PORTOFOLIU
EDUCATIE MUZICALA
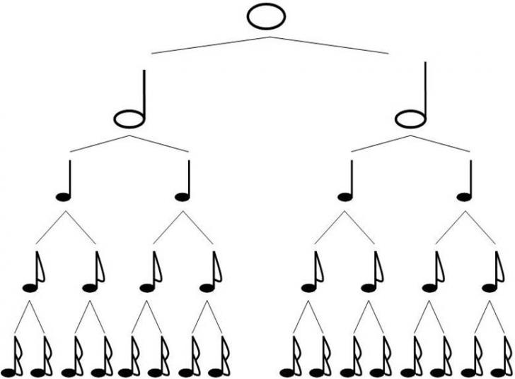
PIRAMIDA VALORILOR DE NOTE
- nota intreaga
(4 timpi)
- doime
(2 timpi)
- patrime
(1 timp)
- optime
(1/2 timp)
- saisprezecime
(1/4 timpi)
VALORI DE NOTE BINARE SI TERNARE

SCARA SUNETELOR MUZICALE
IMPARTIREA IN OCTAVE
TACTAREA
MASURA DE 2 TIMPI


TACTAREA
MASURA DE 3 TIMPI

TACTAREA
MASURA DE 4 TIMPI


GAMA DO MAJOR

ST ST T T T T T 3 M![]()
![]()
555i83f
555i83f
![]()
555i83f
555i83f
555i83f
![]()
![]()
![]()
![]()
![]()
![]()
![]()
![]()
![]()
![]()
555i83f
555i83f
![]()
![]()
![]()
![]()
![]()

![]()
![]()
![]()
![]()
![]()

![]()
![]()
![]()
![]()
![]()

![]()


![]()

555i83f
![]()
![]()
&
![]()
![]()
I II III IV V VI VII VIII

7 m
GAMA LA MINOR
555i83f

ST 3 m![]()
555i83f
![]()
![]()
![]()
![]()
![]()
![]()
![]()
![]()

![]()
![]()
![]()
![]()
![]()
![]()
![]()

![]()


![]()


![]()

555i83f
![]()
![]()
&





I II III IV V VI VII VIII


GAMA SOL MAJOR

3 M ST ST T T T T T![]()
![]()
![]()
![]()
![]()
![]()
![]()
555i83f
![]()
![]()
![]()
![]()
555i83f
555i83f
555i83f
555i83f
555i83f
555i83f
555i83f
![]()

![]()
![]()
![]()
![]()
![]()
![]()
![]()
![]()
![]()
![]()
![]()
![]()
![]()
![]()
![]()
![]()
![]()
![]()


![]()





![]()
![]()
![]()
![]()
![]()
![]()
![]()
&
I II III IV V VI VII VIII

GAMA MI MINOR

3 m T T T T ST T![]()
![]()
![]()
![]()
![]()
![]()
![]()
555i83f
![]()
![]()
![]()
![]()
![]()


![]()

![]()


![]()
555i83f
![]()
![]()
555i83f
![]()
![]()
![]()
555i83f
![]()
555i83f
555i83f
![]()
![]()
![]()
![]()
555i83f
![]()
![]()


![]()
![]()
![]()
![]()
![]()

![]()
![]()
&
ST
555i83f
I II III IV V VI VII VIII

GAMA FA MAJOR

b 3 M T T T T T ST ST
555i83f
555i83f
![]()
![]()
![]()

![]()
![]()
![]()
![]()


![]()


![]()
![]()

![]()
![]()


![]()
![]()
![]()
555i83f
555i83f
555i83f
![]()
![]()
![]()
![]()
![]()
![]()
![]()
![]()
555i83f
![]()
![]()
555i83f
![]()
![]()
![]()
![]()
555i83f
555i83f
![]()
![]()
&
I II III IV V VI VII VIII

7 m
GAMA RE MINOR
555i83f

T T T T T b 3 m
555i83f
555i83f
555i83f
555i83f
555i83f
![]()
![]()
![]()
![]()
![]()
![]()
![]()
![]()
![]()
![]()
![]()
![]()
![]()
![]()
![]()
![]()
![]()
![]()
![]()
![]()
![]()
![]()


![]()
![]()
![]()
![]()
![]()

![]()



![]()
![]()


![]()
![]()
![]()
555i83f
555i83f
![]()
![]()
&
|
ST |
I II III IV V VI VII VIII
|
NATURA VOCILOR |
REGISTRUL |
TIPUL DE VOCE |
|
Voci de copii |
mediu |
egale |
|
Voci de femei |
acut |
soprana |
|
mediu |
soprana dramatica |
|
|
mezzo-soprana |
||
|
grav |
alto |
|
|
Voci de barbati |
acut |
tenor |
|
mediu |
bariton |
|
|
grav |
bas |
TIMBRUL VOCAL
AMBITUSUL TIPURILOR DE VOCI
|
TIPUL DE INSTRUMENTE |
CLASIFICARE DUPA CARACTERISTICILE INSTRUMENTELOR |
DENUMIREA INSTRUMENTULUI |
|
INSTRUMENTE CU COARDE |
Instrumente care produc sunetele prin frecarea corzilor cu arcusul |
Vioara |
|
Viola |
||
|
Violoncelul |
||
|
Contrabasul |
||
|
Instrumente care produc sunetele prin ciupirea corzilor |
Harpa |
|
|
Clavecinul |
||
|
Chitara |
||
|
Instrumente care produc sunetele prin lovirea corzilor |
Pianul |
|
|
Pianina |
||
|
INSTRUMENTE DE SUFLAT |
Instrumente construite din LEMN |
Piculina |
|
Flautul |
||
|
Oboiul |
||
|
Cornul englez |
||
|
Clarinetul |
||
|
Clarinetul bas |
||
|
Fagotul |
||
|
Contrafagotul |
||
|
Instrumente construite din ALAMA |
Saxofonul |
|
|
Trompeta |
||
|
Cornul |
||
|
Trombonul |
||
|
Tuba |
CLASIFICAREA INSTRUMENTELOR
|
TIPUL DE INSTRUMENTE |
CLASIFICARE DUPA CARACTERISTICILE INSTRUMENTELOR |
DENUMIREA INSTRUMENTULUI |
|
INSTRUMENTE DE PERCUTIE |
Instrumente acordabile (cu sunete determinate) |
Timpanul |
|
Xilofonul |
||
|
Vibrafonul |
||
|
Clopotele |
||
|
Instrumente neacordabile (cu sunete nedeterminate) |
Toba mica |
|
|
Toba mare |
||
|
Talgerele |
||
|
Triunghiul |
||
|
Tamburina |
||
|
Castanietele |
||
|
INSTRUMENTE ELECTRONICE |
Orga |
|
|
Pianul |
||
|
Chitara electronica |
||
|
INSTRUMENTE COMPLEXE |
Orga mare |
|
|
Orga cu fluiere |
|