1.3.3 Trasaturile de baza ale unei īntreprinderi de productie
Prin obiectul sau de activitate o īntreprindere are rolul de a-si folosi cu eficienta mijloacele de productie pe care le detine īn conditiile folosirii cāt mai complete a capacitatilor de productie, a unei calitati ridicate a produselor si a obtinerii de profit.
O īntreprindere de productie industriala se caracterizeaza prin trei trasaturi de baza:
unitatea tehnico-productiva;
unitatea organizatorico-administrativa;
unitatea economico-sociala.
Unitatea tehnico-productiva este determinata de faptul ca īntreprinderea de productie industriala dispune de un complex de factori de productie, īn anumite raporturi cantitative si calitative astfel īncāt sa fie realizat īn conditii de eficienta obiectivul stabilit de catre aceasta.
Īn cadrul acestei trasaturi de baza se evidentiaza doua aspecte principale:
a) omogenitatea procesului tehnologic īn toate subunitatile de productie de baza specializate īn executarea anumitor produse sau componente ale acestora;
b) unitatea productiei fabricate īn īntreprindere.
Pentru īntreprinderile caracterizate prin omogenitatea procesului tehnologic, īn cadrul subunitatilor sale de productie de baza, procesul tehnologic este asemanator, utilizāndu-se masini si utilaje cu aceiasi destinatie tehnologica, muncitorii au aceiasi profesie si grad de calificare, iar modul de organizare al acestora este asemanator. Acest aspect al trasaturii tehnico-productive este cel mai
des īntālnit īn īntreprinderi de turnatorie, tesatorii, filaturi etc.
Īn fig. 1.2 este prezentata o īntreprindere de turnatorie caracterizata prin omogenitatea procesului tehnologic.

Īn cadrul celui de-al doilea aspect al unitatii tehnico-productive, al unitatii productiei fabricate, o īntreprindere reuneste subunitati de productie specializate īn realizarea unui numar foarte mic de produse sau componente ale acestora.
Pentru aceasta, se reunesc procese neomogene īn cadrul aceleiasi subunitati de productie.
Din punctul de vedere al modului cum sunt reunite procesele tehnologice neomogene, pot exista trei variante de realizare a productiei īn subunitatile de productie de baza.
Prima varianta presupune crearea de subunitati de productie pentru realizarea īn cadrul fiecarei subunitati de productie de baza a unei singure operatii tehnologice pentru toate produsele care urmeaza sa fie prelucrate.
Vom exemplifica īn fig.1.3 acest mod de organizare a procesului tehnologic pentru o īntreprindere de tesatorie.

Īn cea de-a doua varianta sub care poate apare unitatea productiei fabricate toate subunitatile de baza ale īntreprinderii contin toate fazele procesului tehnologic necesare realizarii unui singur fel de produs. Folosind acelasi exemplu al īntreprinderii de tesatorie, schema sectiilor de productie īn acest caz este prezentata īn fig.1.4;

Īn schema de mai sus au fost utilizate urmatoarele simboluri:
V - operatia tehnologica de vopsitorie;
F - operatia tehnologica de filatura;
T - operatia tehnologica de tesatorie;
Fin - operatia tehnologica de finisaj.
A treia varianta presupune existenta īn īntreprindere a doua feluri de sectii de baza si anume:
- sectii de baza īn cadrul carora se realizeaza o singura faza de proces
tehnologic pentru toate produsele din cadrul īntreprinderii;
- sectii de baza īn cadrul carora se realizeaza faze de proces tehnologic doar
pentru un singur tip de produs. Īn general, īn categoria primului tip de sectii se
desfasoara stadii tehnologice pregatitoare, cum ar fi: vopsitoria si filatura, iar īn
celelalte operatii de prelucrare propriu-zisa, cum ar fi tesatoria si finisajul
produselor.
Īn fig. 1.5 este prezentat modul de organizare al sectiilor de baza conform
celor prezentate anterior pentru aceiasi īntreprindere de tesatorie; acest mod de
organizare este prezentat doar cu titlu teoretic, īn realitate īntreprinderile de
tesatorie fiind alcatuite dupa schema din varianta īntāi.

Pe lānga cele prezentate anterior, unitatea tehnico-productiva mai īnsemneaza pentru o īntreprindere de productie industriala si faptul ca īn cadrul acesteia exista un ansamblu de sectii auxiliare si de servire, formānd īmpreuna un sistem tehnico-productiv amplasat pe un teritoriu bine delimitat al īntreprinderii.
Unitatea organizatorico-administrativa este data de faptul ca la īnfiintarea īntreprinderii se stabil 343c24d este pentru aceasta un sediu, un obiect al activitatii, o denumire, un complex de mijloace de productie, un personal si o conducere proprie.
Prezenta acestor elemente face ca īntreprinderea sa aiba din punct de vedere organizatorico-administrativ urmatoarele caracteristici:
poate decide asupra produselor sau serviciilor care pot fi oferite pe
piata;
poate decide asupra activitatilor de management care vor fi utilizate;
poate decide asupra modului de utilizare a resurselor financiare si a
modului de īmpartire a profitului.
Unitatea economico - sociala este data de faptul ca īntreprinderea este organizata si functioneaza pe baza principiilor de rentabilitate si de eficienta economica. Din acest motiv, o astfel de īntreprindere se caracterizeaza din punct de vedere economico-social prin urmatoarele:
indiferent de forma de proprietate orice īntreprindere are īn dotare
mijloace de productie proprii;
functioneaza pe baza strategiei si tacticii stabilite de conducerea acesteia īn vederea realizarii obiectivului propus;
poate fi desfiintata, reorganizata sau poate sa-si modifice obiectul de
activitate, denumirea sau sediul pe baza unor hotarāri ale organelor care
au constituit-o;
īsi desfasoara activitatea pe baza de autofinantare;
trebuie sa asigure cunoastere temeinica a pietelor de desfacere, īn vederea realizarii integrale a productiei.
Aceste trasaturi de baza ale unei īntreprinderi de productie industriale pot avea o serie de particularitati distincte īn functie de conditiile specifice īn care o īntreprindere sau alta īsi desfasoara activitatea.
CAPITOLUL 2
2.1 Procesul de productie: notiune, tipologie, factori de influenta
2.1.2 Tipologia proceselor de productie
Datorita marii diversitati a proceselor de productie acestea trebuie grupate
īn grupe de procese care au caracteristici comune īn functie de anumite criterii de
grupare.
Cele mai utilizate criterii de grupare a proceselor de productie sunt:
a) dupa modul de participare la obtinerea produsului finit;
b) dupa gradul de continuitate;
c) dupa modul de obtinere a produsului finit;
d) dupa gradul de periodicitate;
e) dupa natura tehnologica.
a) Īn functie de modul cum participa la realizarea produsului finit
procesele de productie sunt:
procese de productie de baza;
procese de productie auxiliare;
procese de productie de servire;
procese de productie anexa.
Procesele de productie de baza transforma materiile prime si materiale īn
produse finite care constituie obiectul activitatii de baza al īntreprinderii: procese
de prelucrare mecanica si montaj īn constructii de masini, tesatorie īn industria
textila etc.
Procesele de productie de baza pot fi la rāndul lor:
procese de baza pregatitoare;
procese de baza prelucratoare;
procese de montaj-finisaj.
Procesele de baza pregatitoare pregatesc materiile prime si materialele
pentru prelucrarea propriu-zisa - procesele de turnare si forjare īn industria
constructiilor de masini, procesele de vopsire si filatura din industria textila,
procesele de croit īn industria confectiilor sau de īncaltaminte.
Procesele de baza prelucratore efectueaza operatii de prelucrare propriuzisa
a materiilor prime si a materialelor īn vederea transformarii lor īn produsele
finite-procese de prelucrari mecanice īn constructii de masini, procesele de
tesatorie īn industria textila, procesele de coasere īn confectii etc.
Procesele de baza de montaj-finisaj sunt acele procese care asigura
obtinere formei finale a produsului īnainte de livrarea la consumator.
Procesele de productie auxiliare asigura obtinere unor produse sau lucrari
care nu constituie obiectul activitatii de baza al īntreprinderii, dar care asigura buna
functionare a proceselor de productie de baza - procesele de reparare a utilajelor si
echipamentelor, de obtinere a SDV-urilor necesare īn procesele de productie de
baza, de obtinere a diferitelor feluri de energie etc.
Organizarea structurala a sistemelor de productie
Procesele de productie de servire asigura obtinerea unor servicii care nu
constituie obiectul activitatii de baza al īntreprinderii, dar ajuta la buna desfasurare
a proceselor de productie de baza si auxiliare-procesele de transport intern, de
depozitare sau de transport a diferitelor feluri de energie pe cabluri sau conducte.
b) Dupa gradul de continuitate procesele de productie sunt:
procese de productie continue;
procese de productie periodice.
Procesele de productie continue se caracterizeaza prin aceea ca asigura o
transformare continua a materiilor prime īn produse finite īn instalatii de aparatura,
pe tot parcursul fluxului de productie parametrii tehnologici avānd aceleasi valori.
Procesele de productie periodice se caracterizeaza prin aceea ca produsele
sunt elaborate sub forma de sarje la distante de timp egale cu timpul necesar pentru
elaborarea unei sarje.
c) Dupa modul de obtinere a produselor finite din materia prima
procesele de productie sunt:
procese de productie directe;
procese de productie sintetice;
procese de productie analitice.
Procesele de productie directe se caracterizeaza prin aceea ca produsul
finit se obtine ca urmare a executarii unor operatii succesive asupra aceleiasi
materii prime - procese de obtinere a produselor lactate, de obtinere a zaharului etc.
Procesele de productie sintetice conduc la obtinerea produsului finit dupa
prelucrarea succesiva a mai multor materii prime - procese de productie din
constructii de masini, confectii, industria alimentara etc.
Procesele de productie analitice conduc la obtinerea a mai multor produse
finite īn urma unor prelucrari succesive a unei singure materii prime - procesele de
productie din petrochimie, rafinarii etc.
d) Dupa gradul de periodicitate procesele de productie sunt:
ciclice;
neciclice.
Procesele de productie ciclice au caracter repetitiv si sunt specifice tipului
de productie de serie mare sau de masa. Īn cadrul acestor procese prelucrarea
produselor se face pe loturi de fabricatie sau sub forma de sarje.
Procesele de productie neciclice se repeta la perioade mari de timp si sunt
specifice pentru tipul de productie de serie mica sau unicate.
e) Īn functie de natura tehnologica a operatiilor, procesele de productie
sunt:
procese chimice;
procese de schimbare a configuratiei;
procese de asamblare;
procese de transport.
Managementul productiei
Procesele chimice se efectueaza īn instalatii capsulate īn cadrul carora
materiile prime se transforma īn urma unor reactii chimice sau termochimice -
procese din industria aluminiului, a maselor plastice, a petrolului etc.
Procesele de schimbare a configuratiei au la baza operatii de prelucrare
mecanica a materiilor prime cu ajutorul unor masini sau agregate tehnologice -
procese de strunjire, rectificare, frezare etc.
Procesele de asamblare asigura sudura , lipirea sau montajul unor
subansamble īn vederea obtinerii produsului finit.
Procesele de transport asigura deplasarea materiilor si materialelor de la un
loc de munca la altul īn interiorul īntreprinderii.
2.2.1 Structura de productie si conceptie; notiune,
verigi structurale de baza
Structura de productie si conceptie a unei īntreprinderi de productie
industriala se refera la numarul si componenta unitatilor de productie, de control
si cercetare, marimea si amplasarea lor pe teritoriul īntreprinderii, modul de
organizare interna a acestora si legaturile functionale care se stabilesc īntre ele īn
cadrul procesului de productie si cercetare.
Structura de productie si conceptie este formata dintr-un numar stabilit de
verigi organizatorice de productie dintre care cele mai des īntālnite sunt
urmatoarele:
sectii de productie, montaj sau "service";
ateliere de productie, montaj, proiectare;
laboratoare de control si cercetare;
sectoare de productie;
locuri de munca.
Sectia de productie este o veriga de productie, distincta din punct de
vedere administrativ, īn cadrul careia se executa un produs, o parte a acestuia sau o
faza de proces tehnologic. Constituirea unei sectii de productie īsi propune
organizarea si coordonarea unitara a activitatilor corelate din punct de vedere
tehnologic.
Īn functie de felul proceselor tehnologice care se desfasoara īn cadrul
sectiilor de productie exista:
sectii de baza;
sectii auxiliare;
sectii de servire;
sectii anexa.
Sectiile de baza sunt acele verigi de productie īn cadrul carora se executa
procese de productie care au drept scop transformarea diferitelor materii prime si
materiale īn produse finite ce se constituie īn obiecte ale activitatii de baza al
īntreprinderii, cum ar fi procese de prelucrari mecanice si montaj īn industria
constructiilor de masini, procese de filatura si tesatoriile īn īntreprinderile textile
etc.
Sectiile de productie de baza ale unei īntreprinderi de productie industriala
se pot grupa īn mai multe categorii de sectii īn functie de principiul care a stat la
baza organizarii sectiei:
sectii de baza organizate dupa principiul tehnologic;
sectii de baza organizate dupa principiul pe obiect;
sectii de baza organizate dupa principiul mixt.
Sectiile de baza organizate dupa principiul tehnologic presupun
amplasarea utilajelor si a locurilor de munca astfel īncāt sa asigure executarea unui
stadiu sau a unei faze de proces tehnologic. Conform acestui principiu exista sectii
de productie de turnatorie, forja, prelucrari mecanice sau de montaj īn industria
constructiilor de masini, de filatura si tesatorie īn industria textila etc.
Sectiile de baza organizate dupa principiul tehnologic, īn functie de
operatiile tehnologice care se executa īn cadrul acestora se grupeaza īn:
sectii de baza pregatitoare;
sectii de baza prelucratoare;
sectii de baza de montaj - finisaj.
Sectiile de baza pregatitoare sunt acele sectii īn care se executa faze
pregatitoare ale procesului tehnologi cum sunt: turnare si forjare de piese īn
constructii de masini, filatura īn industria textila, croire īn industria de confectii etc.
Sectiile de baza prelucratoare sunt acele sectii īn cadrul carora are loc
transformarea propriu-zisa a materiilor si materialelor īn produse care constituie
obiectivul de baza al īntreprinderii. Aceste sectii sunt cele de prelucrari mecanice īn
constructii de masini, cele de tesatorie īn industria textila sau cele de confectionat
din industria confectiilor.
Sectiile de baza de montaj - finisaj cuprind procese de productie īn cadrul
carora are loc asamblarea diferitelor produse din ansamblele si subansamblele
componente sau de finisare a produsului finit, cum ar fi sectiile de montaj si probe
tehnologice din constructii de masini si sectiile de imprimare sau apretare din
industria textila.
Sectiile de baza organizate dupa principiul pe obiect sunt astfel organizate
īncāt sa asigure transformarea completa a materiilor si materialelor īn produs finit
sau componente ale acestuia. Astfel īn cadrul acestor sectii sunt reunite un
ansamblu de operatii tehnologice care vor prelucra produsul de la stadiul de
materie prima la stadiul de produs finit. Exemple de astfel de sectii pot fi sectiile de
pompe si compresoare din constructii de masini sau sectia pentru confectii femei
sau barbati din industria de confectii.
Sectiile de baza organizate dupa principiul mixt presupune acel mod de
organizare īn cadrul caruia anumite sectii (de regula cele pregatitoare) sunt
organizate dupa principiul tehnologic, iar alte sectii dupa principiul pe obiect
(sectiile de prelucrari mecanice).
Sectiile auxiliare sunt verigi de productie īn cadrul carora se executa
produse sau lucrari care nu constituie obiectul activitatii de baza al īntreprinderii,
dar care sunt absolut obligatorii pentru buna desfasurare a proceselor de productie
de baza. Sectiile auxiliare cele mai des īntālnite īn cadrul īntreprinderilor
industriale sunt sectia energetica (centralele producatoare de diferite feluri de
energie - energie electrica, abur, aer comprimat etc.), sectia de SDV-uri, sectia de
reparatii etc.
Sectiile de servire sunt acele verigi structurale īn cadrul carora se executa
activitati de productie ce se constituie ca servicii atāt pentru sectiile de baza, cāt si
pentru sectiile auxiliare, cum ar fi spre exemplu sectia retele energetice (pentru
transportul diferitelor tipuri de energie catre diferitii consumatori din cadrul
īntreprinderii industriale), sectia depozite si sectia transport intern.
Sectiile anexa sunt verigile organizatorice destinate valorificarii deseurilor
īn acele īntreprinderi īn care rezulta o cantitate mare de materiale refolosibile. Se
constituie ca sectii anexa ale īntreprinderii si standurile de prezentare a produselor
din expozitii si tārguri sau magazinele proprii de desfacere.
Atelierul de productie este o veriga organizatorica care īsi poate desfasura
activitatea ca subunitate de productie a unei sectii de productie sau īn mod
independent si atunci se deosebeste de sectia de productie doar prin volumul de
activitate care se desfasoara īn cadrul acestuia.
Īn primul caz, atelierul de productie este o veriga structurala delimitata
teritorial, īn cadrul caruia se executa fie acelasi proces tehnologic, fie acelasi
produs sau componenta a unui produs. Īn cel de-al doilea caz, atelierul este o veriga
structurala delimitata din punct de vedere administrativ, cu aceleasi caracteristici
din punct de vedere al procesului de productie ca si īn primul caz. Activitatile de
productie care pot sa aiba loc īn cadrul unui atelier pot fi activitati de productie,
montaj, service etc.
Atelierul de proiectare este veriga structurala a carei activitate este
orientata īn executarea acelor lucrari de proiectare de dimensiuni mai reduse si care
nu au fost executate de institutele de specialitate. De altfel existenta acestui atelier,
īmpreuna cu cea a laboratorului de control si cercetare este impusa de situatiile īn
care trebuiesc gasite solutii rapide īn urma numeroaselor modificari ce pot surveni
la cererea consumatorilor. Consideram de aceea ca este pe deplin justificata
denumirea de structura de productie si conceptie.
Laboratorul de control si cercetare este veriga organizatorica īn cadrul
careia se executa diferite analize si masuratori a calitatii produselor si a materiilor
si materialelor.
Sectoarele de productie sunt subunitati ale atelierului, delimitate teritorial
unde se executa o anumita faza de proces tehnologic sau anumite componente ale
unui produs. Īntr-un atelier de prelucrari mecanice poate exista sectorul de
strunguri, de freze etc.
Locurile de munca sunt verigile organizatorice de baza ale īntreprinderii
industriale. Acestea ocupa o anumita suprafata de productie dotata cu utilaj si
echipament tehnologic corespunzator destinat executarii unor operatii tehnologice
sau servicii productive.
Locurile de munca pot fi specializate īn realizarea unei operatii, sau
universale, cānd executa o varietate mare de operatii.
2.2.2 Tipuri de structuri de productie si conceptie
Īn functie de particularitatile fiecarei īntreprinderi industriale, acesteia īi
corespunde un anumit tip de structura de productie si conceptie. Activitatea de
proiectare si organizare a īntreprinderilor industriale evidentiaza trei tipuri de
structuri, si anume:
a) structura de productie si conceptie de tip tehnologic;
b) structura de productie si conceptie de tip pe obiect;
c) structura de productie si conceptie de tip mixt.
Structura de productie si conceptie de tip tehnologic
Caracteristici:
organizarea sectiilor de baza se face dupa principiul tehnologic,
denumirea sectiilor de baza fiind data de procesul tehnologic care se
executa īn cadrul acestora (turnatorie, forja, filatura, tesatorie etc.)
īn cadrul sectiilor de productie locuri de munca universale a caror
functionare este asigurata de forta de munca de īnalta calificare;
amplasarea acestor locuri de munca se face dupa principiul grupelor
omogene de masini.
Avantajele acestui tip de structura:
permite realizarea unei varietati mari de produse;
are loc o īncarcare completa a locurilor de munca;
are un grad mare de flexibilitate, datorat caracterului universal al
locurilor de munca;
acest tip de structura este caracteristic tipului de serie mica sau
individuala.
Dezavantajele acestei structuri:
datorita faptului ca fiecare faza de proces tehnologic se realizeaza īn
sectii diferite, transportul intern īn īntreprindere este foarte ridicat;
deoarece locurile de munca trebuie sa se adapteze la fabricatia unei
varietati mari de produse, timpul pentru reglare al acestora este uneori
foarte mare ducānd la cresterea timpilor de īntreruperi īn functionarea
utilajului;
micsoreaza raspunderea pentru obtinerea unei calitati ridicate, datorita
faptului ca produsele se prelucreaza īn mai multe sectii de productie;
produsele au un ciclu lung de fabricatie si deci exista stocuri mari de
productie neterminata, care vor influenta negativ costul produselor si
viteza de rotatie a mijloacelor circulante.
Structura de productie si conceptie pe obiect
Caracteristici:
organizarea sectiilor de productie este realizata dupa principiul
obiectului de fabricatie;
īn fiecare sectie se fabrica un singur produs sau componente ale
acestuia, iar sectiile poarta denumirea produsului pe care-l fabrica;
locurile de munca sunt specializate īn realizarea unei singure operatii
sau a unui numar foarte mic de operatii;
amplasarea locurilor de munca se face sub forma de linii tehnologice
specializate īn fabricatia unui produs sau a unor componente ale
acestuia;
acest tip de structura este specific tipului de productie de serie mare sau
de masa.
Avantaje:
asigura organizarea liniilor de productie īn flux cu eficienta ridicata;
permite o crestere a specializarii īn productie;
reduce volumul de transport intern;
reduce durata ciclului de fabricatie si a costurilor de productie;
determina o reducere substantiala a stocurilor de productie neterminata.
Dezavantaje:
este tipul de structura de productie cu o flexibilitate foarte redusa la
schimbarile sortimentale;
nu poate fi folosita īn mod eficient decāt pentru tipul de serie mare sau
de masa.
Structura de productie si conceptie mixta
Caracteristici:
organizarea sectiilor de productie se face dupa principiul mixt, o parte a
sectiilor de productie organizāndu-se dupa principiul tehnologic (cele
pregatitoare), iar celelalte dupa principiul pe obiect;
acest tip de structura este specific tipului de serie mica si mijlocie;
acest tip de structura īmbina avantajele celorlalte doua tipuri si le
elimina dezavantajele.
CAPITOLUL 4
4.2.1.3.5 Variante de organizare a liniilor de productie īn flux īn diferite
ramuri de productie
Organizarea productiei īn flux, prin trasaturile sale caracteristice se
prezinta sub diferite forme concrete specifice fiecarei ramuri industriale; aceasta
deoarece liniile de productie īn flux sunt puternic influentate de:
particularitatile procesului tehnologic;
felul si cantitatea productiei fabricate;
felul materialelor utilizate;
numarul si caracteristicile utilajelor folosite.
Īn industria constructiilor de masini, electrotehnica si electronica
organizarea productiei īn flux se prezinta sub forma liniilor tehnologice de
prelucrare, a liniilor automate de productie etc.
Forma superioara de organizare a productiei īn flux o constituie liniile
automate īn flux caracterizate prin:
utilajul tehnologic, auxiliar si instalatiile de transport formeaza un
complex unic;
prelucrarea si deplasarea produselor se face īn mod automatizat, pe baza
de comanda centralizata;
functionarea liniilor īn flux are loc sincronizat, pe baza unui tact de
productie unic.
Īn ramurile industriale cu procese de productie continue (industria
chimica, petrochimica, alimentara etc.) se constituie linii tehnologice automatizate
conduse centralizat de la o camera sau panou de comanda.
Īn industria metalurgica conditia de baza a asigurarii unui flux continuu o
constituie asigurarea unei proportionalitati īntre capacitatea de productie a
diferitelor stadii de productie. Astfel, functionarea continua presupune ca pentru un
agregat de mare capacitate dintr-un anumit stadiu, sa existe mai multe agregate de
capacitate mai mica īn stadiul urmator; se creeaza astfel posibilitatea existentei
unui raport cantitativ bine determinat īntre capacitatile de productie īn diferitele
stadii de prelucrare a produselor.
Īn industria textila organizarea productiei īn flux are la baza crearea unui
sistem de aparate. Sistemul de aparate este constituit din grupe de masini si utilaje
capabile sa execute un ansamblu de operatii de baza si conexe, īntr-un raport astfel
determinat care sa faca posibila asigurarea unei continuitati a procesului
tehnologic. Capacitatea de productie a unui sistem de aparate este data de
capacitatea de productie a agregatului principal, iar asezarea aparatelor pe suprafata
de productie se va face īn ordinea impusa de succesiunea tehnologica a operatiilor
de prelucrare.
Īn industria de confectii se folosesc mai multe variante de organizare a
productiei īn flux:
a) sistemul banda rulanta;
b) sistemul prod-sincron;
c) sistemul conveier sectional;
d) sistemul agregat cu transport orizontal.
Sistemul banda rulanta cu functionare continua si ritm reglementat se
foloseste pentru fabricarea unui produs sau a unui numar mic de produse īn serii
mari de fabricatie. Īn acest caz locurile de munca sunt amplasate de o parte si de
alta a benzii rulante (sau numai de o singura parte, īn functie de spatiul disponibil),
iar produsele sunt transportate de la un loc de munca la altul de banda rulanta
actionata īn mod automat.
Sistemul prod-sincron este un sistem care īn anumite cazuri reuseste sa
elimine īn īntregime transportul intern , datorita modului de amplasare a locurilor
de munca si a depozitelor intermediare de productie neterminata.
4.2.2 Organizarea productiei de serie mica si individuala
Īn prezent exista un numar mare de unitati de productie care executa o
mare varietate de produse īn cantitati mici sau foarte mici, uneori chiar unicate,
aceasta si ca efect al diversificarii din ce īn ce mai mare a cererii consumatorilor.
Aceasta impune adoptarea unui set de masuri de organizare a procesului de
productie, specifice tipului de productie de serie mica sau individuala.
Caracteristicile principale ale organizarii acestor tipuri de productie sunt:
organizarea sectiilor de baza se face dupa principiul tehnologic, ceea ce
presupune ca īn cadrul sectiilor de baza se executa faze de proces
tehnologic, iar amplasarea utilajelor se face dupa metoda grupelor
omogene de masini;
īn cazul unor produse de gabarit foarte mare, organizarea procesului de
productie se face dupa principiul pozitiei fixe, conform caruia produsul
este asezat pe un amplasament fix, iar prelucrarea acestuia se face prin
deplasarea echipelor de muncitori de la un produs la altul si īn ordinea
impusa de fluxul tehnologic;
specializarea masinilor si utilajelor este foarte redusa (utilaje universale)
capabile sa se adapteze usor la schimbarea nomenclatorului de fabricatie
printr-un numar forte mic de reglaje;
trecerea de la un loc de munca a produselor se face bucata cu bucata sau
īn loturi mici de fabricatie, cu ajutorul unor mijloace de transport cu
deplasare discontinua de tipul carucioarelor manuale, electrocarelor sau
motostivuitoarelor.
pentru fabricarea produselor, īn acest caz, se foloseste o tehnologie
sumara valabila pentru īntreaga gama de produse executate, urmānd ca
detaliile tehnologice ale fiecarui produs sa fie definitivate īn cadrul
fiecarui loc de munca de catre muncitorul care-l utilizeaza.
Organizarea procesului de productie dupa principiul tehnologic are o serie
de avantaje si dezavantaje, din care mai importante sunt urmatoarele:
a) Din rāndul avantajelor cel mai important este dat de faptul ca procesul
de productie are o flexibilitate foarte mare , putāndu-se adapta rapid la
schimbarea nomenclatorului de fabricatie.
b) Dezavantajele mai importante sunt :
volumul de transport intern si manipulare este foarte ridicat;
necesita forta de munca cu un grad ridicat de calificare;
ciclul de productie al produselor este foarte lung;
controlul calitatii productiei este mult mai complex īn vederea
obtinerii de produse de calitate superioara.
4.2.2.1 Metoda verigilor pentru. amplasarea locurilor de munca
Metoda verigilor este utilizata pentru amplasarea locurilor de munca dupa
principiul grupelor omogene de masini. Conform acestei metode pe suprafata de
productie locurile de munca vor fi amplasate īn asa fel īncāt īn centrul suprafetei va
avea loc un trafic intens pe distante scurte, iar la marginile acesteia va avea loc un
trafic intens pe distante mai mari. Cu alte cuvinte pe suprafata de productie va lua
nastere o problema de transport a carei functie obiectiv va avea o valoare minima.
Metoda verigilor opereaza cu conceptul de veriga de productie, care
exprima relatia care se stabileste īntre doua locuri de munca succesive īn cadrul
unui flux tehnologic.
Exemplu: Pentru o succesiune tehnologica formata din operatiile A,B,C,D,
verigile de productie care apar sunt: AB; BC; CD.
Amplasarea locurilor de munca folosind metoda verigilor se face īn
urmatoarele etape:
a) Īntocmirea tabloului verigilor consta īn stabilirea verigilor de productie
pentru fiecare produs care urmeaza sa fie prelucrat pe utilajele care
urmeaza sa fie amplasate pe suprafata de productie. Pentru aceasta se
construieste un tabel, care va avea īn capatul coloanelor denumirea
produselor fabricate, fiecare coloana avānd cāte doua subcoloane.
Denumirea subcoloanelor va reprezenta numele locurilor de munca din
succesiunea fluxului tehnologic si a verigilor de productie
corespunzatoare fiecarui produs.
4.2.2.2 Sistemul flexibil de fabricatie - modalitate specifica
de reprezentare a productiei de serie mica si unicate
Sistemul de fabricatie reprezinta componenta de baza a unui sistem de
productie. Trebuie precizat ca sistemul flexibil de fabricatie este specific pentru
tipul de productie de serie mica sau individuala, dar nu poate constitui o solutie
valabila īn orice situatie, ci reprezinta un raspuns la diversificarea din ce īn ce mai
mare a cererii consumatorilor.
Sistemele de fabricatie au evoluat de-a lungul timpului īn functie de
conditiile concrete de organizare si tehnicitate existente la un moment dat. Īn cadrul
unei mari varietati de sisteme de fabricatie acestea pot fi clasificate īn doua grupe
mari:
− sisteme de fabricatie rigide;
− sisteme de fabricatie flexibile;
Sistemul rigid de fabricatie este la rāndul sau:
− sistem rigid de fabricatie reglementat;
− sistem rigid de fabricatie automatizat.
Sistemul rigid de fabricatie reglementat se caracterizeaza prin urmatoarele
elemente:
− este specific tipului de productie de serie mare sau de masa din
procesele de montaj cu ritm reglementat;
− metoda de organizare a productiei are la baza principiul liniei de
productie īn flux;
− locuri de munca si forta de munca strict specializate pentru executarea
unui numar mic de operatii tehnologice;
− schimbarea nomenclatorului de produse conduce la oprirea procesului
de productie pāna la īnlocuirea tehnologiei de fabricatie.
Sistemul rigid de fabricatie automatizat are aceleasi caracteristici ca si
sistemul prezentat anterior si īn plus:
− locurile de munca au un grad mare de automatizare si mecanizare si se
gasesc amplasate īn cadrul unor linii de productie tehnologice;
− nivel ridicat al productivitatii muncii.
Sistemele flexibile de fabricatie sunt de mai multe feluri si anume:
− sisteme cu flexibilitate naturala;
− sisteme cu flexibilitate artificiala;
− sisteme cu flexibilitate artificiala si comanda automata.
Sistemul de fabricatie cu flexibilitate naturala se caracterizeaza prin aceea
ca:
− forta de munca are rolul determinant īn a conferi gradul de flexibilitate
al sistemului (sunt sisteme de fabricatie manuale specializate pe
realizarea unei game largi de produse īn serii mici de fabricatie sau
chiar unicate - sisteme de productie mestesugaresti).
− forta de munca are un grad ridicat de specializare.
− unitatile de productie nu depasesc marimea unui atelier de productie.
Sistemul de fabricatie cu flexibilitate artificiala
− īn acest caz forta de munca influenteaza partial gradul de flexibilitate
acesta fiind determinat de tipul echipamentului tehnologic cu care este
īnzestrat utilajul;
− pentru tipul de productie īn serie sunt posibile forme de organizare a
productiei īn flux;
− formele de organizare a productiei sunt celula de fabricatie si sistemele
de masini si centre de prelucrare asistate de operatorul uman.
Sistemul de fabricatie cu flexibilitate artificiala si comanda automata
− acest sistem are o flexibilitate foarte mare destinat fabricarii loturilor
mici de fabricatie;
− are o structura modulara usor adaptabila la modificarea sortimentala a
productiei;
Sisteme de organizare procesuala si spatiala a īntreprinderii
− conducerea procesului tehnologic are loc sub comanda calculatorului,
ceea ce determina o pondere mare a timpului de prelucrare īn totalul
timpului de lucru;
− forta de munca are rol doar de supraveghere si īntretinere a instalatiilor
tehnologice.
Un sistem flexibil de fabricatie se caracterizeaza īn principal prin
urmatoarele trasaturi de baza:
− integrabilitate, determinata de capacitatea sistemului de integrare īntr-un
sistem de productie si de cuplare functionala cu alte sisteme;
− adaptabilitate, determinata de viteza de adaptare la schimbarea
volumului si a gamei sortimentale a productiei;
− dinamism structural, determinat de posibilitatea de modificare a
structurii sistemului flexibil de fabricatie īn functie de cerintele concrete
ale productiei.
Īn literatura de specialitate diferiti autori identifica trei stadii ale sistemelor
flexibile de fabricatie, care difera prin complexitate si arie de cuprindere:
a) Unitatea flexibila de prelucrare reprezinta de obicei o masina complexa
denumita si centru de prelucrare echipat cu o magazie de SDV-uri
complexe si un manipulator sau robot automat de scule, care pot
functiona īn mod automat;
b) Celula flexibila de fabricatie este constituita din mai multe unitari
flexibile de prelucrare cu masini si utilaje controlate direct de
calculator;
c) Sistemul flexibil de fabricatie cuprinde mai multe celule de fabricatie
conectate prin sisteme automate de transport, cu ajutorul carora se
deplaseaza produsele si echipamentul tehnologic īntre masini. Īntregul
sistem este sub controlul direct al unui calculator central sau local care
dirijeaza si sistemele de depozitare, echipamentele de masura si control
etc.
Sistemul flexibil de fabricatie īsi īndeplineste integral rolul pentru care a
fost creat doar daca cuprinde toate componentele unui sistem de fabricatie (de
prelucrare, logistic, control, si comanda) si nu se rezuma doar la subsistemul de
prelucrare asa cum este prezentat īn anumite lucrari de specialitate. Acest punct de
vedere presupune o integrare totala a celor patru subsisteme componente, ceea ce
impune folosire masinilor cu comanda numerica, de transportoare automate, roboti
industriali si o retea de comunicatii care sa concentreze toate fluxurile
informationale care strabat sistemul flexibil de fabricatie.
Fata de sistemele rigide de fabricatie, sistemele flexibile au urmatoarele
deosebiri:
au o capacitate mare de adaptare la schimbarea sortimentului de
fabricatie; acest lucru se realizeaza doar prin schimbarea programului la
calculator fara a se actiona asupra echipamentelor din dotarea masinilor;
autonomie de functionare pentru trei schimburi fara interventia
operatorului uman;
posibilitati sporite de ridicare a nivelului de tehnicitate corelat cu
cerintele tot mai diversificate ale consumatorului.
4.2.2.4 Metoda tehnologiei de grup pentru marirea loturilor de fabricatie
O cerinta de baza a organizarii moderne a productiei, o constituie trecerea
de la fabricarea unor loturi mici de fabricatie la loturi mari si folosirea pe aceasta
baza a metodelor superioare de productie, ce au la baza principiile organizarii
productiei īn flux.
Pentru trecerea la fabricatia produselor de la loturi mici la loturi mari de
fabricatie, īn conditiile unor īntreprinderi care fabrica o nomenclatura larga de
fabricatie, se foloseste metoda tehnologiilor de grup.
Potrivit acestei metode diferitele produse care se fabrica īn loturi mici vor
fi īncadrate īn anumite grupe de fabricatie pe baza unor caracteristici comune
constructive sau tehnologice. Din cadrul fiecarei grupe se va alege un produs sau o
piesa care grupeaza cele mai multe din caracteristicile produselor sau pieselor din
grupa de care apartine. Īn functie de acest produs se va elabora tehnologia de
fabricatie pentru īntreaga grupa, se alege utilajul necesar si se proiecteaza
echipamentul tehnologic.
Īn cazul īn care īn cadrul grupei de produse nu exista un asemenea produs,
se proiecteaza un produs care sa īntruneasca toate caracteristicile constructive si
tehnologice ale produselor dintr-o anumita grupa. Īn functie de acest produs va fi
proiectata tehnologia corespunzatoare si se va alege utilajul si echipamentul
tehnologic necesar.
Folosirea metodei tehnologiei de grup ofera urmatoarele avantaje:
a) permite folosirea unor masini si utilaje specializate, de mare randament
si trecerea la fabricatia produselor pe baza metodelor de organizare a
productiei īn flux cu toate avantajele ce decurg din aceasta;
b) permite folosire unor echipamente tehnologice specifice unei clase de
produse sau piese, īn locul unor echipamente specifice fiecarui produs
īn parte, ceea ce micsoreaza considerabil volumul de munca necesar
proiectarii si producerii acestora.
c) influenteaza īn mod pozitiv marimea ciclului de fabricatie, folosirea
capacitatii de productie, nivelul productivitatii muncii si al costurilor de
productie.
Īn procesul de restructurare a productiei un loc important trebuie sa se
asigure extinderii mecanizarii si automatizarii, realizarea unor linii complet
automatizate etc. cu prioritate pentru executarea acelor lucrari care necesita un
volum mare de munca si de desfasurare īn conditii grele.
CAPITOLUL 5
5.1.3 Planificarea repararii utilajelor
Pentru executarea reparatiilor prin sistemul de reparatii preventiv planificat
īntreprinderile de productie industriala īntocmesc un plan de reparatii. Aceasta
activitate presupune rezolvarea a doua probleme:
a) īntocmirea structurii ciclului de reparatii a unui utilaj;
b) determinarea datelor calendaristice la care va avea loc fiecare
interventie tehnica asupra utilajului considerat.
Ciclul de reparatii reprezinta timpul dintre doua reparatii capitale, inclusiv
durata uneia dintre ele, de obicei ultima.
Structura ciclului de reparatii reprezinta numarul, felul si succesiunea
diferitelor interventii tehnice īn cadrul unui ciclu de reparatii.
Pentru a īntocmi o structura a unui ciclu de reparatii este nevoie sa se stabileasca
mai īntāi numarul de interventii de acelasi fel. Pornind de la faptul ca orice
interventie de grad superior le contine pe toate celelalte inferioare ei, relatia de
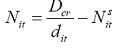
calcul a numarului de interventii de acelasi fel este urmatoarea:
![]()
unde:
Dcr reprezinta durata ciclului de reparatii;
dit reprezinta durata de timp īntre doua interventii de acelasi fel;
Nit
s reprezinta numarul interventiilor de acelasi fel.
Odata stabilit numarul de interventii tehnice de acelasi fel se poate trece la
īntocmirea structurii ciclului de reparatii, tinānd cont de numarul interventiilor de
acelasi fel si de duratele de timp dintre acestea. O astfel de structura pentru o
anumita grupa de utilaje poate arata astfel:

unde RK, Rc1, Rc2 si Rt sunt interventiile tehnice specifice sistemului de reparatii
preventiv-planificat.
5.1.5 Organizarea activitatii de īntretinere si reparare a utilajelor
Asigurarea activitatii de īntretinere si reparare a utilajelor revine unui
compartiment specializat numit compartimentul mecano-energetic. Activitatea
acestui compartiment este īndreptata īn scopul atingerii urmatoarelor obiective:
planificarea activitatii de īntretinere si reparare pentru toate mijloacele
fixe ale īntreprinderii;
organizarea si executarea planurilor de reparatii ale fiecarui mijloc fix
din cadrul īntreprinderii;
adoptarea tuturor masurilor legate de securitatea muncii si de protectie a
utilajelor.
Pentru executarea repararii utilajelor se folosesc trei sisteme de organizare
a acestei activitatii:
a) sistemul centralizat;
b) sistemul descentralizat;
c) sistemul mixt.
Sistemul centralizat este specific īntreprinderilor mici si mijlocii. Īn cadrul
acestui sistem toate lucrarile de īntretinere si reparare a utilajelor se executa de
catre echipe de muncitori specializati, subordonati direct compartimentului
mecano-energetic.
Sistemul descentralizat este specific acelor unitati de productie ale caror
utilaje ridica probleme speciale din punct de vedere al activitatii de īntretinere si
reparare. Īn acest caz repararea utilajelor este executata de echipe de muncitori
specializati īn īntretinere si reparare subordonati direct sefului de sectie īn care
functioneaza utilajele ce urmeaza a fi reparate.
Sistemul mixt consta īn executarea reparatiilor la utilajele speciale din
otelarii, forja sau cele din sectia de tratamente termice de catre echipele de
muncitori specializati īn lucrari de īntretinere si reparare subordonate direct acestor
sectii, iar celelalte lucrari de catre muncitorii din īntretinere si reparare din
compartimentul mecano-energetic.
Activitatea de īntretinere si reparare a utilajelor este precedata de o serie de
activitati pregatitoare, dintre care mai importante sunt urmatoarele:
a) inventarierea utilajelor se efectueaza īn scopul de a stabili numarul,
felul si starea functionala a utilajelor care urmeaza sa fie reparate;
b) gruparea utilajelor care urmeaza sa fie reparate pe grupe de utilaje de
acelasi fel;
c) īntocmirea desenelor care vor sta la baza executarii pieselor de schimb,
atunci cānd acestea se executa īn cadrul īntreprinderii; īn cazul īn care
acestea nu se executa īn cadrul īntreprinderii, se recomanda
aprovizionarea din timp a acestora de la furnizorii de piese de schimb;
d) stabilirea tehnologiei lucrarilor de reparatii; īn cadrul acestei activitatii
se stabileste felul operatiilor care se vor executa cu ocazia efectuarii
activitatii de īntretinere si reparare a utilajelor.
5.1.5.1 Metode moderne de executare a reparatiilor
Cresterea calitatii lucrarilor de reparatii si reducerea duratei de executie a
acestora depinde foarte mult de metoda utilizata īn executarea activitatii de
īntretinere si reparare a utilajelor.
Din cadrul celor mai eficiente metode folosite īn organizarea lucrarilor de
īntretinere si reparare cele mai folosite sunt:
metoda de reparare pe subansamble;
metoda de reparare dupa principiul liniilor de productie īn flux.
Metoda de reparare pe subansamble se caracterizeaza prin aceea ca la
īntreprinderile cu un numar mare de utilaje de acelasi fel se creeaza un stoc de
subansamble īn stare de functionare. Aceste subansamble vor īnlocui
subansamblele uzate din cadrul utilajelor care urmeaza sa fie reparate, dupa care
subansamblele defecte vor fi reparate si vor intra īn componenta stocului de
subansamble functionale. Aceasta metoda reduce foarte mult timpul de reparare a
utilajelor si deci creste timpul de functionare al utilajelor, cu toate consecintele
favorabile care decurg de aici.
Metoda de reparare dupa principiul liniilor de productie īn flux se
foloseste pentru acele utilaje care necesita demontarea de pe fundatii si
transportarea lor īn atelierele de reparatii ( īn cazul reparatiilor capitale). Īn cadrul
acestui atelier, pentru executarea reparatiilor se vor putea utiliza acele posibilitati
oferite de liniile de productie īn flux din cadrul sectiilor de baza ale īntreprinderii.
5.1.6 Posibilitati de crestere a eficientei economice a activitatii
de īntretinere si reparare a utilajelor; modernizarea utilajelor
5.1.6.1 Posibilitati de crestere a eficientei economice a activitatii
de īntretinere si reparare a utilajelor
Activitatea de īntretinere si reparare a utilajelor trebuie sa se concretizeze
īn reparatii de calitate superioara, cu costuri cāt mai mici si cu o durata cāt mai
redusa. Acest deziderat presupune existenta unor posibilitati de realizare, cum ar fi:
a) deoarece costurile de executie a activitatii de īntretinere si reparare a
utilajelor reprezinta o pondere de 12-18% din volumul cheltuielilor
comune de sectie, nivelul acestora trebuie sa īnregistreze o scadere
continua; acest lucru este posibil prin limitarea cheltuielilor legate de
īnlocuirea pieselor uzate, astfel īncāt cheltuielile necesare pentru
obtinerea pieselor noi sa nu depaseasca cheltuielile pieselor vechi;
b) reducerea cheltuielilor legate de montarea si demontarea utilajelor, prin
mecanizarea executarii acestor operatii;
c) folosirea pe scara larga a metodei de reparare pe subansamble si a
metodelor pe baza principiilor liniilor de productie īn flux;
d) cresterea duratei de functionare a utilajelor īntre doua reparatii
succesive, prin folosirea unor piese de schimb rezistente la uzura, prin
cresterea fiabilitatii si durabilitatii acestora;
e) folosirea procedeelor de reconditionare si refolosire a pieselor uzate.
Organizarea moderna a activitatii de īntretinere si reparare a utilajelor
presupune existenta unor īntreprinderi specializate īn executarea acestei activitatii,
ceea ce ar presupune repararea utilajelor īntr-un timp scurt, īn conditii de calitate
superioara si cu costuri reduse.
5.1.6.2 Modernizarea utilajelor
Pe parcursul functionarii lor utilajele sunt supuse proceselor de uzura fizica
si morala. Daca uzura fizica poate fi īndepartata prin actiuni de īntretinere si
reparare a utilajelor, uzura morala poate fi īncetinita prin activitatea de modernizare
a utilajelor. Prin modernizarea unui utilaj se urmareste asigurarea functionarii
acestuia la parametrii tehnico-economici cāt mai apropiati de cei ai utilajelor noi.
Modernizarea utilajelor poate fi efectuata īn doua moduri:
a) odata cu executarea activitatii de reparatie capitala;
b) īn mod independent, ca actiune de sine statatoare.
Ca urmare a actiunii de modernizare a utilajelor creste randamentul
acestora si precizia īn functionare, asigurānd īn acest fel cresterea volumului de
productie, īmbunatatirea calitatii produselor si reducerea cheltuielilor de productie.
Pentru realizarea modernizarii unui utilaj se urmaresc mai multe obiective:
sporirea vitezei de lucru a utilajului, a puterii electromotoarelor si
perfectionarea diferitelor elemente constructive;
automatizarea comenzilor si introducerea unor dispozitive cu actiune
rapida;
marirea rezistentei la uzura a utilajelor prin folosirea unor piese cu
fiabilitate ridicata;
perfectionari constructive ale motoarelor, automatizarea comenzilor si
mecanizarea proceselor de lucru manuale.
Efectele activitatii de modernizare a utilajelor pot fi puse īn evidenta cu
ajutorul urmatorilor indicatori:
1) ponderea utilajelor modernizate īn totalul utilajelor existente īn
īntreprindere;
2) ponderea efectelor economice obtinute īn urma modernizarii utilajelor
īn totalul cheltuielilor efectuate cu ocazia acestor modernizari.
Deoarece activitatea de modernizare este foarte complexa, necesitatea si
oportunitatea efectuarii acesteia va fi stabilita de un studiu tehnico-economic
īntocmit īn prealabil.
.4 Sisteme de organizare a activitatii de transport intern
si de manipulare a unei īntreprinderi
5.4.1 Concept, importanta si obiective
Transportul intern este o activitate de servire a īntreprinderii. Din cadrul
activitatii de transport intern fac parte :
transportul de la furnizor a materiilor prime si materiale, descarcarea si
receptia acestora (īn cazul īn care transportul se efectueaza cu
mijloacele de transport proprii ale īntreprinderii consumatoare);
transportul acestor materiale la sectiile de productie si pe locurile de
munca;
manipularile acestor materiale pe locurile de munca īn cadrul proceselor
de fabricatie.
Activitatea de manipulare reprezinta activitatea de deplasare a materialelor
sau produselor īn vederea alimentarii sau evacuarii locurilor de munca.
Importanta activitatii de transport intern deriva din faptul ca acesta
contribuie īn mod direct la desfasurare procesului de productie si ocupa o pondere
mare īn totalul activitatilor desfasurare īn cadrul īntreprinderii industriale. Īn acest
sens, se poate exemplifica:
a) īn industria siderurgica, pentru obtinerea unei tone de fonta se
transporta si manipuleaza 120-180 t de diverse materii prime si
materiale;
b) īn industria textila pentru obtinerea unui kg de tesaturi, se transporta si
manipuleaza 300-350 kg de materii prime si materiale;
c) īn industria extractiva, a lemnului si a materialelor de constructii
volumul transporturilor si al manipularilor reprezinta peste 50% din
totalul volumului de munca.
Activitatea de management a transportului intern este asigurata īn
īntreprinderea industriala de un compartiment specializat de "Transport intern".
Dintre obiectivele urmarite de acest compartiment, putem mentiona:
asigurarea deplasarii materialelor īn interiorul īntreprinderii, potrivit
cerintelor de desfasurare ritmica a procesului de productie;
īmbunatatirea folosirii mijloacelor de transport prin utilizarea unor
mijloace de transport de mare randament;
micsorarea costurilor legate de activitatea de transport intern, prin
reducerea volumului de munca necesitat de aceasta activitate, a
distantelor de transport, a consumul de combustibil etc.
5.4.2 Tipologia transporturilor si a mijloacelor de transport
Datorita unei mari varietati a modurilor de efectuare a transportului intern
este necesara o clasificare a acestuia dupa mai multe criterii.
a) Īn functie de modul de realizare, transporturile interne se clasifica īn:
transporturi pe sol;
transporturi pe apa;
transporturi aeriene.
Transportul desfasurat pe sol este la rāndul sau:
− transport rutier;
− transport pe calea ferata.
Transportul rutier se desfasoara īntre unitati de productie apropiate si cu
opriri frecvente. Mijloacele de transport specifice sunt autocamioanele, tractoarele
cu remorci, carucioare etc.
Transportul pe cale ferata se foloseste īn īntreprinderile care au de
transportat cantitati mari de materii prime si materiale, cum sunt īntreprinderile
metalurgice, siderurgice sau de materiale de constructii, pe linii ferate cu
ecartament īngust sau normal, prevazute cu instalatii specifice: macazuri,
transbordoare etc.
Acest tip de transport are unele dezavantaje fata de transportul rutier:
distante mari de transport impuse de amplasamentul cailor ferate;
blocarea circulatiei īn timpul operatiilor de īncarcare-descarcare;
utilizarea unor suprafete mari pentru amplasarea instalatiilor specifice
transportului pe calea ferata.
Transportul pe apa este utilizat atunci cānd īntreprinderea se gaseste īn
apropierea unor cursuri de apa, prin folosirea unor mijloace de transport ca slepuri,
remorchere etc.
Transportul aerian are avantajul deplasarii materialelor pe distantele cele
mai scurte si economisirea suprafetelor de productie, cu ajutorul podurilor rulante,
conveiere, monoraiuri etc.
b) Īn functie de gradul de continuitate transportul intern poate fi:
cu deplasare continua efectuat cu ajutorul benzilor rulante si
conveiere;
cu deplasare discontinua, efectuat cu ajutorul autocamioanelor,
electrocarelor sau podurilor rulante.
c) Īn functie de directia de deplasare transporturile interne sunt:
orizontale;
verticale, efectuate cu ajutorul macaralelor sau ascensoarelor.
pe planuri īnclinate.
5.4.3 Sisteme de organizare a activitatii de transport intern
Sistemele de organizare a activitatii de transport intern difera dupa gradul
lor de regularitate.
Astfel, īn īntreprinderile cu productie de serie mica si individuala, fluxurile
de transport sunt variabile si deci īn aceste cazuri transportul intern se desfasoara la
cerere sau pe baza de planuri zilnice.
Īn cazul īntreprinderilor cu productie de serie mare sau de masa, fluxurile
de transport au un caracter permanent si īn acest caz, organizarea transportului
intern se face pe baza unor grafice de transport, īntocmite pe perioade mari de timp.
Īn aceasta situatie se spune ca transportul are un caracter regulat si este de doua
feluri:
a) transport pendular;
b) transport inelar.
CAPITOLUL 6
6.1 Notiunea si structura duratei ciclului de productie
Ciclul de productie este un indicator de baza īn activitatea unei unitati
economice. Importanta sa decurge din influenta pe care o exercita asupra:
volumului de productie;
marimii capacitatii de productie;
necesarul de aprovizionat cu materii prime, materiale, etc.;
termenelor de livrare a produselor catre diferiti clienti;
Durata ciclului de productie reprezinta intervalul de timp necesar
obtinerii unui produs finit, din momentul intrarii īn fabricatie a materiei prime si
pāna la efectuarea controlului final de calitate si depozitarea produsului.
Īn structura duratei ciclului de productie al unui produs se pot cuprinde
urmatoarele elemente:
a) perioada de lucru, formata din:
timpul de pregatire - īncheiere:
timpul necesar efectuarii operatiunilor tehnologice;
timpul pentru procesele naturale;
timpul pentru transport intern;
timpul necesar pentru CTC;
b) perioada de īntreprinderi, formata din:
īntreruperi īntre schimburi;
īntreruperi īn cadrul schimbului.
Timpul de pregatire - īncheiere este necesar pentru efectuarea diferitelor
activitatii īnaintea prelucrarii obiectelor muncii, cum ar fi: reglarea utilajelor īn
vederea prelucrarii produsului respectiv sau dupa terminarea activitatii, aducerea
utilajului la parametri initiali, consultarea documentatiei, curatarea locului de
munca etc.
Timpul necesar efectuarii operatiilor tehnologice sau ciclul tehnologic
cuprinde timpul efectiv pentru prelucrarea, asamblarea partiala si totala a
produsului.
Timpul pentru procesele naturale - apare la acele produse la care prin
tehnologia de fabricatie se prevad anumite transformari ale obiectelor muncii ca
urmare a actiunii factorilor naturali (ex. uscarea cherestelei, uscarea peliculei de lac
sau a adezivilor pe diferite piese componente ale mobilierului - industria lemnului).
Timpul necesar pentru transport intern este necesar deplasarii obiectelor
muncii īntre diferitele unitati de productie ale īntreprinderii (depozite de materii
prime, sectii sau ateliere, depozite de produse finite etc.) precum si īntre locurile de
munca din sectiile sau atelierele īn care se fabrica produsul.
Timpul necesar efectuarii CTC-ului se ia īn consideratie atunci cānd nu se
suprapune altor elemente din structura ciclului de productie (ex. uneori controlul se
poate efectua īn timpul transportului interoperatii si īn acest caz, daca durata
transportului este mai mare decāt cea a operatiei de control, el nu se va regasi īn
structura ciclului de productie).
Īntreruperile datorate regimului de lucru apar īn cazul unitatilor care
lucreaza cu saptamāna de lucru īntrerupta.
Aceste īntreruperi reprezinta sāmbete si duminici libere, sarbatori legale.
Īntreruperile datorate regimului se īnregistreaza la unitatile ce-si desfasoara
activitatea īntr-un numar de schimburi mai mic decāt numarul maxim. Ele pot fi de
16 sau 18 ore, dupa cum unitatea lucreaza īn doua sau īntr-un schimb.
Īntreruperile īn interiorul schimbului datorate organizarii productiei, pot
fi consecinta lucrului pe loturi (īn acest caz piesele asteapta la un loc de munca
pāna cānd se executa operatia respectiva la ultima piesa, lotul trecānd integral
de la o operatie tehnologica la alta) sau pot sa apara īn situatia necorelarii
capacitatilor de productie ale diferitelor verigi de productie.
Structura duratei ciclului de productie este influentata de o serie de factori,
cum ar fi:
caracterul productiei;
natura procesului tehnologic;
nivelul de īnzestrare tehnica a procesului de productie si a muncii etc.
Avānd īn vedere influenta acestor factori, se īnregistreaza diferente ale
structurii duratei ciclului de productie la īntreprinderi apartinānd aceleiasi ramuri
industriale sau unor ramuri industriale diferite. Atunci cānd durata ciclului de
fabricatie depaseste 30 de zile, se considera ca se īnregistreaza un ciclu lung de
productie.
Ţinānd seama de elementele care intra īn structura duratei ciclului de
productie, rezulta ca aceasta se poate exprima astfel:
Dcp = tpi + Dct + tpn + ttr + tCTC + ti
unde:
Dcp = durata ciclului de productie;
tpi = timpul de pregatire-īncheiere pe produs;
Dct = durata ciclului tehnologic;
tpn = durata proceselor naturale;
ttr = durata operatiilor de transport intern;
tCTC = durata operatiunilor de CTC;
ti = timpul de īntreruperi.
CAPITOLUL 8
8.2.1 Proiectarea noilor produse
Prin activitatea de proiectare a noilor produse se urmareste determinarea
formei, a dimensiunilor si a caracteristicilor calitative a produselor care urmeaza sa
fie asimilate īn fabricatie.
Proiectarea noilor produse cuprinde urmatoarele faze principale:
. elaborarea temei de proiectare si a studiului tehnico-economic;
. elaborarea proiectului tehnic;
. elaborarea desenelor de executie.
Tema de proiectare si studiului tehnico-economic cuprind datele de baza
care vor servi la elaborarea proiectului tehnic si a desenelor de executie.
Tema de proiectare cuprinde date referitoare la:
. denumirea produsului;
. destinatia produsului;
. conditiile de utilizare;
. caracteristicile constructive si de calitate ale produsului;
. parametrii de exploatare; cantitatea īn care se va produce;
. termenele de proiectare pe faze etc.
Īn cazul īn care se vor asimila īn fabricatie noi tipuri de materiale, īn locul
temei de proiectare se va elabora fie o tema de cercetare, fie o reteta de fabricatie.
Studiul tehnico-economic se elaboreaza concomitent cu tema de proiectare.
Acesta va demonstra prin continutul sau necesitatea, oportunitatea, urgenta si
rentabilitatea asimilarii noului produs. Īn cadrul studiului tehnico-economic vor fi
cuprinse date referitoare la:
. cererile pe piata interna si externa pentru noul produs;
. necesarul de resurse materiale;
. posibilitatile tehnologice de fabricatie;
. caracteristicile tehnice si de exploatare ale noului produs comparativ cu
cele ale produselor similare existente deja pe piata.
Proiectul tehnic cuprinde urmatoarele lucrari principale:
. īntocmirea calculelor necesare dimensionarii noului produs si stabilirea
formelor geometrice ale pieselor componente;
. alegerea materialelor din care va fi prelucrat noul produs;
. efectuarea calculelor tehnico-economice justificative pentru solutia
constructiva aleasa.
Elaborarea desenelor de executie este o lucrare care īsi propune sa prezinte
īn mod detaliat elementele de ordin constructiv pentru fiecare piesa componenta a
noului produs. Pe baza desenelor de executie se va elabora tehnologia de fabricatie
necesara prelucrarii noului produs. Desenele de executie trebuie sa cuprinda si
informatii tehnice referitoare la modul de īntretinere a diferitelor elemente
componente ale produsului.
Exista situatii cānd pentru asimilarea noilor produse nu este necesara
parcurgerea tuturor aceste etape. Astfel, pentru fabricarea unor produse unicat de
mai mica importanta se parcurge doar tema de proiectare si desenele de executie.
Īn general, proiectarea noilor produse trebuie sa rezolve urmatoarele
probleme:
. largirea gamei sortimentale a produselor;
. reducerea costului, paralel cu īmbunatatirea calitatii noului produs,
comparativ cu produsele similare mai vechi;
. prelungirea duratei de functionare a noului produs si reducerea
cheltuielilor de īntretinere si reparare etc.
CAPITOLUL 13
13.2.3 Planul "Costul productiei industriale"
īntocmirea acestui plan se face printr-o fundamentare riguroasa a
cheltuielilor componente, grupate dupa criteriul "elemente primare de cheltuieli".
Potrivit acestui criteriu, cheltuielile se īmpart īn doua grupe:
a) cheltuieli materiale;
b) cheltuieli cu munca vie.
Grupa cheltuielilor materiale cuprinde urmatoarele elemente primare de
cheltuieli:
. materii prime, materiale de baza si auxiliare (din afara), din care
semifabricate prin cooperare;
. combustibil (din afara);
. energie si apa (din afara);
. amortizarea mijloacelor fixe;
. alte cheltuieli materiale.
a) Cheltuielile cu materii prime si materiale cuprind consumurile din
aceste elemente de cheltuieli īn expresie valorica (inclusiv cheltuielile
ocazionate de aducerea lor de la depozite atunci cānd sunt aduse de
catre terti). Marimea acestor cheltuieli se determina tinānd cont de:
. felul consumului pentru care acestea se utilizeaza;
. cantitatea din fiecare produs īn parte;
. norma de consum pentru fiecare fel de produs;
. pretul unitar al materiilor si materialelor.
b) Cheltuieli cu combustibilul din afara cuprind cheltuielile ocazionate de
consumul de combustibil adus din afara pentru nevoi tehnologice sau
gospodaresti din afara pentru nevoi tehnologice sau gospodaresti.
c) Cheltuielile cu energie si apa din afara include cheltuieli ocazionate de
consumul de energie electrica, aer comprimat, apa si abur cumparate de
la unitati specializate īn producerea acestora si utilizate pentru aceleasi
nevoi ca si combustibilul.
a) Cheltuieli cu amortizarea mijloacelor fixe cuprind cheltuielile
ocazionate de amortizarea mijloacelor fixe proprii īntreprinderii,
determinate pe baza normelor legale ale fiecarui mijloc fix īn parte.
b) Alte cheltuieli materiale sunt formate dintr-un ansamblu de cheltuieli,
din care mai important sunt:
. cheltuieli de editare a unor buletine sau cataloage;
. cheltuieli pentru prelucrarea informatizata a documentelor;
. cheltuieli pentru plata telefonului, telegrafului si serviciilor postale;
. plata chiriilor;
. plata abonamentelor;
. plata licentelor etc.
Grupa cheltuielilor cu munca vie cuprinde urmatoarele elemente de
cheltuieli:
fondul de salarii;
CAS-ul si cota de protectie sociala;
alte cheltuieli cu munca vie.
a) Fondul de salarii cuprinde sumele ce urmeaza sa fie platite īntregului
personal al īntreprinderii pentru activitatea depusa īn cadrul acesteia.
b) CAS-ul si cota de protectie sociala se determina prin aplicarea unei cote
asupra fondului de salarii conform normelor legale īn vigoare.
c) Alte cheltuieli cu munca vie sunt formate dintr-o serie de cheltuieli cum
ar fi:
cheltuieli de cercetare stiintifica;
cheltuieli pentru deplasari īn interes de serviciu;
dobānzi bancare;
impozite;
taxe;
amenzi;
penalizari;
cheltuieli pentru expertize tehnice si contabile;
cheltuieli pentru asistenta tehnica etc.
Cele doua grupe de cheltuieli se constituie ca fiind prima parte a planului
"costul productiei industriale". Īn cea de-a doua parte a sa, acest plan contine date
de fundamentare. Acestea sunt urmatoarele:
. valoarea productiei marfa exprimata īn preturi;
. marimea costurilor marfa exprimata īn preturi;
. marimea costurilor totale si materiale;
. marimea cheltuielilor materiale si totale la 1.000 lei productie marfa.
13.2.3.1 Alte metode de elaborare a costului productiei industriale
Atunci cānd se justifica acest lucru, planul "Costul productiei industriale"
se poate īntocmi folosind si alte metode cum ar fi:
metoda planurilor de cheltuieli pe sectii;
metoda coeficientilor.
a) Metoda planurilor de cheltuieli pe sectii se foloseste īn acele
īntreprinderi care au un proces de fabricatie complex, cum sunt cele din industria
siderurgica, petrochimica etc.
Prin aplicarea acestei metode se vor īntocmi planuri de cheltuieli pe sectii
sau faze de proces tehnologic, prin īnsumarea cheltuielilor pe elemente primare cu
cheltuielile cu caracter complex (circulatia interna din īntreprindere).
Īn acest caz, cheltuielile pe elemente primare include;
. cheltuieli cu materii prime si materiale de baza;
. cheltuieli cu combustibilul si energia din afara;
. cheltuieli cu salariile;
. CAS si cota de contributie sociala;
. cheltuieli cu amortizarile;
. alte cheltuieli.
Cheltuielile complexe cuprind:
. costul serviciilor;
. costul echipamentelor tehnologice;
. costul semifabricatelor etc.
Toate aceste cheltuieli sunt ocazionate de transferul elementelor de
cheltuiala mentionate anterior de la o sectie la alta (circulatia interna a
īntreprinderii).
Potrivit acestei metode se determina mai īntāi costul industrial de sectie,
prin īnsumarea tuturor cheltuielilor efectuate īn cadrul sectiilor de productie. Pentru
obtinerea costului pe elemente primare ale sectiilor, se scoate din costul industrial
de sectie volumul cheltuielilor corespunzatoare circulatiei interne a īntreprinderii.
b) Metoda coeficientilor se utilizeaza īn īntreprinderile īn care
nomenclatorul produselor din perioada de plan este acelasi cu cel din perioada de
baza.
Costul productiei industriale din perioada de plan, īn acest caz, se
determina prin aplicarea unui coeficient la fiecare element de cheltuiala primara a
costului productiei industriale din perioada de baza.
|