Documente online.
Zona de administrare documente. Fisierele tale
Am uitat parola x Creaza cont nou
 HomeExploreaza
upload
Upload




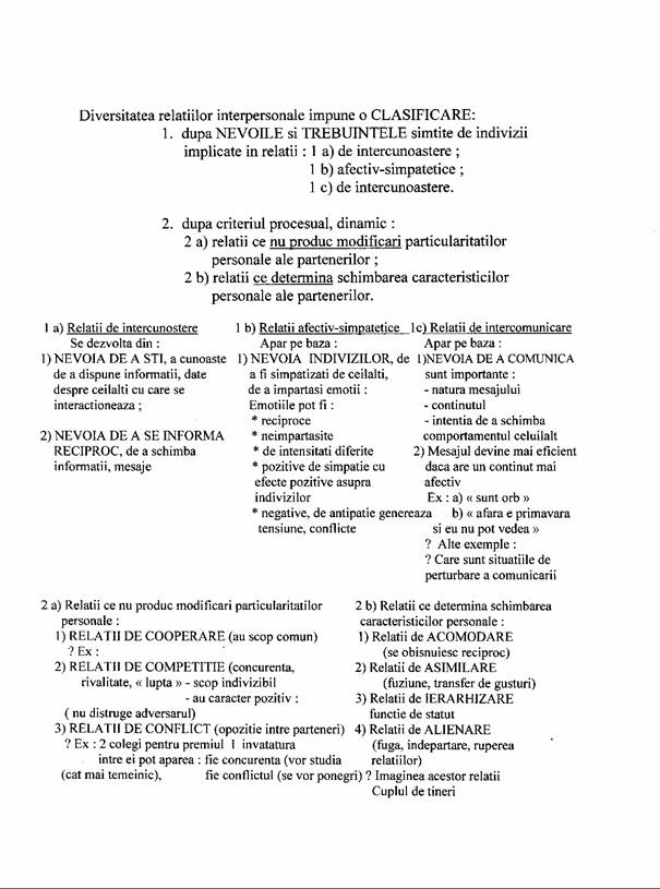
Lectia de dirigentie-cls. a VII a B - Relatiile interpersonale-clasificare

profesor scoala


ALTE DOCUMENTE

Nota de fundamentare - Privind achizitia directa de echipamnet IT tip wireless-Axes Point
SACODEYL - Chestionarul elevilor
LECTIE RECAPITULATIVA: ASPECTE ENERGETICE ALE REACTIILOR CHIMICE
PROIECT DE LECŢIE FINALĂ SPORT
Proiect didactic - Informatica- Tehnologii asistate de calculator
PROIECT DE PARTENERIAT EDUCATIONAL
SISTEME sI TEHNOLOGII DE FABRICAŢIE - PLANIFICARE CALENDARISTICĂ
Dezvoltarea creativitatii elevilor prin intermediul proiectelor educationale
OLIMPIADA DE LIMBA sI LITERATURA ROMANĂ


























Tema de reflexie!

Ganditi-va la relatiile interpersonale la nivelul clasei voastre cat si la nivelul liceului !

Asterneti pe o foaie cea mai placuta experienta traita alaturi de un coleg sau prieten !






Document Info


Accesari: 4216
Apreciat: hand-up

Comenteaza documentul:

Nu esti inregistrat
Trebuie sa fii utilizator inregistrat pentru a putea comenta


Creaza cont nou

A fost util?

Daca documentul a fost util si crezi ca merita
sa adaugi un link catre el la tine in site


in pagina web a site-ului tau.




eCoduri.com - coduri postale, contabile, CAEN sau bancare

Politica de confidentialitate | Termenii si conditii de utilizare




Copyright © Contact (SCRIGROUP Int. 2025 )