Ce este econometria ?
1.1 Scurt istoric privind aparitia si dezvoltarea econometriei
Un moment important in constituirea si dezvoltarea ECONOMETRIEI ca disciplina economica de frontiera, aparuta in domeniile de interferenta ale teoriei economice, statisticii si matematicii, se considera anul 1930 (29 decembrie), cand s-a infiintat la Cleveland Societatea de Econometrie (Econometric Society), avandu-i ca initiatori pe: Irving Fischer - presedinte, L. V. Bortkiewicz, R. Frisch, H. Hotelling, L. Schumpeter, N. Wiener si altii.
Un rol deosebit in dezvoltarea si popularizarea econometriei 1-a avut revista acestei societati, "Econometrica", care apare trimestrial, incepand din ianuarie 1933.
Ethnologic, termenul de econometrie provine din cuvintele grecesti: eikonomia (economie) si metren (masura). El a fost introdus (1926) de catre Ragnar Frisch, economist si statistician norvegian, prin analogie cu termenul "biometrie", folosit de Fr. Gallon si K. Pearson la sfarsitul secolului XIX, care desemna cercetarile biologice ce utilizau metodele statisticii matematice.
Dar nu cei care au introdus termenul si au infiintat Societatea de Econometrie au si "inventat" aceasta disciplina.
Sub aspect istoric, studierea cantitativa a fenomenelor economice este mult mai veche. Printre precursorii econometriei moderne pot fi citati: F. Quesnay, W. Petty, Gregory King, A. Cournot, Leon Walras, E. Engel, A. Marshall, R. A. Fisher, K. Pearson si altii.
In perioada contemporana, contributii importante la dezvoltarea econometriei au fost aduse de:
In momentul actual, impulsionata puternic de revolutia tehnico-stiintifica - cu realizari de
varf in domeniul calculatoarelor electronice - econometria a devenit un instrument metodologic de
baza, indispensabil teoriei si practicii economice pentru investigarea riguroasa a fenomenelor si
proceselor economice.
1.2 Definitiile econometriei
Dezvoltarea rapida a econometriei a general formularea mai multor definitii cu privire la domeniul acestei discipline economice. Totusi, marea majoritate a acestora poate fi incadrata in urmatoarele trei grupe:
a) -definitia istorica;
b) -definitia restrictiva;
c) -definitia extinsa.
a) Definitia istorica a econometriei a fost formulata de R. Frisch in
primul numar al revistei
"Econometrica",in ianuarie 1933: "experienta a aratat ca fiecare
din urmatoarele trei puncte de
vedere, al statisticii, al teoriei economice si al matematicii, este o conditie
necesara, dar nu si
suficienta, pentru o intelegere efectiva a
realitatilor cantitative din economia moderna; unificarea lor
este aceea care asigura eficienta. Econometria
este tocmai aceasta unificare ".
Conform acestei definitii, sustinatorii ei considera ca prin econometrie se intelege studierea fenomenelor economice pe baza datelor statistice cu ajutorul modelelor matematicii.'
b) Definitia
restricts propusa de Cowles Commission for Research in Economics
(Chicago, 1940-1950), considera ca nu exista econometrie daca investigarea
fenomenelor
economice nu se face cu ajutorul modelelor aleatoare (stochastice).
Sustinatorii acestei definitii, L. R. Klein, E. Malinvaud, G. Rottier, includ in domeniul econometriei numai cercetarile economice care utilizeaza metodele inductiei statistice - teoria estimatiei, verificarea ipotezelor statistice - la verificarea relatiilor cantitative formulate in teoria economica cu privire la fenomenele sau procesele economice cercetate.
Conform acestor definitii, un studiu econometric presupum:
existenta prealabild a unei teorii economice privind fenomenul, procesul sau sistemul economic cercetat, pe baza careia se construieste modelul economic, care reprezinta formalizarea ipotezelor teoriei economice cu privire la fenomenul, procesul sau sistemul investigat;
posibilitatea aplicdrii metodelor inductiei statistice la verificarea ipotezelor teoriei economice; construirea modelului econometric si rezolvarea acestuia.
Aceasta definitie restrictiva exclude din domeniul econometriei cercetarile economice care nusefundamenteazape:
o teorie economica - implicita sau explicita privind modelul econometric al fenomenului, procesului sau sistemului studiat;
o interpretare aleatoare a modelului respectiv.
Astfel, analiza seriilor cronologice, modelul lui Leontief (B.L.R.) ca si statistica economica (care se fundamenteaza pe metoda balantelor) nu intra in sfera de cuprindere a econometriei: prima, deoarece existenta unei teorii economice nu este necesara, iar ultimele doua, fiindca nu permit aplicarea metodelor inductiei statistice.
c) Definitia extinsa a econometriei, promovata de economist!! din tarile anglo-saxone,
tine
seama de puternica dezvoltare, aparuta dupa 1950, a metodelor cercetarii
operational: teoria
optimului, teoria stocurilor, teoria grafelor, teoria deciziilor, teoria
jocurilor, etc.
Prin econometrie, in sensul larg al termenului, se intelege econometria, definita in mod restrictiv, adica, include domeniile mentionate atunci cdnd ea este inteleasd in sens restrictiv, la care se adaugd metodele cercetarii operationale. In prezent, in domeniul econometriei se includ si tehnicile moderne de analiza a datelor sau analiza marilor tabele.
Deoarece inca nu s-a cristalizat o conceptie unitara privind "frontierele" econometriei, in manualele sau tratatele de econometrie, autorii, de regula, isi mentioneaza conceptia pe baza careia si-au structural lucrarile.
In tara noastra, atat in literatura de specialitate, desi rareori se fac precizari exprese, cat si prin structura planurilor de invatamant de la facultdtile economice, econometria este conceputd si aplicatd ca metoda generald de investigare cantitativd a fenomenelor si proceselor economice -adica, in acceptiunea larga a termenului.
Un domeniu mai putin abordat, atat teoretic, cat si practic, il constituie metodele econometriei, in sensul restrictiv al termenului, respectiv modelele aleatoare (stochastice).
Modelele deterministe, utilizate in mod curent si de multa vreme in teoria si practica economica din tara noastra, sunt de multe ori inadecvate pentru a explica si, mai ales, pentru a prognoza pertinent evolutia fenomenelor, proceselor sau sistemelor economice, elemente dinamice prin natura lor.
De asemenea, in studiile mult mai recente, se insista asupra faptului ca studiul seriilor de timp privind evolutia fenomenelor economice nu poate fi independent de teoria economica. Se au in vedere, in acest sens, nu atat determinarea si extragerea econometrica a tendintei, cat si aspectele legate de efectul intarziat in timp, propagarea impulsului unor variabile exogene asupra variabilei prognozate, natura oscilatiilor de diferite frecvente etc. Acestea sunt motivele care au determinat ca modelele dinamice - bazate pe analiza evolutiei in timp a fenomenelor economice - sa-si gaseasca locul in arsenalul modelelor econometrice prezentate in acest curs.
1.3 Notiuni si concepte fundamentale ale econometriei
Metoda modelelor sau metoda modelarii reprezinta principalul instrument de investigare econometrica a fenomenelor econometrice.
Dar, modelarea sau metoda modelelor nu constituie o noutate in stiinta economica. Tabloul economic al economistului fiziocrat F. Quesnay (1738), legile lui Engel (1857), coeficientul de elasticitate formulat de Marshall (1890) reprezinta momente istorice de la care cercetarea economica trece de la etapa descriptiva la etapa de explicare formala a cauzelor si formelor de manifestare ale fenomenelor economice.
In general, MODELUL reprezinta un instrument de cercetare stiintifica, o imagine conventionale!, homomorfa, simplificata a obiectului supus cercetarii.
Fiind o constructie abstracts, in care se neglijeaza proprietatile neesentiale, modelul este mai accesibil investigatiei intreprinse de subiect, aceasta fiind una din explicatiile multiplelor utilizari pe care modelul le are in epoca contemporana.
Utilizat in economie, modelul - imagine abstracts, formala a unui fenomen, proces sau sistem economic - se construieste in concordanta cu teoria economica, rezultand modelul economic.
Modelul economic, reproducand in mod simbolic teoria economica a obiectivului investigat, prin transformarea sa in model econometric, devine un obiect supus cercetarii si experimentarii (verificarii), de la care se obtin informatii noi privind comportamentul fenomenului respectiv.
In acest mod, reprezentarile econometrice, spre deosebire de modelele economice care explica structura fenomenului sau procesului economic de pe pozitia teoriei economice, au intotdeauna o finalitate practicd, operationald, ele devenind instrumente de control si dirijare, de simulare si de previziune a fenomenelor economice.
VARIABILELE care formeaza structura unui sistem econometric, dupa natura lor, pot fi:
a) variabile economice;
b) variabila eroare (aleatoare), u;
c) variabila timp, t.
a) Variabilele economice, de regula, se impart in variabile explicate, rezultative sau ENDOGENE, Yi , i=1...,n , si variabile explicative, factoriale sau EXOGENE, Xj, j=1...,k, independente de variabilele endogene 7 ; (n - numarul variabilelor rezultative; k - numarul variabilelor factoriale). In cazul modelelor de simulare sau de prognoza, variabilele Xj se mai impart in variabile exogene predeterminate (variabile de stare a sistemului - capacitatea de productie a unei intreprinderi, sau cu lag = xt-1, yt-1 si variabile instrumental sau de comanda economica (dobanda, impozitul pe profit etc.)
b) Variabila ALEATOARE, u, sintetizeaza ansamblul variabilelor, cu exceptia variabilelor Xj, care influenteaza variabila endogena Yi dar care nu sunt specificate in modelul econometric. Aceste variabile (factori), pe baza ipotezelor teoriei economice, sunt considerate factori intamplatori (neesentiali), spre deosebire de variabilele Xj, care reprezinta factorii determinanti (esentiali) ai variabilei Yt.
De asemenea, variabila eroare reprezinta eventualele erori de masura - erori intamplatoare si nu sistematice - continute de datele statistice privind variabilele economice.
Pe baza acestor premise economice se accepta ca variabila aleatoare "u" urmeaza o lege de probabilitate L(u), in acest scop formulandu-se o serie de ipoteze statistice cu privire la natura
distributiei acestei variabile, ipoteze statistice care vor trebui testate cu teste statistice adecvate fiecarei ipoteze.
c) Variabila TIMP, t, se introduce in anumite modele econometrice ca variabila explicativa a fenomenului endogen Yh imprimandu-se acestora un atribut dinamic, spre deosebire de modelele statice.
Desi timpul nu poate fi interprets ca variabila concreta (economica), se recurge la aceasta variabila explicativa (fictiva) din doua motive:
in primul rand, timpul, ca variabila econometrica, permite identificarea unor regularitati intr-un proces evolutiv, ceea ce constituie un prim pas spre specificarea precisa a unor variabile care actioneazaintimp;
in al doilea rand, el reprezinta masura artificial* a acelor variabile care actioneaza asupra variabilei Y care, fund de natura calitativa, nu pot fi cuantificate si, ca atare, nici specificate in modelul econometric. Un exemplu cunoscut in acest sens il constituie functia de productie Cobb-Douglas cu progres tehnic autonom:
Q =A Kα Lβ ect u
unde: Q = volumul fizic al productiei;
K=capitalul;
L = forta de munca;
e = numarul natural;
t = timpul;
u = variabila aleatoare;
A, α, β si ct = parametrii functiei, ct reprezentand masura econometrica a influentei progresului tehnic asupra volumului productiei.
Sursa de date - Variabilele economice se introduc intr-un model econometric cu valorile lor reale sau empirice (y = y1, y2,..., yn; x = x1, x2,..., xn; n = numarul unitatilor observate). Aceste valori ale variabilelor unui model se pot obtine pe doua cai: fie pe baza sistemului informational statistic (banca de date), fie prin efectuarea de observari statistice special organizate - de tipul anchetelor statistice.
O problema fundamental care se ridica in aceasta etapa o reprezinta calitatea datelor statistice, respectiv autenticitatea si veridicitatea acestora. Daca un model economic se construieste cu date false sau afectate de erori de masura, el va capata aceste deficiente, fiind compromis sub aspect operational.
Deoarece problema autenticitatii datelor economice tine de domeniul statisticii economice, ne vom rezuma numai a aminti ca datele statistice care privesc variabilele economice specificate in model trebuie sa fie culese fara erori sistematice de observare si de prelucrare, indeplinind conditiile de omogenitate. Omogenitatea datelor presupune:
colectarea lor de la unitati statistice omogene;
reprezentarea acelorasi definitii si metodologii de calcul cu privire la sfera de cuprindere ale acestora in timp sau in spatiu;
descrierea evolutiei fenomenelor intr-un interval de timp in care nu s-au produs modificari fundamental privind conditiile de desfasurare a procesului analizat;
exprimarea variabilelor in aceleasi unitati de masura, conditie care se refera, in mod special, la evaluarea indicatorilor economic! in preturi comparabile sau preturi reale.
"Materia prima" pentru calcule economice o constituie seriile cronologice (serii de timp sau serii dinamice), mai rar seriile teritoriale, ale variabilelor economice respective, preluate sau construite pe baza bancii de date statistice existente.
O serie cronologica se construieste prin observarea variabilelor Y si Xpe perioade egale de timp (t = l,2,..T,t reprezentand luni, trimestre, ani) la aceeasi unitate economica:
|
t |
2 ... T |
|
xt |
x x2 xT |
|
yt |
y y2 ... yT |
In comparatie cu aceasta, o serie de spatiu rezulta prin observarea variabilelor Y si X intr-o anumita perioada de timp - luna, trimestru, semestru, an - la un anumit numar de unitati socio-
economice omogene, i a \,n, n - numarul unitatilor de acelasi profil, ce apartin aceluiasj sector economic etc. O astfel de serie se prezinta, de regula, sub urmatoarea forma:
Intr-un model econometric, un fenomen economic X = , i =1...n poate fi introdus cu urmatoarele valori:
1) Valori reale sau empirice, xi = (x1; x2,...xn), valori exprimate in unitati de masura specifice naturii fenomenului X, ele fiind marimi concrete si pozitive, deci apartin sistemului numerelor rationale. Vectorul valorilor lui X, x i= (x1; x2,...xn) poate fi definit prin doi parametri:
media aritmetica a variabilei X

abaterea medie patratica a variabilei X

De obicei, se
considers ca variabila X urmeaza
o distribute normala de medie x si
de abatere medie patratica σx
:
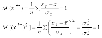
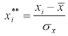
Valorile centrate

Aceste valori sunt tot marimi concrete, dar ele apartin sistemului numerelor reale avand atat valori pozitive cat si negative.
Se poate demonstra usor ca aceste valori centrate au media egala cu zero, iar dispersia lor este egala cu dispersia valorilor reale:

.
Media si dispersia acestor valori este:

In plus fata de aceste doua proprietati L(x) = N(0;1)2 abaterile standard sunt marimi abstracte (adimensionale). Aceste calitati conduc, atat la diminuarea calculelor statistice cu aceste
valori, cat si la efectuarea de comparatii intre distributiile mai multor fenomene economice de naturi diferite.
Un model econometric poate ft format dintr-o singurd relatie sau dintr-un sistem de relatii statistice. Aceste relatii pot ft: relatii de identitate sau deterministe, relatii de comportament, relatii tehnologice si relatii 'institutionale'.
Relatiile de identitate sunt de tipul ecuatiilor de balanta folosite in "Sistemul de balante ale economiei nationale"
Relatiile de comportament sunt acele ecuatii stochastice care reflecta si modeleaza un proces de luare a deciziei, care incearca sa descrie 'raspunsul variabilei endogene Y, sub forma deciziei, la un set de valori ale variabilelor exogene. De exemplu, intr-un model macroeconomic, relatiile de comportament se refera la dependente privind consumul, investitiile, importul si exportul, sistemul de preturi, cererea monetara, etc. '
Relatiile tehnologice descriu atat imperativele de ordin tehnologic privind productia cat si relatiile tehnico-economice existente in productie, forta de munca si fondurile de productie'ale unei unitati, ale unei ramuri sau ale economiei nationale. Aceste relatii tehnologice sunt reprezentate de cunoscutele functii de productie de diferite tipuri.
Relatiile institutionale sunt folosite pentru a explica in mod determinist sau stochastic fenomenele care sunt determinate fie de lege, fie de traditie sau fie de obiceiuri. Din randul acestora fac parte, de exemplu, ecuatiile care explica stabilirea impozitelor sau a cotizatiilor in functie de venit.
Tipologia modelelor econometrice este extrem de vasta. Totusi, un model econometric poate fi construit prin intermediul unei singure ecuatii de comportament, tehnologice sau institutionale, sau cu ajutorul unui sistem de ecuatii de genul celor patru relatii, mentionate mai sus, denumite modelecu ecuatii multiple.
Testele statistice sunt instrumente de lucru indispensabile investigatiei econometrice. Necesitatea utilizarii acestora este determinata de faptul ca demersul econometric consta intr-o insiruire logica de ipoteze privind semnificatia variabilelor exogene, a calitatii estimatiilor obtinute, a gradului de performanta a modelelor construite. Acceptarea sau respiungerea ipotezelor formulate in econometrie se poate'face cu ajutorul mai multor teste, cele mai uzuale fiind: testul/, testul t, testul Fete.
Pe langa aceste teste statistice, in practica curenta, in diverse domenii, se foloseste frecvent un test denumit "testul erorii". In general, aplicarea acestui test presupune compararea a doua valori:
= valoarea observata sau estimata;
T = valoarea teoretica, asteptata sau prognozata.
Pe baza celor doua valori se definesc:
eroarea absoluta,
eroarea relativa,
Se construiesc cele doua ipoteze:
Stabilindu-se arbitrar o valoare absoluta (Ea) sau relativa (Er) de echivalare a celor doua valori, (0) si (T), regula de (alegere) decizie a celor doua ipoteze este urmatoarea:
este acceptata ipoteza H0 daca
![]()
sau
![]()
atunci cele doua valori, (0) si (T), sunt echivalente, adica diferentele dintre ele sunt intamplatoare si nu sistematice;
![]()
sau
![]()
atunci cele doua valori, (0) si (T), difera semnificativ si nu pot fi considerate ca echivalente, respectiv extrase din aceeasi urna sau dintr-o colectivitate omogena.
Acest test al erorii este utilizat in mod curent in domeniul analizei statistico-economice a variatiei in timp si/sau in spatiu a unui fenomen economic, dar poate fi aplicat si in domeniul econometriei, dar cu discernamant si nu in mod excesiv.
1.4 Locul si rolul econometriei in sistemul stiintelor economice
Aparitia si rapida afirmare a econometriei trebuie inteleasa si explicata prin prisma raportului dialectic dintre teorie si practica, a conexiunii inverse pozitive ce se manifesta intre elementele acestui raport.
Dezvoltarea continua si dinamica a fortelor de productie sub impactul progresului stiintific si tehnic modifica conditiile si interdependent^ din productie, repartitie, circulatie si consum, ceea ce, pe plan teoretic si practic, creeaza probleme dificile privind explicarea si'dirijarea evolutiei fenomenelor economico-sociale catre anumiti indicatori tinta, formulati si urmariti de o anumita politica economica.
Necesitatea elaborarii unor instrumente de investigare si de sporire a eficientei metodelor de organizare, dirijare si conducere a economiei, pe de o parte, si succesele metodelor statistico-matematice in alte domenii ale printer fizica, chimie, astronomie etc. pe de alta parte, an determinat adoptarea de catre stiintele economice a acestor metode.
Econometria s-a format si se dezvolta nu in urma unui proces de diversificare a stiintei economice, ci prin integrarea dintre teoria economica, matematica si statistica.
In cadrul aceastei triade, teorie economica - matematica - statistica, locul central il ocupa teoria economica. Desi penetrarea stiintei economice de catre metodele statistico-matematice reprezinta un progres calitativ, nu trebuie uitat faptul ca fenomenele economice, pe langa componenta lor cuantificabila, contin aspecte care nu pot fi reprezentate prin cantitate. Aceste particularitati ale fenomenelor economice constituie, in general, limitele econometriei in sistemul stiintelor economice.
De remarcat ca raporturile econometriei cu stiintele economice nu sunt numai de dependents
Intr-adevar, un model econometric nu se poate elabora daca nu s-a constituit o teorie economica a obiectului cercetat. Similitudinea sa formala cu obiectul economic investigat depinde de nivelul de abstractizare a teoriei, de definirea univoca si operationala a notiunilor si categoriilor economice, de scopurile urmarite de teoria economica - scopuri euristice sau de dirijare privind obiectul studiat.
Modelul astfel construit reprezinta o veriga intermediary intre teorie ?i realitate. El reprezinta o cale de confruntare a teoriei cu practica, singurul mod de experimentare pe baza caruia ?tiinta economica i?i poate fundamenta ipotezele, din moment ce obiectul sau de cercetare poate fi numai observat, nu si izolat si cercetat in laborator.
Prin aceasta experimentare, mijlocita de modelul econometric, stiintele economice valideaza, renunta sau elaboreaza metode noi, isi confrunta problemele de semantica si semiotica economica, imbogatindu-si in felul acesta sistemul de informatii privind structura si evolutia obiectului economic.
In prezent, tipologia metodelor econometrice utilizate de stiintele economice este extrem de vasta. Folosirea din ce in ce mai ampla a acestor modele la investigarea fenomenelor economice se datoreaza progreselor insemnate facute in domeniul metodelor de estimare a parametrilor modelelor si al testelor de verificare pe care se fundamenteaza acestea si, nu in ultimul rand, al utilizarii calculatoarelor electronice care permit rezolvarea operativa a celor mai complexe modele econometrice.
Particularizand legaturile econometriei cu unele dintre disciplined economice, este necesar sa subliniem corespondenta dintre modelarea econometrica si previziune. Previziunea macro sau microeconomics reprezinta un domeniu care utilizeaza in mare masura rezultatele simularii si, mai ales, ale predictiei econometrice. Activitatea de previziune a economiei este aceea care "ofera" o serie de elemente utile elaborarii modelului privind, indeosebi, etapa de specificare a acestuia. In aceasta etapa, previziunea delineate variabilele endogene (rezultative) si pachetul variabilelor exogene corespunzatoare obiectivelor urmarite in functie de informatiile statistice existente. Econometria, la randul ei, contribuie la obtinerea variantelor economice, oferind informatii cu privire la comportamentul variabilelor endogene in diverse alternative de actionare a parghiilor economice. In acest fel, previziunii economice i se ofera o perspectiva in legatura cu ceea ce s-ar putea intampla in viitor, fie si in linii mari, in raport cu diferitele variante ale politicii economice care ar putea fi aplicate.
Mentionam, de asemenea, legatura econometriei cu sistemul financiar-contabil, domeniu in care modelarea patrunde tot mai mult - vezi modelele ARCH. De asemenea, trebuie remarcat faptul ca, la elaborarea modelelor econometrice, se recomanda, cu o tot mai mare insistenta, introducerea relatiilor financiar-bancare, ca fiind deosebit de semnificative pentru descrierea mecanismelor economice.
Domeniul cooperarii economice international, ca, de altfel, si eel privind comertul interior, domeniu in care previziunile sunt greu de realizat, altfel decat cu ajutorul metodelor statistice, reprezinta, de asemenea, sectoare ale economiei ce pot beneficia de rezultatele econometriei in ceea ce priveste planificarea si eficientizarea activitatilor desfasurate. Este totodata necesar sa subliniem frecventa tot mai mare a aplicarii metodelor econometrice in lucrari din domeniul biologiei, medicinei, demografiei si, in special, in domeniul marketingului, managementului sau viitorologiei.
In concluzie, se poate retine ideea ca metoda econometriei este metoda modelarii sau metoda modelelor. Modelul econometric - expresie formala, inductiva a unei legitati economice -reprezinta un mijloc de cunoastere a unui obiect economic, iar modelarea econometrica este o metoda care conduce la obtinerea de cunostiinte sau informatii noi privind starea, structura (conexiunile dintre elemente) si evolutia unui proces sau sistem economic.
|