celule de odihna. Pe baza cercetarilor s-a stabilit ca, pentru gr u :ainos, umiditatea optima naintea srotului I este de 14,5-15 %, ceea ce se obtine intr-un timp de odihna de 12-18 ore, iar pentru gr u sticlos umiditatea srotului I sste de 15,5-16,5 %, ntr-un timp de odihna de 24-40 de ore.
n operatia de conditionare cu apa rece, gr ul se umezeste cu ajutorul masinilor de spalat, aparatului automat de udat sau aparatului de umezire cu apa pulverizata si apoi se dirijeaza n celulele de odihna. Operatia de conditionare a gr ului prin tratament hidrotermic se compune din doua faze: prin umezirea la masina de spalat la sau aparatul de udat si apoi tratarea cu caldura n coloana de conditionare. Cresterea temperaturii boabelor de gr u se poate asigura cu ajutorul coloanei de conditionare, av nd ca sursa de caldura apa sau aerul cald. Apa calda este recomandata deoarece coeficientul de transfer de caldura la boabele de cereale este mai bun, iar caldura specifica este mai mare dec t a aerului. n consecinta, un volum mai mic de apa calda este necesar pentru a transporta aceeasi cantitate de caldura. Aerul cald cu umiditate relativ mica actioneaza asupra masei de gr u, prin uscarea nvelisurilor si a straturilor exterioare ale endospermului. Restul endospermului pastreza o umiditate mult mai mare dec t nvelisurile, av nd un efect invers celui necesar macinarii si separarii.
Avantajele conditionarii prin tratament hidrotermic constau n:
reducerea timpului de odihna la 60-90 min, micsor ndu-se
numarul
celulelor de odihna (timpul corespunzator parcurgerii coloanei de conditionare);
accelerarea difuziei apei n interiorul boabelor;
scaderea coeziunii dintre nvelis si
endosperm, datorita cresterii
si scaderii
temperaturii transmise bobului de gr u;
modificarea caracteristicile glutenului la boabele de gr u slabe, n sensul
mbunatatirii nsusirilor de panificatie ale fainurilor obtinute, datorita proceselor
biochimice din interiorul bobului.
Conducerea necontrolata a operatiei de conditionare prin tratament hidrotermic poate duce la nrautatirea nsusirilor de panificatie. Operatia de conditionare a boabelor de gr u cu abur este mult mai rapida dec t prin ncalzire cu apa sau abur. Prezinta avantajul ca produce simultan at t umectarea c t si ncalzirea, consumul de energie este mai redus, iar randamentul procesului de macinis este mai bun.
|