Documente online.
Zona de administrare documente. Fisierele tale
Am uitat parola x Creaza cont nou
 HomeExploreaza
upload
Upload




Statistica economica – an 2 – test grila

economie


Statistica economica – an 2 – test grila




TRUE/FALSE


A    1. Obiectul de studiu al statisticii il reprezinta fenomenele de masa.


A    2. Legile statistice se manifesta sub forma de tendinta si sunt valabile pentru un ansamblu de unitati individuale.


F    3. Cercetarea statistica nu tine seama de principiile teoriei probabilitatilor si de cerintele legii numerelor mari.


F    4. Fenomenele de masa sunt fenomene simple, previzibile, rezultate din actiunea unui singur factor de influenta.


A    5. Statistica descriptiva vizeaza descrierea starii si variabilitatii colectivitatii statistice, dupa una sau mai multe caracteristici.


F    6. Statistica descriptiva vizeaza estimarea caracteristicilor unei colectivitati pornind de la cunoastere unui esantion si presupune masurarea incertitudinii rezultatelor.


A    7. Conceptul de fenomen de masa, presupune luarea in considerare a urmatoarelor raporturi:

- necesitate si intimplare;

- legea statistica si legea dinamica;

- model statistic si model determinist.



A    8. Colectivitatile statistice au un caracter obiectiv si finit iar delimitarea lor presupune definirea elementelor din punct de vedere al continutului, spatiului, timpului si formei de organizare.


A    9. Colectivitatile statice exprima o stare si au o anumita intindere in spatiu, formind un stoc la un moment dat.


A    10. Colectivitatile dinamice exprima un flux, o devenire in timp, caracterizarea lor presupunind inregistrarea elementelor componente pe un interval de timp.



F 11. Colectivitatile statice exprima un flux, o devenire in timp, caracterizarea lor presupunind inregistrarea elementelor componente pe un interval de timp.


F 12. Colectivitatile dinamice exprima o stare si au o anumita intindere in spatiu, formind un stoc la un moment dat.


A 13. Caracteristica statistica desemneaza trasatura comuna unitatilor unei colectivitati statistice, retinuta in programul statistic pentru a fi inregistrata.


A 14. Caracteristica statistica se mai numeste si variabila statistica.


A    15. Cercetarea statistica cuprinde totalitatea operatiilor de culegere, observare, sistematizare, prelucrare, stocare, analiza si interpretare a informatiilor.


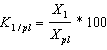
A 16. Centralizarea datelor statistice necesita ca datele utilizate sa fie compatibile si aditive.


F 17. Centralizarea datelor statistice nu necesita ca datele utilizate sa fie compatibile si aditive.


A 18. Gruparea datelor statistice este o centralizare pe grupe omogene a unitatilor unei colectivitati dupa variatia uneia sau mai multor caracteristici.


F 19. Gruparea datelor statistice este o centralizare pe grupe neomogene a unitatilor unei colectivitati dupa variatia uneia sau mai multor caracteristici.



A 20. Caracteristica de grupare este acea insusire care sta la baza impartirii colectivitatii in grupe omogene.


F 21. Caracteristica de grupare nu trebuie sa fie esentiala si nici cu caracter stabil pentru unitatile colectivitatii cercetate.


F 22. Analiza tendintei centrale in seriile de repartitie presupune luare in considerare strict- numai a valorilor individuale.


A 23. Media aritmetica se foloseste in general cind fenomenul supus cercetarii inregistreaza modificari aproximativ constante intr-o progresie aritmetica.


F 24. Media aritmetica ponderata devine reprezentativa atunci cind termenii seriei sunt foarte imprastiati.


A 25. Omogenitatea colectivitatii este o conditie a reprezentativitatii pentru orice tip de marime medie.


A 26. Media armonica se calculeaza din valorile inverse ale termenilor seriei, ca medie simpla sau ponderata.


F 27. Media armonica se calculeazape baza relatiei de produs a termenilor seriei.


A 28. Media patratica se calculeaza prin extragerea radacinii patratice din media aritmetica a patratelor termenilor seriei, ca medie simpla sau ponderata.


F 29. Media patratica se calculeaza prin extragerea radacinii patratice din media geometrica a patratelor termenilor seriei, ca medie simpla sau ponderata.


A 30. Salariul mediu pe ramuri ale economiei nationale este o scala de raport?


F 31. Punctajul obtinut de zece concurenti la un test de cultura generala este o scala nominala?


A 32. Erorile de reprezentativitate sunt specifice cercetarilor prin sondaj


A 33. Intr-o serie de distributie unidimensionala folosim histograma pentru a analiza forma distributiei statistice.


A 34. Frecventele relative sunt marimi relative de structura ca si greutatea specifica.


A 35. Intr-o distributie de repartitie unidimensionala cu intervale egale si variatie continua, centrul de interval este o medie aritmetica simpla intre limitele intervalului.


A 36. Intr-o distributie cu intervale egale si variatie continua, marimea intervalului de grupare este diferenta dintre limitele aceluiasi interval de grupare.


A 37. Frecventele cumulate se formeaza din frecventele absolute ale distributiei studiate.


A 38. Intr-o colectivitate statistica cu structura neomogena si o amplitudine mare se prefera o grupare pe intervale neegale.


A 39. Pentru a analiza forma de variatie a doua caracteristici statice si legaturile dintre ele folosim un tabel combinat.


F 40. Folosim un tabel cu dubla intrare pentru o distributie statistica multidimensionala.


A 41. Distributia statistica bidimensionala se reprezinta grafic cu ,,diagrama norului de puncte'.


A 42. Atunci cand raportam un indicator primar la o baza de raportare insemna ca avem un indicator relativ.


A 43. Compararea datelor statistice prin diferenta o numim marime absoluta.



F 44. Raportarea partilor fata de intreg constituie o marime relativa de intensitate.



F 45. Raportul dintre doi indicatori observati de natura diferita, intre care exista o relatie de interdependenta formeaza o marime relativa de coordonare.


F 46. Raportul dintre o marime planificata si marimea indicatorului in baza de comparatie este o marime relativa de structura.


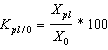
A 47. Raportul dintre o marime realizata si cea existenta in baza de comparatie reprezinta o marime relativa a dinamicii.


A 48. Atunci cand raportam suma realizarilor la suma planificarilor pentru perioada curenta, obtinem un coeficient mediu al indeplinirii planului.


A 49. Daca analiza manifestarii unui fenomen de masa poate fi sintetizata intr-un singur nivel reprezentativ ca tendinta centrala atunci vorbim de marimi medii.


F 50. Daca tendinta centrala a unei serii se exprima ca o valoare inversa a mediei aritmetice a termenilor inversati pentru aceeasi serie atunci avem o medie patratica.


F 51. Pentru a reflecta dezvoltarea medie a unui fenomen, trendul trebuie sa nu elimine oscilatiile sezoniere, accidentale, ciclice.


F 52. Oscilatiile sezoniere se repeta rar, in termene largi in jurul trendului.


F 53. Oscilatiile ciclice se repeta la termene mai scurte de un an in jurul componentei trend.


F 54. Variatiile reziduale se repeta la termene scurte, fiind abateri mici de la evolutia fenomenului.


F 55. In cadrul unei SCR de lungime mica, componentele ei sunt combinate aditiv, multiplicativ sau mixt.


F 56. Trendul sintetizeaza variatii sezoniere in orizontul SCR.


F 57. Erorile de reprezentativitate sunt specifice recensamantului ?


A 58. Rezultatele obtinute in sondaj pot fi extrapolate pentru colectivitatea generala.


A 59. Extrapolarea rezultatelor sondajului asupra intregii colectivitati au caracter probabilistic.


A 60. Reprezentativitatea esantionului este o conditie esentiala in sondajul statistic.


F 61. Marimea erorii de reprezentativitate se poate masura numai relativ.


F 62. Daca unitatile extrase nu sunt restituite colectivitatii generale, sondajul este repetat.


F 63. Atunci cand unitatea prelevata este restituita colectivitatii studiate, are sanse de a reintra in esantion, iar sondajul este nerepetat.


F 64. Varianta elementara de sondaj este sondajul tipic.


A 65. Sondajul aleator simplu este o varianta elementara de sondaj.


A 66. Sondajul stratificat este o solutie particulara a sondajului aleator simplu.


F 67. Sondajul aleator simplu urmareste varianta mai multor caracteristici de grupare.


A 68. Proprietatea unei variabile de a lua numai doua valori reprezinta o caracteristica alternativa.



A 69. Ponderea unitatilor ce poseda caracteristica in volumul esantio-nului reprezinta frecventa relativa sau media caracteristicii alternative.


A 70. Daca vrem sa obtinem o selectie tipica proportionala a esantioanelor vom tine seama de ponderea unitatilor pe grupe in colectivitatea totala.


F 71. Daca la formarea subesantioanelor se are in vedere gradul de omogenitate al grupelor masurat din abaterea standard, atunci obtinem o selectie tipica optima.


A 72. Prin repartizarea in mod egal a esantionului pe subesantioane obtinem o selectie tipica simpla.


A 73. Daca esantionul s-a format dintr-o colectivitate formata din unitati complexe, avem un sondaj de serii.


A 74. Ipoteza nula este acea ipoteza pe care cercetatorul doreste sa o discrediteze.


A 75. Criteriul de semnificatie este procesul de verificare a unei ipoteze statistice.


A 76. Eroarea de tip I se produce atunci cand respingem ipoteza nula, desi ea este adevarata.


F 77. Eroarea de tip II se produce daca acceptam o ipoteza nula adevarata.


A 78. Riscul vanzatorului este atunci cand comitem o eroare de tip I.


A 79. Adoptam o decizie dupa ce comparam un test calculat cu o valoare tabelara.


A 80. Un test in care cunoastem legea de distributie este un test parametric.


A 81. Daca nu cunosc formele de distributie a populatiei utilizez un test neparametric.


F 82. Pentru a reflecta dezvoltarea medie a unui fenomen, trendul trebuie sa nu elimine oscilatiile sezoniere, accidentale, ciclice.


F 83. Oscilatiile sezoniere se repeta rar, in termene largi in jurul trendului.


F 84. Oscilatiile ciclice se repeta la termene mai scurte de un an in jurul componentei trend.


F 85. Variatiile reziduale se repeta la termene scurte, fiind abateri mici de la evolutia fenomenului.


F 86. Trendul sintetizeaza variatii sezoniere in orizontul SCR.


A 87. Intr-o ancheta statistica se foloseste o scala de la 1 la 10 pentru a masura acordul/dezacordul subiectilor fata de un produs, atunci am folosit o scala de atitudine.


F 88. Cheltuielile cu reclama de sarbatori facute de cateva firme bucurestene le vom analiza ca variabile calitative.


F 89. O caracteristica statistica mai este cunoscuta sub numele de populatie statistica.


F 90. Ne referim la conceptul de data statistica, atunci cand avem o marime numerica concreta a unitatii unei colectivitati statistice.


A 91. Forma concreta de manifestare a unitatii statistice la nivelul unei colectivitati este o variabila aleatoare.


F 92. Recensamantul este o metoda de observare partiala a colectivitatii statistice.


A 93. Recensamantul este o metoda de observare periodica a colectivitatii statistice.


F 94. Ancheta este o observare partiala numai daca se respecta conditia de reprezentativitate.

F 95. Pentru o colectivitate cu un numar mare de valori individuale distincte si o amplitudine mica se recomanda o grupare pe intervale.


A 96. Pentru o colectivitate cu un numar mare de unitati statistice si cu o amplitudine mare se recomanda folosirea formulei lui Shurges pentru a afla marimea intervalului de grupare.


MULTIPLE CHOICE


1. In functie de numarul caracteristicilor, statistica descriptiva poate fi:

a.

unidimensionala (pentru o variabila);

b.

multidimensionala (pentru doua sau mai multe variabile);

c.

toate variantele de mai sus.



2. Analiza statistica urmareste:

a.

descoperirea a tot ceea ce este permanent, esential si logic in variatia proceselor statistice;

b.

masurarea influentei factorilor care determina variatii in timp si spatiu;

c.

masurarea influentei factorilor care determina variatii din punct de vedere calitativ;

d.

toate variantele de mai sus.



3. Colectivitatea statistica (populatia statistica) desemneaza totalitatea elementelor de aceeasi natura, care:

a.

au o serie de trasaturi esentiale comune;

b.

sunt generate de acelasi complex de cauze esentiale;

c.

toate variantele de mai sus;



4. Colectivitatile statistice pot fi:

a.

statice;

b.

dinamice;

c.

toate variantele de mai sus;



5. Unitatile statistice nu pot fi:

b.

mixte;



6. Caracteristicile statistice se pot clasifica:

a.

dupa continut;



7. Caracteristicile statistice se pot clasifica in functie de:

a.

modul de manifestare;

b.

gradul de esentialitate;

c.

natura variatiei caracteristicilor numerice;

d.

a- b- c



8. Marimile concrete obtinute din experimente, observatii, numarare, masurare sau calcule se numesc:

b.

date statistice;



9. Care este scala pentru care valoarea zero indica absenta completa a caracteristicii urmarite:

d.

scala de raport;




10. Care este scala ale carei variante obtinute pot fi supuse operatiilor matematice?

a.

scala de raport;



11. Prelucrarea statistica a datelor presupune:

a.

sistematizarea lor prin gruparea statistica;

b.

calculul indicatorilor;

c.

prezentarea datelor sub forma de tabele, serii si grafice;

e.

a- b- c.


12. Dupa numarul unitatilor inregistrate, observarile statistice nu pot fi:

a.

unice;



13. Dupa timpul la care se refera datele, observarea statistica poate fi:

a.

observare curenta;

b.

observare unica;

c.

observare periodica;

d.

a- b- c;



14. Tehnica gruparii necesita parcurgerea urmatorilor pasi:

a.

stabilirea numarului de grupe;

b.

alegerea si folosirea caracteristicilor de grupare;

c.

alegerea intervalului de grupare;

e.

a- b- c.



15. In functie de numarul caracteristicilor de grupare putem avea grupe:

a.

simple;

b.

combinate;

d.

a- b;



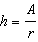
16. Cind ne referim la gruparea datelor statistice, notam cu r :

c.

numarul de grupe;



17. Cind ne referim la gruparea datelor statistice, notam cu h :

d.

marimea intervalului de grupare;



18. Cind ne referim la gruparea datelor statistice, notam cu A:

a.

amplitudinea de variatie;



19. Formula lui Sturges este:


a.




20. Marimea intervalului de grupare se calculeaza cu formula:

c.



21. Amplitudinea de variatie se calculeaza cu ajutorul formulei:

d.

A = Xmax - Xmin




22. Pentru seriile unidimensionale, exprimate cifric, folosim urmatoarele grafice:

a.

histograma;

b.

poligonul frecventelor;

c.

curba frecventelor;

d.

toate variantele de mai sus;





23. Pentru seriile unidimensionale cu atribut calitativ, folosim urmatoarele grafice:

b.

diagrame de structura;



24. Pentru seriile bidimensionale, graficul folosit este:

a.

diagrama norului de puncte(corelograma);



25. Cu ajutorul formulei , calculam:

b.

ponderea sau greutatea specifica;




26. Cu ajutorul formulei , calculam:

a.

frecventele




27. Cu ajutorul formulei , calculam:

c.

gradul de realizare a productiei in perioada curenta fata de perioada de baza;




28. Cu ajutorul formulei , calculam:

a.

marimile relative ale sarcinii de plan;




29. Cu ajutorul formulei , calculam:

b.

marimile relative ale realizarii planului;



30. Pentru calcularea corecta a mediilor este necesar sa se indeplineasca urmatoarele conditii:

a.

calculul mediilor sa se bazeze pe folosirea unui numar mare de cazuri individualediferite, a caror variatie este intimplatoare in raport cu fenomenul in totalitatea lui;



31. Pentru calcularea corecta a mediilor este necesar sa se indeplineasca urmatoarele conditii:

a.

valorile din care se va calcula media sa fie omogene;

b.

alegerea acelei medii care corespunde cel mai bine formei de variatie a caracteristicii cercetate;

c.

calculul mediilor sa se bazeze pe un numar suficient de mare de cazuri individuale diferite;

d.

toate variantele de mai sus;




32. Cu ajutorul formulei , calculam:

c.

media aritmetica ponderata;




33. Relatiile existente intre medii sunt date de inegalitatile:

a.




34. Gruparea judetelor Romaniei dupa numarul total al angajatilor cu studii superioare din ultimii 10 ani este o:

c.

grupare dupa o caracteristica numerica




35. Intr-o serie de valori individuale ale unei variabile numerice, observata intr-o populatie statistica, valoarea modala este:

c.

varianta, pozitiva sau negativa, cu cea mai mare frecventa de aparitie


36. Reprezentativitatea este urmarita, in mod deosebit, in cazul culegerii datelor prin:

b.

sondaje statistice



37. Stabilirea precisa si clara a scopului unei observari statistice, totala sau partiala, nu prezinta importanta pentru:

c.

stabilirea scopului cercetarii statistice



38. Recensamantul ca metoda de observare statistica:

d.

se organizeaza cu o anumita periodicitate



39. Statistica se ocupa de acele fenomene:

d.

care se produc intr-un numar mare de cazuri, prezinta in producerea lor anumite regularitati si care pot fi denumite fenomene de masa



40. Scala de interval:

b.

are toate caracteristicile scalei ordinale si in plus, distanta sau diferenta dintre doua numere ale scalei, are semnificatie concreta



41. Care din observarile statistice precizate nu au un caracter permanent:

e.

recensamintele statistice



42. Calculul amplitudinii variatiei valorilor individuale are sens pentru:

a.

serii statistice numerice formate pe variante



43. O medie calculata dintr-un sir de valori individuale este reprezentativa daca:

b.

sirul de valori individuale este omogen



44. Frecventa absoluta cumulata crescator a ultimei grupe este intotdeauna egala cu:

a.

numarul de unitati din colectivitate



45. Daca in urma gruparii unui set de date pe intervale egale de variatie se obtin frecvente nule, atunci se recomanda:

c.

se regrupeaza datele, marind numarul de intervale de variatie



46. Ordinea in care sosesc alergatorii unui maraton, reprezinta o variabila statistica ale carei valori pot fi masurate pe o scala:

c.

ordinala



47. Salariul net pentru 50 de angajati ai unei firme se masoara pe o scala:

d.

de raport




48. Daca variabila inregistrata prezinta un numar mare de valori individuale distincte se recomanda:



c.

gruparea pe intervale de variatie



49. Daca variabila inregistrarilor prezinta un numar redus de variante se recomanda:

b.

gruparea pe variante



50. Daca se urmareste structura colectivitatii simultan dupa doua caracteristici, alegem:

c.

gruparea combinata



51. Tipuri de grafice folosite pentru serii interdependente:

c.

corelograma



52. Tipul de grafic folosit pentru seriile de distributie de frecvente este:

b.

histograma



53. Histograma este:

c.

reflecta forma distributiei


54. Expresia sintetizarii valorilor individuale ale unei variabile statistice intr-un singur nivel reprezentativ, in aparitia si manifestarea fenomenelor de masa este data de:

c.

valoarea medie



55. Dispersia este invers proportionala cu:

a.

volumul esantionului



56. Coeficientul de variatie arata:

a.

de cate ori este mai mare s fata de


57. Cuartila intai este:

b.

o valoare situata la 25% din termenii seriei



58. Determinarea volumului esantionului in varianta:'aleator simplu nerepetat' se efectueaza utilizand relatia:

a.



59. Daca intr-o repartitie unidimensionala formata dupa o variabila numerica X, valorile individuale sunt evident deplasate catre valorile mari ale seriei, atunci

b.



60. Daca notam cu: - media aritmetica; - media armonica; - media patratica; - media geometrica , relatia de ordine dintre medii este urmatoarea:

d.



61. Daca notam: = media aritmetica, Me = mediana, M0 = modul, iar intr-o serie de repartitie intre ei exista relatia: =M0 =Me, atunci:

d.

seria este de tip perfect simetrica



62. Multimea valorilor coeficientului de corelatie calculat in cazul dependentelor liniare directe este:

c.




63. Tendinta legaturii dintre doua variabile se exprima prin functia: . Intensitatea legaturii dintre cele 2 variabile se caracterizeaza prin:

d.

raportul de corelatie;



64. Valoarea raportului de corelatie este egala cu valoarea coeficientului de corelatie, atunci cand:

c.

legatura dintre variabile este liniara;



65. Determinati ecuatia dreptei de regresie avand coeficientul unghiurilor (-9) si ordonata la origine 16:

b.

y = 16 - 9x



66. Legatura dintre productivitatea muncii si vechimea salariatilor dintr-o firma poate fi redata prin ecuatia de regresie y = 0,8 + 0,4x. Atunci productivitatea unui salariat cu 6 ani vechime va fi:

b.




67. Nu este posibila insumarea termenilor SCR:

a.

de momente;



68. Trendul unei SCR se determina prin MSM atunci cand:

c.

graficul are un punct de minim;


69. Ajustarea (determinarea trendului) seriilor cronologice prin metoda mediilor mobile se realizeaza cand

c.

variatia termenilor seriei prezinta evidente regularitati ciclice;



70. Recesiunea economica este o fluctuatie:

d.

ciclica.



71. Componenta ciclica apare ca urmare a actiunii:

b.

factorilor ce determina fazele de contractie si relaxare a fenomenelor;


72. Componenta sezoniera a unei serii de timp apare ca rezultat al actiunii:

a.

fluctuatiilor legate de anotimp, sau similar, in cursul unei zile, saptamani, luni, trimestru;



73. Valorile ajustate ale unei SCR pot fi fata de cele inregistrate:

d.

<, =, >;



74. Daca intr-o SCR, suma valorilor ajustate este aproximativ egala cu suma valorilor inregistrate, atunci:

e.

metoda de ajustare aleasa este corecta.



75. Operatiunea de corectare a valorilor inregistrate ale unui fenomen economic la curba sa de tendinta se numeste:

b.

ajustare;



76. Extrapolarea reprezinta operatiunea statistica de:

a.

prelungire a valorilor unei serii cronologice dincolo de perioada analizata conform unei legi de tendinta;



77. La un concurs de gimnastica 7 participante au ocupat urmatoarele locuri: 11, 4, 5, 9, 8, 2, 12. Determinati printr-o metoda potrivita locul mediu ocupat de participante.

b.





78. Distributia studentilor dintr-o grupa dupa nota la examenul de statistica este:

NOTA








Total

NR. studenti









Valoarea mediana (Me) va fi de:

b.




79. La o firma se analizeaza situatia salariatilor dupa vechime:

Gruparea salariatilor dupa vechime

Nr. salariatilor











Total


Valoarea mediana (Me) calculata va fi:

a.




80. Rezultatele examenului unei grupe de studenti au fost urmatoarele:

Studentul

A

B

C

D

E

F

G

H

I

K

Marketing











Statistica












Dependenta dintre valorile celor 2 variabile se masoara cu ajutorul coeficientului de corelatie al rangurilor, a lui Spearman, a carui valoare este de:

c.




81. Pentru ocuparea unui post vacant s-au prezentat la concurs 8 candidati. Datele referitoare la numarul de erori comise la dactilografierea unui text si timpul necesar de dactilografiere se prezinta astfel:

Candidatul

A

B

C

D

E

F

G

H

Nr. erori









Timp dactilo/min









Dependenta dintre valorile celor 2 variabile masurate cu coeficientul lui Kendall a fost in valoare de:

a.




82. Pe baza unui sondaj n = 51 studenti, efectuat in cadrul facultatii, s-au inregistrat doua caracteristici prezentate in urmatorul tabel:



Culoarea

ochilor

Total



deschisa

inchisa


culoarea

deschis




parului

inchis




Total





Coeficientul de asociere a lui Yulle intre cele doua caracteristici va avea valoarea:

b.





83. Distributia de frecvente a cifrei de afaceri a 40 de firme se prezinta astfel:

Cifra de afaceri (CA)

mil. lei

Nr. de firme











TOTAL


Nota: Limita inferioara inclusa in interval.

Determinati:

· Limita inferioara a clasei a 3-a;

· Centrul de interval a clasei a 5-a;

· Marimea intervalului clasei a 4-a

Alegeti varianta:

c.




84. Calculati abaterea standard pentru lichiditatea generala a urmatoarelor firme:

Firma






Lichiditatea generala






Alegati varianta corecta:

b.




85. Determinati valoarea medie a vanzarilor la export pe baza valorilor obtinute de 6 firme la export:

Firma







Valoarea vanzarilor la export (mil. lei)







Alegeti varianta corecta:

a.









86. Din studiul facut asupra a 20 firme privind numarul clientilor incerti in totalul clientilor unei banci avem urmatoarea distributie:

Grupe de firme dupa nr. clientilor incerti

Nr. firme











Total


Determinati valoarea medie a clientilor incerti :

c.





87. Din studiul facut asupra a 20 firme privind numarul clientilor incerti in totalul clientilor unei banci avem urmatoarea distributie:

Grupe de firme dupa nr. clientilor incerti

Nr. firme











Total


Determinati valoarea medie a clientilor incerti :

b.




88. Dintr-un studiu asupra vechimii salariatilor unei firme s-au obtinut urmatoarele date:

Compararea salariatilor dupa vechime

Nr. salariati













Total


Determinati vechimea medie a salariatilor folosind indicatorii de pozitie (Me si Mo):

b.




89. Pentru urmatoarea distributie statistica verificati reprezentativitatea vechimii medii a salariatilor unei firme:

Grupe de salariati dupa vechime

Nr. salariati











Total


Alegeti varianta corecta:

c.








90. Daca cunoastem urmatoarele date:

Grupe de salariati dupa vechime

Nr. salariati

Timpul mediu nelucrat (min)

Dispersiile timpului nelucrat

I




II




III




Determinati coeficientul de nederminatie (K2) pentru acesti salariati din urmatoarele variante:

b.





91. Distributia de frecvente a cifrei de afaceri a 40 de firme se prezinta astfel:

Cifra de afaceri (CA) (mil. lei)

Nr. de firme











TOTAL


Nota: Limita inferioara inclusa in interval.

Determinati:

·Amplitudinea variatiei nr. de firme;

·Marimea intervalului de grupare (h);

·Marimea constantei (a) – valoarea variabilei cu frecventa maxima.

Alegeti varianta corecta:

b.




92. Pentru prezentarea repartizarii in spatiu a unui fenomen se foloseste:

1) cartograma

3) cartodiagrama

Alegeti una din combinatiile:

b.




93. Elementele unui grafic sunt:

1) titlul

2) axele de coordonate

3) reteaua

4) scara de reprezentare

5) graficul propriu-zis

Alegeti una din variantele:

b.




94. Calculul amplitudinii variatiei valorilor individuale are sens pentru:

1. serii statistice numerice formate pe variante   

3. serii statistice formate pe intervale egale de variatie

4. serii statistice formate pe intervale neegale de variatie

Alegeti una din combinatiile:

a.




95. Evolutia in timp a unei SCR nu este explicata de o serie:

c.

de distributie de frecventa;



96. Termenii unei SCR sunt independenti pentru ca:

c.

sunt valori succesive ale aceluiasi fenomen;



97. In perioada de vara creste nivelul de ocupare al lucrurilor in hoteluri, aceasta reprezinta o evolutie:

b.

sezoniera;


98. Recesiunea economica este o fluctuatie:

c.

ciclica;



99. Indicii sunt inclusi in categoria:

b.

marimilor




100. Nu reprezinta o conditie pentru indicatorii sintetici satisfacerea testului de:

c.

complexitate al factorilor;



101. Indicele nu se obtine cand raportam:

d.

o parte a colectivitatii la total.



102. In colectivitati eterogene, pentru calcularea indicilor este necesar:

b.

comasurator sub forma unor ponderi;


103. Indicii sintetici folosesc sisteme de pondere cand:

a.

valorile individuale nu sunt insumabile direct;



104. Calculul indicilor sintetici, cand avem indicii individuali si valorile in perioada de baza, se face sub forma de:

a.

medie aritmetica;



105. Indicii sintetici nu se vor calcula ca:

a.

suma a indicilor individuali;



106. Din urmatoarele expresii recunoasteti factorul calitativ:

c.

preturile produselor fabricate



107. Recunoasteti factorul cantitativ din urmatoarele expresii:

b.

productia de bunuri materiale;



108. Daca avem indicii individuali si valorile perioadei curente, indicii sintetici se vor calcula ca:

b.

medie armonica ponderata a indicilor individuali;



109. Indicii sintetici ce folosesc ponderile perioadei de baza, sunt indici:

b.

Laspeyres;



110. Indicii sintetici ce folosesc ponderile perioadei curente, sunt indici:

c.

Paasche;



111. Daca intr-o SCR, suma valorilor ajustate este aproximativ egala cu suma valorilor inregistrate, atunci:

d.

metoda de ajustare aleasa este corecta;



112. Operatiunea de corectare a valorilor inregistrate ale unui fenomen economic la curba sa de tendinta se numeste:

b.

ajustare;



113. In analiza unui fenomen complex, metoda restului nedescompus, spre deosebire de metoda substituirii in lant:

b.

este mai corecta, permitand explicarea mai veridica a cauzelor ce conditioneaza variatia variatiei complexe;



114. Probleme ce trebuie rezolvate la analiza unei SCR sunt:

a) calcularea indicatorilor absoluti, relativi medii;

b) extrapolarea;

c) analiza sezonalitatii;

d) determinarea trendului;

Alegeti combinatia corecta:

a.

(a, b, c, d);



115. Valorile individuale ale SCR depind de:

a) factori esentiali cu actiune sistematica;

b) factori aleatori;

d) variatii sezoniere;

f) oscilatii ciclice.

Alegeti combinatia corecta:

a.

(a, b, d, f);


116. Determinarea trendului unei SCR se poate face cu urmгtoarele metode mecanice:

1. metoda grafica;

3. metoda mediilor mobile;

4. metoda sporului mediu;

6. metoda indicelui mediu.

Alegeti varianta corecta

c.




117. Intr-o SCR suficient de mare se pot identifica mai multe componente:

1. variatii sezoniere;

2. variatii periodice;

4. oscilatii periodice ciclice;

5. variatii accidentale;

Alegeti varianta corecta:

b.




118. Dintre indicatorii absoluti ai SCR enumeram:

1. indicatorul de nivel;

2. modificarea absoluta;

5. indicatorl de volum.

Alegeti varianta corecta:

a.




119. Indicatorii relativi ai SCR sunt: ( nu exista nr. 6)

2. indicele de dinamica;

5. ritmul de modificare relativa absoluta a 1% din ritmul de crestere.

Alegeti varianta corecta:

b.




120. Indicatorii medii ai SCR de intervale sunt:

1. nivelul mediu;

3. modificarea absoluta medie;

4. ritmul mediu de dinamica;

5. indicele mediu de dinamica;

Alegeti varianta corecta:

b.




121. Determinarea trendului SCR prin metoda mediilor mobile se realizeaza cand:

c.

variatia termenilor seriei prezinta evidente regularitati ciclice;



122. Componenta ciclica apare ca urmare a actiunii:

a.

factorilor sezonieri;



123. Componenta sezoniera a unui SCR apare ca rezultat al actiunii:

a.

fluctuatiile legate de anotimp, sau de trimestru, luna, saptamana;




124. Trendul unui SCR se determina prin MIM (metoda indicelui mediu) atunci cand:

2.modificarile indicilor de dinamica cu baza mobila sunt aproximativ egali;

4.sirul termenilor SCR prezinta in evolutie o progresie geometrica.

Alegeti varianta corecta:

c.




125. Indicele mediu de dinamica se calculeaza ca:

c.

medie geometrica, numai daca indicii de dinamica cu baza mobila au valori apropiate;



126. Extrapolarea reprezinta operatiunea statistica de:

3. stabilirea unor termeni viitori situati in afara orizontului de analiza;

5. prelungirea valorilor unei SCR dincolo de perioada de analiza pe baza unui model de analiza si introducerea variabilei timp.

Alegeti varianta corecta:

d.




127. Metoda restului nedescompus pentru a masura influentele izolate ale factorilor unui fenomen complex va lua in considerare:

c.

ponderile perioadei de baza indiferent de natura calitativa sau cantitativa a factorului izolat;



128. Evolutia in timp a unei SCR nu este explicata de o serie:

c.

de distributie de frecventa;



129. Termenii unei SCR sunt independenti pentru ca:

c.

sunt valori succesive ale aceluiasi fenomen;



130. Indicii sunt inclusi in categoria:

b.

marimilor



131. In colectivitati eterogene, pentru calcularea indicilor este necesar:

b.

comasurator sub forma unor ponderi;



132. Indicii sintetici folosesc sisteme de pondere cand:

a.

valorile individuale nu sunt insumabile direct;



133. Calculul indicilor sintetici, cand avem indicii individuali si valorile in perioada de baza, se face sub forma de:

a.

medie aritmetica;



134. Indicii sintetici nu se vor calcula ca:

a.

suma a indicilor individuali;


135. Din urmatoarele expresii recunoasteti factorul calitativ:

c.

preturile produselor fabricate



136. Recunoasteti factorul cantitativ din urmatoarele expresii:

b.

productia de bunuri materiale;



137. Daca avem indicii individuali si valorile perioadei curente, indicii sintetici se vor calcula ca:

b.

medie armonica ponderata a indicilor individuali;



138. Operatiunea de corectare a valorilor inregistrate ale unui fenomen economic la curba sa de tendinta se numeste:

b.

ajustare;







COMPLETION


1. Trasatura comuna unitatilor unei colectivitati statistice, retinuta in programul statistic pentru a fi inregistrata si care are valori diferite de la o unitate la alta se numesteCARACTERISTICA..statistica.



2. Culegerea de informatii, dupa o metodologie unitara, pentru toate unitatile colectivitatii si pe baza unui plan bine stabilit se numeste .OBSERVARE.. statistica.



3. Daca distributia statistica are un coeficient de asimetrie (Cas): Cas < 0, atunci avem o asimetrie la .DREAPTA. .


4. Intr-o distributie statistica coeficientul Cas = 0, atunci avem o serie SIMETRICA. .


5. Numarul de aparitii al unei variante intr-o colectivitate se numeste ..FRECVENTA.. .


6. Reprezentarea grafica a seriilor de timp se realizeaza cu ajutorul CRONOGRAMEI .


7. Marimile relative de structura se reprezinta grafic prin diagrame de STRUCTURA. .


8. Abaterea medie patratica se calculeaza ca radacina patrata a ..DISPERSIEI .


9. Amplitudinea absoluta se defineste ca diferenta dintre valoarea MAXIMA..si valoarea MINIMA..din seria studiata.


10. Regresia ne arata cum o variabila este DEPENDENTA..de alta variabila.


11. Corelatia arata gradul in care o variabila este DEPENDENTA de alta variabila.


12. Daca , atunci legatura dintre cele doua variabile este PUTERNICA.. .


13. Legaturile statistice se manifesta ca tendinta variabila numai la nivelul COLECTIVITATII .


MATCHING




1. Care este formula mediei armonice?

b.




2. Care este formula mediei geometrice?

c.




3. Care este formula mediei patratice?

a.






STATISTICA_ 2

BANCA2


NUMERIC RESPONSE


1. Se cunosc urmatoarele date:

Produse

Valoarea productiei

mil. lei

Procentul modificarii preturilor     (%)

V0

V1


A




B




Calculati dinamica modificarii relative pe seama modificarii volumului fizic al productiei ( in %) si modificarea absoluta corespunzatoare (in mil. lei).

Pentru raspuns tastati o valoare numerica intreaga (fara zecimale - rotunjita obisnuit).


ANS: 148/100


2. Se dau urmatoarele date referitoare la repartitia salariatilor dupa vechimea in munca:

Gruparea salariatilor dupa vechimea in munca

Numarul

salariatilor













peste 30


TOTAL

Calculati: • limitele intervalului al 7-lea (puneti limitele intervalului separate prin liniuta „–”);

• media distributiei de frecventa (media se trece cu o zecimala separata prin virgula de partea intreaga).

ANS: 30-35/17,5


3. O banca studiaza clientii incerti din firme cu care lucreaza, studiu din care s-a realizat urmatoarea distributie statistica:

Grupe de firme dupa nr. clientilor incerti



Nr. firme











Total


Determinati valoarea medie a clientilor incerti folosind o medie corespunzatoare.

ANS: 35









4. In urma unei anchete statistice asupra productivitatii muncii pentru 50 de firme s-au obtinut urmatoarele date:

Grupe de firme dupa productivitatea muncii

Nr. firme











Total


Determinati valoarea medie a productivitatii muncii celor 50 de firme printr-o medie adecvata.

ANS: 14


5. Dintr-un studiu asupra vechimii salariatilor unei firme s-au obtinut urmatoarele date:

Gruparea salariatilor

dupa vechime

Nr. salariati











Total


Determinati vechimea medie a salariatilor folosind indicatorii de pozitie (cuantilele pentru care K = 2 si K = 4).

ANS: 10/8/10/12


6. Dintr-un studiu asupra vechimii salariatilor unei firme s-au obtinut urmatoarele date:

Compararea salariatilor dupa vechime

Nr. salariati











Total


Determinati vechimea medie a salariatilor folosind indicatorii de pozitie Me si D5.


ANS: 10/10


7. Distributia de frecvente a cifrei de afaceri a 40 de firme se prezinta astfel:

Cifra de afaceri (CA) (mil. lei)

Nr. de firme











TOTAL


Nota: Limita inferioara inclusa in interval.

Determinati:

ANS: 80/130/20/80-100




8. Distributia de frecvente a cifrei de afaceri a 40 de firme se prezinta astfel:

Cifra de afaceri (CA) (mil. lei)

Nr. de firme











TOTAL


Nota: Limita inferioara inclusa in interval.

Determinati:

ANS: 90/13/60/95


9. Distributia de frecvente a cifrei de afaceri a 40 de firme se prezinta astfel:

Cifra de afaceri (CA) (mil. lei)

Nr. de firme











TOTAL


Nota: Limita inferioara inclusa in interval.

Determinati:

ANS: 40/35/24/10/2/110/28/5


10. Distributia de frecvente a cifrei de afaceri a 40 de firme se prezinta astfel:

Cifra de afaceri (CA) (mil. lei)

Nr. de firme











TOTAL


Nota: Limita inferioara inclusa in interval.

Determinati:

ANS: 5/16/30/38/40/90/13/20


11. Pentru seria statistica simpla data: 30, 8, 20, 17, 10, 25, 5, precizati:

ANS: 19/17


12. Calculati pentru o serie statistica simpla: 30, 8, 20, 100, 50, 17, 5; media aritmetica () si mediana (Me).

ANS: 33/20



13. Pentru distributia de frecvente ce reprezinta capitalul social de 50 de firme:

Capital social (mild. lei)

Nr. de firme











Total


Calculati:

ANS: 5,72/5,82/5,88


14. Pentru distributia de frecvente ce reprezinta capitalul social de 50 de firme:

Capital social (mild. lei)

Nr. de firme











Total


Calculati: • cuartilele (Q1, Q2, Q3);

• valoarea modala (Mo).

ANS: 4,75/5,82/6,73/5,88.


15. Pentru distributia de frecvente ce reprezinta capitalul social de 50 de firme:

Capital social (mild. lei)

Nr. de firme











Total


Determinati: • valoarea modala (Mo);

• decilele (D1, D5, D9)

ANS: 5,88/3,22/5,82/8,56.



16. Distributia salariatilor dupa vechime se prezinta astfel:

Gruparea salariatilor dupa vechime

Nr. salariati











Total


Determinati:

·valoarea vechimii medii ();

·valoarea mediana a vechimii (Me);

·valoarea modala a vechimii (Mo).

ANS: 18,5/18,7/18,1


17. Distributia salariatilor dupa vechime se prezinta astfel:

Gruparea salariatilor dupa vechime

Nr. salariati











Total


Determinati:

ANS: 19/6/3


18. Pentru un sondaj de 10% aleator si nerepetat asupra capacitatii de cazare dintr-o zona montana, care se prezinta astfel:

Gruparea unitatilor turistice dupa capacitatea de cazare

Nr. unitati turistice















Total


Determinati:

ANS: 55/28


19. Consumul de apa potabila (litri/locuitor) a cunoscut urmatoarea evolutie in perioada 2000-2004:

Anii






Consumul






Calculati sistemul de indicatori medii ce caracterizeaza aceasta SCR (), a caror valori au fost :

ANS: 2229/49/1,02/2


20. Se cunosc urmatoarele date privind emisiile radio (mii ore program):

Anii






Numar emisii radio






Calculati :

- modificarea absoluta cu baza fixa (Dt/1) a acestei SCR ;

- indicele de dinamica cu baza mobila (It/t-1) a acestei SCR. 

ANS: 10/13/22/29/120/105/114/110


21. O firma a inregistrat in semestrul I al anului 2004, urmatoarele stocuri de marfuri:

DATA







STOC (kg)







Sa de determine stocul mediu al semestrului I 2004, a acestei serii de momente, a carui valoare a fost de; =?

Tastati raspunsul o valoare intreaga (se aproximeaza dupa regula generala).

ANS: 150


22. Consumul de apa potabila (litri/locuitor) intr-o localitate, a cunoscut urmatoarea evolutie:

Anii






Consumul






Calculati sistemul de indicatori medii ce caracterizeaza seria SCR data: .ANS:    228/10/105/5




Document Info


Accesari:
Apreciat: hand-up

Comenteaza documentul:

Nu esti inregistrat
Trebuie sa fii utilizator inregistrat pentru a putea comenta


Creaza cont nou

A fost util?

Daca documentul a fost util si crezi ca merita
sa adaugi un link catre el la tine in site


in pagina web a site-ului tau.




eCoduri.com - coduri postale, contabile, CAEN sau bancare

Politica de confidentialitate | Termenii si conditii de utilizare




Copyright © Contact (SCRIGROUP Int. 2026 )