Documente online.
Zona de administrare documente. Fisierele tale
Am uitat parola x Creaza cont nou
 HomeExploreaza
upload
Upload




ECHILIBRUL GENERAL SI ECONOMIA BUNASTARII C

economie


ECHILIBRUL GENERAL sI ECONOMIA BUNĂSTĂRII C. Potentiale Īmbunatatiri Pareto sau Eficienta Kaldor-Hicks

Nesatisfacuti de criteriul Pareto, economistii au dezvoltat notiunea unei potentiale īmbunatatiri Pareto (uneori numita eficienta Kaldor-Hicks). Aceasta este o tentativa de a surmonta restrictia criteriului Pareto ca sunt recomandate numai acele schimbari īn care cel putin o persoana este īntr-o situatie mai buna si nici una īntr-una mai proasta. Acest criteriu necesita ca īn orice schimb cāstigatorii sa-i compenseze explicit pe perdanti. Daca 14214c223o nu exista plata explicita, perdantii se pot opune oricarei schimbari. Ca si ghid pentru politica publica, acesta are dezavantaje clare.  



Prin contrast, o potentiala īmbunatatire Pareto permite schimbari īn care exista cāstigatori si perdanti, dar necesita ca cāstigatorii sa cāstige mai mult decāt pierd perdantii. Daca aceasta conditie este satisfacuta, īn principiu cāstigatorii pot compensa perdantii si īnca au un surplus care le ramāne lor. Pentru o potentiala īmbunatatire Pareto, compensatia nu trebuie de fapt facuta, dar ea trebuie sa fie posibila īn principiu. Īn esenta. Aceasta este tehnica analizei cost-beneficiu. Īn analiza cost-beneficiu, un proiect este derulat cānd beneficiile sale despasesc costurile, ceea ce implica ca cāstigatorii pot compensa perdantii. Exista atāt probleme teoretice cāt si empirice cu acest standard, dar este indispensabil economiei bunastarii aplicate.  

Sa consideram cum aceste doua criterii - criteriul Pareto si criteriul Kaldor-Hicks - ne-ar ajuta sa analizam eficienta si dreptatea distributiva a deciziei unei uzine producatoare de a se muta. Sa prespunem ca uzina anunta ca urmeaza sa se mute din orasul A īn orasul B. Vor fi cāstigatori - cei din orasul B care vor fi angajati de noua uzina, comerciantii detailisti si constructorii de case din B, actionarii corporatiei, s.a.m.d. Dar vor fi si perdanti - cei din orasul A care vor ramāne fara loc de munca, comerciantii detailisti din A, clientii uzinei care vor fi acum localizati mai departe de uzina, s.a.m.d. Daca ar fi sa aplicam criteriul Pareto acestei decizii, cāstigatorii ar trebui sa plateasca perdantilor indiferent ce le-ar conveni lor pentru a le fi indiferent daca uzina sta īn A sau se muta īn B. Daca ar fi sa aplicam criteriul Pareto potential acestei decizii, cāstigatorii ar trebui sa cāstige mai mult decāt pierd perdantii.

 2.10. ELABORAREA DECIZIEI ĪN CONDIŢII DE INCERTITUDINE: RISC sI ASIGURARE 

Īn aproape toate modelele economice pe care le-am examinat pāna acum, am asumat implicit ca incertitudinea nu umbreste decizia. Aceasta este īn mod clar o asumare simplificatoare. Este timpul sa extindem modelul nostru economic de baza, prin permiterea explicita a prezentei incertitudinii.

2.10. ELABORAREA DECIZIEI ĪN CONDIŢII DE INCERTITUDINE: RISC sI ASIGURARE  A. Valoarea Monetara Asteptata

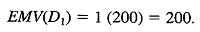
Sa presupunem ca un antreprenor analizeaza doua posibile proiecte īn care sa investeasca. Primul, D1, implica producerea unui rezultat a carui piata este familiara si stabila. Nu exista nici o incertitudine cu privire la rezultatul proiectului D1; antreprenorul poate fi īncrezator ca va obtine un profit de $200 daca va urma D1. Al doilea curs al actiunii, D2, implica un produs nou, a carui primire de catre publicul consumator este nesigura. Daca consumatorilor le va placea noul produs, antreprenorul poate cāstiga un profit de $400. Totusi, daca ei nu vor placea produsul, antreprenorul va avea o pierdere de $50.  

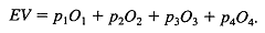
Cum se presupune ca va compara antreprenorul aceste doua proiecte? O posibilitate este sa compare valorile lor monetare asteptate[1]. O valoare asteptata este suma probabilitatilor fiecaruia dintre rezultatele posibile īnmultite cu valoarea fiecareia dintre aceste rezultate. De exemplu, sa presupunem ca, la o decizie, sunt patru rezultate numerice posibile, etichetate cu O1 la O4. Sa presupunem de asemenea ca sunt patru estimari de probabilitate separate, etichetate cu p1 la p4 , associate cu fiecare dintre cele patru rezultate. Daca acestea sunt singurele rezultate posibile, atunci suma probabilitatilor trebuie sa fie 1. Atunci, valoarea asteptata (EV) a acestei decizii este:  



Daca rezultatele sunt monetare, atunci valoarea asteptata este de asemenea monetara. Revenind la antreprenor, el poate calcula valoarea monetara asteptata (EMV) a lui D1 ca si produs al probabilitatii acestui eveniment (aici, deoarece am asumat ca rezultatul este sigur, probabilitatea este 1) si valoarea monetara asteptata a rezultatului (aici, profit de $200):

Calculul valorii monetare asteptate a deciziei D2 este mai greu. Aici sunt doua rezultate posibile si, pentru a efectua calculul antreprenorul are nevoie sa cunoasca probabilitatile celor doua rezultate. Sa notam cu p probabilitatea de reusita a noului produs. Atunci, (1- p) este probabilitatea ca el sa esueze. Astfel, valoarea monetara asteptata a lui D2 este data de expresia:  

Astfel, daca probabilitatea de succes pentru noul produs este egala cu 0,3 valoarea monetara asteptata a deciziei de a introduce acest nou produs este egala cu $85.  

De unde ia decidentul informatia cu privire la probabilitatile diverselor rezultate? Probabil ca antreprenorul experimentat are vreo intuitie cu privire la p sau posibil ca studii de markeing au furnizat o baza stiintifica pentru evaluarea lui p. O alta varianta īnca poate fi ca el sa calculeze nivelul lui p care va face valoarea monetara asteptata a lui D2  egala cu aceea a evenimentului sigur, D1 . Un motiv puternic pentru a proceda asa ar fi ca, desi el s-ar putea sa stie sigur care este p . ar fi de valoare pentru el sa stie cāt de mare trebuie sa fie p pentru a-i da acelasi profit ca si cursul sigur al actiunii, D1. De exemplu, chiar daca nu a fost nici o cale pentru a cunoaste cu siguranta valoarea lui p, sa presupunem ca daca aceasta ar fi calculata astfel īncāt cursul incert al actiunii sa aibe o valoare asteptata mai mare decāt cursul sigur al actiunii probabilitatea de succes a noului produs ar trebui sa fie 0,95, aproape o certitudine. Aceasta ar fi informatie valoroasa.  

Este o chestiune simpla sa se calculeze nivelul lui p care face egale valorile monetare asteptate ale lui D1 si D2. Acesta este p care rezolva urmatoarea ecuatie:  

Desigur, implicatia este ca daca probabilitatea de succes a noului produs este 0,556 sau mai mare, atunci D2 are o valoare monetara asteptata mai mare decāt o are D1 si antreprenorul va alege D2. Īn mod tipic, analiza economica asuma ca decidentul poate forma probabilitatile īntr-un mod sau īn celalalt astfel īncāt asteptarile pot fi calculate.




Document Info


Accesari: 3419
Apreciat: hand-up

Comenteaza documentul:

Nu esti inregistrat
Trebuie sa fii utilizator inregistrat pentru a putea comenta


Creaza cont nou

A fost util?

Daca documentul a fost util si crezi ca merita
sa adaugi un link catre el la tine in site


in pagina web a site-ului tau.




eCoduri.com - coduri postale, contabile, CAEN sau bancare

Politica de confidentialitate | Termenii si conditii de utilizare




Copyright © Contact (SCRIGROUP Int. 2026 )