Semestrul I
1.a.Ecuatii ale modelului semiotic
E1 Iluminatul holului se va face prin ample corpuri suspendate pentru a asigura un caracter festiv
Acest enunt este o modalitate de gīndire endostenofonica (nerostita), obisnuita īn procesul de proiectare, cānd se emit permanent astfel de judecati de relatie, analiza urmatoare avānd īn vedere aspectul procesoral al demersului: "ceva" este pus īn legatura cu "altceva".
Exista doua categorii de termeni:
care se refera la constituirea fizica a unui obiect (hol iluminat, ample corpuri suspendate) facānd parte din domeniul propriu al construirii obiectuale.
Care presupun implicarea omului, a unui grup de oameni, o societate (festiv), fara legatura directa cu aspectul fizic. Deci este necesara o cantitate de gīndire, semnificativa atunci cīnd leaga īmpreuna cele doua domenii, prin care se obtine o relatie de tip bucla ( cele doua domenii sunt cu variatie concomitenta, orice schimbare īntr-unul implica modificare īn celalalt);
Arhitectul opereaza cu judecati de relatie īntre domeniul tehnic si cel uman a caror miscare īn procesul proiectarii , este concomitenta.
HOL = ansablu (A)
CORPURI ILUMINAT =element portant (P)
AMPLU SUSPENDAT =variabila (V)
CARACTER FESTIV =actiunea umana de referinta (A.U.R.)
=> ECUAŢIA SEMIOTICĂ INTENSIVĂ A.P.V A.U.R.
Semiotica este stiinta senmelor care se constituie post factor īntrucāt nu are sens fara evidenta obiectului cercetat.
Din punct de vedere semiotic A.P.V.
este un semnificant īntrucāt are propunerea de a vorbi, de a trimite la o
activitate, la un semnificat (A.U.R.)
Un obiect īn singulareitatea lui nu poate fii semn decīt atunci cīnd existenta īi este controlata de referinta umana, este contextul īn care arhitectul apreciaza, judeca toate elementele de arhitectura.
Sensul intrinsec al arhitectului se dezvaluie īn dinamica miscarii de relatie dintre semnificant si semnificat (asemuirea unui interior de catedrala gotica - cu o padure de piatra)
# comentariu extras din - A.P.V. => poetica arhitecturala
- A.U.R. => domeniu de semnificatie despre lumea arhitecului: mundaneitate
-# poetica - īn functie de capacitatea poetica, artistica a persoanei
-# mundaneitatea - īn functie de pregatirea profesoinala a comentatorului
=> ratiunea de a fi, a arhitecturii
Semnul de arhitectura este o entitate complexa
Ecuatia semiotica extensiva are īn vedere, evaluarea semnului atīt antefactum prin idei directoare, cīt si post 18518p1518s factum, prin ratiunea de a fi.
Īn procesul de creatie a
arhitecturii apar ante-factum idei relativ semnificative: transformantii
extrinseci (care nu sunt semnificatii), acestia intra īntr-o uniune de idei sub autoritatea ideilor directoare īn
numele carora se acsioneaza īn
proiectare,
care la rīndul lor vizeaza unificarea semnului, se implica īn el
si subzista īn semnificatie. Semnificatiile printr-un
proces de feed-back determina structura ideilor directoare.
1.b.Gradele de delimitare a spatiului
Configurarea spatiului īn regimul expectativ: prin dislocarea ambientului īn trei zone modelate. Prin īnchiderea spatiului relatie; spatiu ca oferta + reactor. Prin imaginare de evenimente spatiale īn aceste zone => o infinitate de combinatii reductibile la 6 structuri.

1.-nu exista limite spatiale => maxima libertate de miscare, manifestare, spatialitate.
-spatiul este caracterizat de o presiune nelimitata asupra noastra => impactul cu realitatea duce la agorafobie - frica de spatiu deschis.
2.-prezenta parietala duce la realizarea spatiului curb,al dublei polaritati: intra sau extra-muros; dintre o persoana si un dincolo; deschidere pe verticala + o latura senzatia vecinatatii.
3.-apare extrapolarea stānga dreapta
-spatiul mobilat pe liniaritatea pietonului => o stare dispozitionala sustinuta de dilema īnainte-īnnapoi;
=>coridor urban protectie, identificare
-drumul cel mai scurt intentie - obiect
-fara alternante, spatiu totalitar
4.-ilustreaza spatiul ca realitate tranzitiva interior - exterior, specific prispei, umbrei, loggia
-microclimat pozitiv: specific lumii mediteraneene: invita la repaos si reconsiderare.
5.-este cazul spatiului curtii īnchise īn care se realizeaza o miscare circulara de īnchidere.
-axa verticala pusa īn valoare
-pattio īngradit
-prima treapta de interioritate cu semnificatii diferite īn functie de cultura īn care apare.
6.-cazul īnchiderii totale,caracterizata prin efectul interioritatii (protectie izolare, intimitate)
-poate fi trait cu valorizari pozitive: o epiderma extinsa sau negativa
=>transformari īn capatul de linie de unde nu se mai poate face nici un pas.
=>situatia constiintei panicate de angrenantul sentiment de claustrofobie spatiu carceral, patologie pentru cel care le propune;
Cele 6 structuri claustromorfice = structuri antropologice de baza, instrumente de expresie a oricarui arhitect. Ele īmbraca forme particulare diferentieri stilistice, functie de aria culturala īn care apar.
2.a.Axialitate, consecinta a regimului expectativ
- provine din teoria monumentalitatii
- principiu de compozitie sine-qua-non monumentalitatii
- se bizuie pe relatia dintre starea dispozitionala si cea situationala
- axele au aparut din cele mai vechi timpuri si s-au exprimat pe parcursul unei procesiuni > o succesiune de elemente(credinciosi, lei, coloane, multimi aliniate >
cu cat mai lung, cu atat mai important)
-2 el. identice pot crea un ax de capat pentru acces, se poate specula linia de privire, este important axa vizuala
ex:grecii > diminuarea verticalei in miscarea liniei de privire in planul vertical > privire ascendenta
> speculatii optice > deformarea frontului > aplecat in fata ca sa fie perceput ca drept, concavizarea fatadei principale
relatia corporalitatii umane cu mediul: axele vizuale folosesc la structurarea spatiului - comportamentul vizual al omului genereaza fronturile si flancurile
I.axa vizuala > principiu de compozitie
> simtite ca date obiective
> proiectii psihologice ale axei vizuale proiectate de om
-simetria - formalism irational (indepartare de functionalisti)
echilibru static absolut evident
creeaza confort vizual, sentiment de siguranta, echilibru psihologic
-perspectiva - inseamna traire spirituala (Acropola)
- egipteana sustinuta de un traseu ritmat (Karnak)
- renascentista, introduce oprirea ca stare de meditatie
II.axe functionale > dispozitii care presupun un anumit concept functional
> rezultanta unei judecati de valorizare, ierarhizare a functiunilor
ex: teatru
elisabetan-separarea axelor functionale
total - anihilarea granitei
-
2 circuite functionale
-interfata (scena)
- fluxuri - care creeaza axe, retele
- care se intersecteaza partial, dar care au diverse anexe care nu se pot intersecta
- axele functionale sunt judecari ierarhizante aplicate comportamentului uman
III. axe conceptuale > ierarhizarea valorilor pe o axa (axa absiala, a transcendentei)
> surprind omul in interioritatea lui
> sunt traite ca o evolutie pe traseul verticalei
- exista o ierarhie care creste in valoare pe masura ce inaintam spre instanta suprema
iadul > non-valori
-exista o segregare foarte bine conturata, ierarhizare in arhitectura monumentala
- zona de acces de la care percepem cel mai bine
element simbol reprezentativ
-ex: piata e locul de unde percepem turnul, porticul, foisorul
la palat valorile scad ierarhic spre inaltime si spre anexe, succesiunea de curti; exista un spatiu important de primire+anexe(intari laterale)
- prima contestare a acestei dispozitii ierarhice > in modernism >
casa > sculptura
> nu exista fata/spate
> o bijuterie sculpturala intr-un parcurs dinamic de jur-imprejur
- contextul, natura > este cel care ofera terenul >inchis sau deschis
- vecinatatile > implantare intr-un spatiu public, construit
- atitudine - deschisa, de comunicare voita > pietele renascentiste
inchisa, retragere pe inaltime, zid > intimitate sporita
ex: casele sasesti > aparare, retinere, rezerva fata de spatiul public, inaccesibil inamicilor > introvertire
- ierarhizarea volumetrica < din ierarhizare functionala
(exprimarea sincera a niste rapoarte care in ciuda democratiei nu sunt egale) > comunismul, incarcarea valorilor intr-un tot amorf
- valori individuale > democratie

Li - lumea ideilor
Lp - lumea proceselor- inductie, deductie, analize
Lr - lumea reala
axa abisala > relatie intre transcendenta si capatul opus (centrul pamantului) > raul
- lumi ale binelui > vor sa cunoasca ↔ fortele raului > sa ramana singuri, sa conduca, sa distruga
- legatura intre arhitectura si valoarea ei educationala/ideatica
> exista tendinte opuse ale arh. > care face ca la un moment dat o idee sa predomine si sa fie motorul generator al arh. > acele perioade ale omenirii in care arh. a fost propulsor de educatie si formare a poporului, promotor de gust, de valoare > nationalism, socialism - educarea maselor prin arh. (Le Corbusier)
2.b.Evolutia iconografiei in cultura europeana
Patapievici > cand spatiul devine anizotrop, se naste un zeu
- orice arh. este un receptacol
- arh. sacra este un receptacol in care se asteapta sa se intample evenimentul sacru
- axa verticala > lumea dialogeaza cu trasncendentul
- prima cadere > aparitia primelor temple in care apar zeii (cand zeii s-au retras dintre oameni)
> lumea a inceput sa construiasca altare, sacrificii in vederea invocarii unui zeu
> prima tentativa de eterogenizarea spatiului
> cuceriri de teritoriu > infigerea unui tarus, perimetrarea, luarea in posesie (la fel ca la animale)
> investirea spatiului cu o semnificatie
- a doua cadere > alungarea din rai a oamenilor
> viata oamenilor s-a schimbat, au devenit muritori (isi pot castiga locul in paradis daca viata de pe pamant e corespunzator)
exista o conceptie > artistii au sanse (ei recreeaza lumea prin sacrificii de sine)
- a treia cadere > ridicarea lui Isus in cer
> apar primele biserici crestine, receptacol al acestui Dumnezeu
Patapievici > in momentul in care s-a facut lumina in mintea oamenilor > "ideea gandibila" - au aparut idei de distrugere (neoplatonicienii au incercat sa lege crestinismul cu filosofia greaca)
- reforma > critica a clerului, relecturarea Bibliei in esenta ei > reactie dura si sangeroasa reprimata de catolici (deja deviasera de la concept)
Iconografia > imaginalul - sta la baza artei occidentale (abundenta nelimitata in exprimare)
-imaginarul laic > in renastere -erosul, comunicarea la distanta
inconstient > visuri, irational
- renasterea a dat voie sa se dezvolte, alaturi de crestinism si o lume laica > umanismul
- reforma > castrarea imaginalului (a interzis orice reprezentare a Dumnezeului)
- contrareforma > innoire, schimbare
- puritanismul > "ataca" tot mai drastic imaginalul
- sec. XVII-XVIII - se naste stiinta moderna
Laplace - comunica lumii (scrie cartea fara imagini)
"Mecaique celeste" (sec. XVIII)
Newton - infinit in matematica > element care a deschis drum mecanicii cuantice (sec. XX) > fara imagini
- influente asupra evolutiei artei
in biserica ornamentul a disparut (nimic nou nu mai apare dupa baroc si clasicism in biserica catolica)
apare arta abstracta > interpretare, notiuni, sentimente (epurarea mijloacelor, inducerea unei semnificatii fara a abunda in informatii, ornamet = crima < si in arh. la fel; arh. se exprima pe sine, fara prea multa imagine)
nu mai avem imbinarea artei cu arh.
albul, umbra volumelor in lumina
post-modernism > nevoia de centru
evocare, sens, sacru
- eterogenizarea spatiului si cautarea de receptacol si de sensuri este o tema actuala (inceput in post-modernism)
- tema ornamentului a revenit
ca diferenta (M.Foucault, Walter Benjamin)
cuanta culturala (Umberto Eco)
tema gandirii - de tip fractal > continuitatea in gandirea lumii, in cunoastere
- de tip binar > crestinism, cultura hibrida cu calitati comune - catolicism initial+celui pe care le dezvolta
-gandirea fractala Patapievici
- lumea islamica conserva identicul, isi trage seva din propria traditie fara sa evolueze
- islamicul ca arta a pastrat intact imaginalul
- crestinismul a avut 3 secole de claustrare
3.a.Procedeele indentitatii-modelul transformational
I.Identitate, asemanare-omologie si analogie
-omologie=omotetie - varietate mica, identitate mare→variatie afina
-structura figurala invarianta (variatiuni pe aceasi tema)-spiritul omotetic
-miscarea imaginarului este omologica
-analogie: se opereaza in campul definit de contradictia dintre identitate (<) si diversitate (>) schimbandu-se structura figurala
-recognoscibilitatea esentei: varietate mare (variatiuni analogice)

domeniul -identitatii-fizicul
-diversitatii-bioticul => si la acest nivel se observa lupta contradictorie, continua, dintre starea fizica si starea vie a lucrurilor
Arta se ocupa cu miscarea orchestratiilor dintre fizic si biologic
-pretinde din partea creatorului capacitatea de a citi continutul figurii, de a extrage din tema figurala tot ce poate ea oferi.
Exista stiinte pentru dezvoltarea acestor serii. Pentru o caracterizare a individului se reduce familia omoloaga => personalizare (stabilirea portretului robot)

II.Prefigurarea- dezvoltare, evolutie formala: modificarea dimensionala (cresterea unei dimensiuni sau a tuturor dimensiunilor, duce la schimbarea caracteristicilor)
-de la spatiul mic→mare: etapele dezvoltarii apar lizibile, facand posibila identitatea spatiului
-modificarea pozitionala
-modificarea formei
![]()
III. Contrast, opozitie
-exprimarea puternica, in cele mai diverse forme (floare-samanta)
-in arhitectura: lumina/umbra, simplu/sofisticat
-punerea in evidenta a unui obiect prin contrast pentru a-i permite lecturarea
3.b. Modelul colocarii (integrator)
-colocarea =termen uzual matematic, ce presupune un numar de constituenti prin care se ajunge la un rezultat =proces de creatie artistica, care presupune o decizie majora inainte de a se purcede la demersul major
-arhitectul creeaza totalitati- ansamblu
-un astfel de procedeu = operatiunea de depresurizare utilizata in domeniul figural, ea inseamna capacitatea de a vedea mult in putin ->depresurizarea patratului: in el zace o multime de informatie
Continutul figural = suma relatiilor functive ca un ansamblu vizual alcatuit din constituenti ai unei figuri date
Colocarea elementelor nu se face la intamplare, este necesara o regula ca sa obtinem imaginea initiala => ansamblul rezulta din colocarea constituentilor- regula de compozitie

-ansamblu=constituenti+regula - un element figural, presupunand o relatie intre figura respectiva si un analizator
-depresurizarea = posibilitate de a vedea intr-o realitate unica o multime de relatii
-enunturile figurale nu epuizeaza problema depresurizarii, deoarece ele vin din interiorul figurii, intr-un mod intrinsec, ele sunt definitii conjunctive, facand abstractie de mediu
-definitiile disjunctive - privesc figura ca pe un subiect care descompus in doi constituenti scot in evidenta de fiecare data o structura contextuala -> constituentii nu mai sunt elemente, iar in cadrul regulii colocarea inseamna suprapunerea de retele

Concluzie: daca privim figura ca pe o concentrare vom avea definitii conjunctive; privind-o ca pe o iradiere -> definitii disjunctive, ambele fenomene=depresurizare
Regula a carei respectari duce la apritia altor figuri este cea care genereaza ansamblul, colocarea insumand si compozitie, compunere, punere la un loc
-expresia enuntului figural generalizata
(A)=[C1+C2+...+CN]+R, unde A-ansamblu, R-regula de compozitie
->prin inversare rezulta expr. procesului de proiectare in cadrul nucleului integrator
[C1+C2+...+CN]+R=(A)
Arhitectul cauta liantul care sa adune legea de compozitie care sa asigure aparitia unui ansamblu armonios, uzand de toata capacitatea lui pentru descoperirea regulii ansamblice, adica face din mult putin prin presurizare
Ex. ...rile arhitecturale: -cand se intra in hol trebuie sa gasesc usor biroul de receptie, circulatiile verticale, biroul de schimb
(biroul de receptie+biroul de schimb+circulatie verticala)+R=hol
-regula-orientarea axei vizuale-> nu constituentii cer o regula ci regula alege si leaga constituentii
Gropius: locuinta proprie - 4 constituenti
(zona diurna+zona nocturna+servicii+placa turnanta)+R=ansamblu
[camera de zi+dormitor parinti+dormitor copii+baie+bucatarie+camara+hol]+R=casa
Regula = zona diurna ->placa turnanta(serviciu) ->zona nocturna
Arhitectul in procesul de cautare este obligat sa produca relatii care converg catre ansamblu, o simpla aditionare ar reprezenta o mare greseala
-compozitia = cautarea unei fiinte care se manifesta sub forma unei totalitati
-prin intermediul modelului integrator arhitectul cauta o realitate noua, complet diferita de suma constituentilor, rezultat al unui efort de creatie
Exista 4 argumente in sprijinul modelului de creatie
1. modul de organizare a proceselor mentale-stanga-sp. secventiale
-dreapta-sp. integratoare
2. Paradoxul lui Pooper: cu cat nr. constituentilor este mai mare, cu atat probabilitatea este mai mica de a gasi ansamblul
3. renascentistul L.B. Alberti: exista un singur aranjament armonios si perfect al partilor pentru fiecare lucru
4. Aristotel: trebuie sa preferam imposibilul care este verosimil, decat posibilul care este incredibil
4.a.Modelul transformational, evocare, prefigurare, negare
Analiza post-factum al arhitectului
I. Walter Gropius - Fagus Werk
- proces de intuitie pentru a intelege gestul creator:
- din socio-arh. coltului: exprimarea lui cu vigoare data de accentuarea plinului de ( Tin) intoarcere - arh. neaga tratarea coltului astfel; neaga marcarea lui prin solutia unuia liber, transparent pe verticala (Tex)
- intra in domeniul exclusului - continuitate spatiala;
- sugerarea verticalelor pe trei niveluri - evoca ordinul platonician, renascentist.
Tin - colonada greceasca + negarea verticalitatii prin bara de sticla orizontala
Modelul transformational reperabil intr-o opera de arhitectura existenta;
determinanti = forte care conditioneaza proiectul, vin din afara noastra.
transformanti = forte interne cu caracter emergent prin care arhitectul isi impune forta creatoare.
II.
Marcel Breuer = sediu UNESCO, Paris, Piata Fontenu
Tin - forma pietei, cadrul construit, academia militara cladire neoclasica, simetrie dubla, centrala, masivitate.
necesara exprimarea arhitecturii moderne intr-un context clasicizant;
arhitectura neaga socio-arhitectura academica, front la front, prin creerea unei disimetrii, o diversitate prin opozitie prin pastrarea individualitatii locului;
evoca centralitatea pietei, forma circulara;
neaga materialele si structura clasica, acestora opunandu-se betonul, parterul pe piloti, sala polivalenta, neaga masivitatea, inscriindu-se in canoanele arhitecturii moderne;
Robert
Venturi - casa de pe plaja
provine din studiul theoretic "sa-nvatam de la Las Vegas" - lectie data contemporaneitatii;
architect postmodernist, reactie plastica a carei rezultat este o arhitectura manifest - lecturatea istoriei arhitecturii din prisma castigurilor aduse de baroc; - ornamental - aplicat gratuit
- structural:ediculi care puncteaza un spatiu(portic, fintini, statui+raportul public-privat;
- serie de opozitii: livingul ridicat la etaj pentru o perspective mai larga spre peisaj, dar din aceasta se accede direct pe plaja pe o scara ampla;
- dormitoarele la parter (+ scara functionala interioara );
- dispunerea paralela a casei cu plaja;
- disproportia: scara - casa;
- opozitie rotund - axialitate;
- preluarea lunetei, lanternoul, din baroc, aceasta putind micsora sau mari fereastra prin dimensiuni.
- Venturi - preia acest element si face ca toata casa sa i se subordoneze - spirit de fronda sustinut de un mare simt al contrei, characteristic acestui mare architect;
Tin - natura : sit, plaja, teren, orizontalitatea.
- tema: panorama extinsa din toate nivelurile;
negarea - procedeu dominant in acest caz
excluderea
4.b.Inductie si deductie

Tema - documentatie- gasirea de similitudini cu tema data in natura, imagini
pentru inspiratie
- procesare - rationalizare, selectare a informatiilor, datelor
- inductie- procesarea elementelor din lumea reala, drumul de la lumea reala la lumea ideilor
- inspiratia - gasim ce vrem, o idee organizata
- se petrece in spatiul mental
- tipologizare - ne formam o idee despre ce vrem sa facem - conceptie vaga
- deductia - 2 praguri
argument - inca nu ne-am asezat la planseta - ne aparam ideea- discutii, corecturi, argumentari, sustineri ale conceptului
operant - lucrul
proiectul - amprenta a matricii noastre spirituale, restituim lumii un obiect cu propria amprenta
5.a.Comensurare, regim itinerant
Comensurarea = a masura impreuna ( pe filiera antropologica, vocatie filosofica, inclinare religioasa)
a conferi marime, altfel decit prin masurare directa a obiectelor, lucrurilor spatiului construit - capacity. arh.
procs demiurgic in care sunt pusi in relatie doi termini: 1. marimea obiectului proiectat; 2. un sistem de masura raportat la om, la umanitate;
In China: unitate de masura TUKU
sunt implicate: forma, marimea si credinta ca intreg universal condus de o forta atotputernica, absoluta.
Expresie simbolica = mana= 4+1
Universul= pamint+aer+apa+foc-(patru grinzi incrucisate-expresie figurala); elemente fundamentale care nu pot exista impreuna decit prin intermediul unei forte de legatura, de coeziune - degetul mare - figural- stilpul sustine
UNU - se regaseste si in patru si invers - viziune simbolica regasita si in arhitectura=>silueta caracteristica a arh. traditionale
In India: unitate de masura MANSARA- cu unitatea de masura UBA=1,25m, reprezentind omul in pozitia lotus, ipostaza de concentrare, contemplare a corpului uman;
In Japonia: unitate de masura cu character spatial, in relatie cu credinta; budismul ZEN: ideea neantului ca stare speciala a spiritului independent de materie-> o norma repaosul total->pozitia corporana complet intinsa si relaxata, definite de doua dimensiuni: a-socialul; b-ideea de individualitate: a=b=1KEN=1,81;
TATAMI=1KEN ²= o suprafata care reprezinta unitatea locative
Casa japoneza - modulate intr-un sistem "KIWARINO" datind din sec. XII, XV;-arta de a taia lemnul;
-modulare=dezvoltarea pe toate directiile, care nu distruge compozitia prin extrageri sau adaugare;
In Romania = influenta culturii latine+similar japonez;
-unitatea populara de masura STINJENUL(in Latina stendere=intins)=omul cu mina intinsa 1.80, 2.00,2.10m. ODAIA unitate de marime spatiala in care au loc toate functiunile vietii cotidiene.
In Grecia Antica sistem de masura antropomorfic
-un picior=4palme=3,14cm=π
Unitatea de masura universala:
-cotul: comert cu textile, navigatorii: nod, picioare,unitatea de masura a greutatii, volumului->attribute transitive legate de tehnici de exploatare cutume?
-metrul - unitate de masura abstracta->utilizat ca principiu de standardizare, lipsit de semnificatie umana sau spirituala.
Corbusier - modulorul incearca de a scoate arhitectura de sub autoritatea metrului, gest de reducere in arh a unui criteriu de comensurabilitate antropologica.
cistigul initial anulat prin internationalizare;
Astazi problema ergonomiei, designului
Metabolistii japonezi (anii 60-65):exploateaza traditia ; organicismul evolutiv , crestere-schimbare; teoria megastructurilor->include retele urbane, efemeritatea.
Alte unitati:
Gindirea holistica: sprijinita pe ideea monadei, inicitatii intregului, totalitatii->de la Greci.
-gindira ansamblului in corelare cu partile+invers:
-sens determine:ext->int=sub. partilor de catre ansamblu
-sens det.:int->ext.: implica influentarea ansamblului de parti;
-2 sisteme de comensurare-proportia
- scara
Proportia"raportul de aur"=process de relationare - interioara
MODULARA
-simetria si armonica
-sectiunea de aur
-euritmia
-din antichitatea greaca, pe tot parcursul culturii europene;
Scara (umana)=presupune stabilirea unei relatii intre un ansamblu + o exterioritate.
5.b.Stilul arhitecturii si raportul semnificat-semnificant
-egipt si india - arhitectura influentata puternic de cultul mortilor, dar cu deosebiri in interpretare date de diferentele ideologice.
egiptul - construieste piramidele ca simbol al puterii si vesniciei faraonilor - materiale durabile, eforturi uriase, dimensiunile, orientarea si dispunerea piramidelor pe teren (oglinda a dspozitiei cosmice a universului)
filozofia si conceptia lor despre moarte si viata, ierarhia sociala - dau acea reprezentare a figurilor in "rabatere fata-profil" (mateia) - conventia simbolica fiind in acest caz mult mai puternica decat tendinta de a reprezenta corect
-egiptul dezvolta o simplitate si un rafinament al formelor extrem de perfectionate, dure si austere (ce va influenta lumea Greciei antice si arhitectura ei spre deosebire de india ce afiseaza o opulenta formala si o exuberanta cromatica ce va marca lumea araba
-india construieste colosi de piatra, asemenatori piramidelor in trepte (?) cu o incarcatura mare de sculpturi, mii de figuri, legende, ipostaze - simboluri ale filozofiei
-grecia antica - preia simplitatea si rafinamentul, puritatea formala a egiptului, in cautarea perfectiunii si idealului platonician, dar ii ofera arhitecturii o dimensiune umana, raportata la om ca "masura a tuturor lucrurilor". Arhitectura nu e doar cea a puterii si a religiei, constructiile sunt legate si de viata cetatii (teatrul, agora, locuintele) iar elementele de constructie se regasesc in toate formele arhitecturii.
Marc Phillipis "operele omului" - prima interpretare semiotica a gandirii grecesti
dorinta de perfectionare - concretetea ?materialului, perfectiunea formelor (sfera, cercul), limita concreta a lucrurilor(forme inchise, delimitate perfect cu cornise, frontoane, coloanele de colt), formele perfecte exprimate in formule matematice (proportii "perfecte" extrase din proportiile corpului uman)
sfera - simbol al spatiilor ceresti, are o investitura divina ( prezentza lui Pi - numar irational -mister)- vocatie ascesionala a omului puternic, cel ce infrunta lumea in dorinta de a o infrange cu fortele proprii si de a o cuceri- "devenirea" (mitul lui Ullise)
Preromanic, romanic, gotic
- cel mai prezent semn al acestor perioade - turnul - element de "afisaj", de comunicare, de importanta simbol clar al puterii fie celei religioase, fie al celei laice.
- arhitectura religioasa gotica- cea mai simbolica - proslavire a transcendentzei, a "retragerii din lume pe axa infinitului pozitiv" (mateia)
- inaltimea si zveltetea structurii, rafinamentul goticului matur - interpretari ale puterii divine, perfecte si inaccesibile omului de rand
- arhitectura laica - arhitectura de fortificatii - incearca sa exprime forta, putere, introvertire, adapost printr-o arhitectura agresiva - turnuri, creneluri, ziduri, santuri, poduri barbacane etc.;
- omul devine din nou masura a tuturor lucrurilor, se reiau temele antichitatii romane si grecesti, alaturi de rationalismul arhitecturii grecesti si tot limbajul ordinelor.
- forme geometrice elementare, simetrie, proportii, trasee regulatoare, frontoane, colonade, portice - aceeasi cautare a perfectiunii
- "pare un stil rational, dar are un imaginar exploziv" (mateia)
- contestatar arhitecturii "academice" a Renasterii - eliberare spirituala de reguli si tratate, conventii, de geometria elementara, simetria si antiteza interior-exterior a Renasterii
- prolific sub aspect formal, se revine la antropomorfism, zoomorfism, noi forme geometrice (curbele si contracurbele, elipsele) - totul cu o incarcatura semantica aproape de cea a goticului.
- desprindere totala a formei de continut, dar cu multa incarcatura semantica
Cladirile exponat - turnul Eiffel - semn al progresului (atunci, azi al Parisului)
Crystal Pallace -devine semn conventional al unei culturii
Modernismul
Perioada de scadere a semioticului in arhitectura
Se fac pasi uriasi in arhitectura (evolutia tehnologica, revolutia industriala) , apar elemente noi in definirea spatiului arhitectural (spatiul de tranzitie - articulatie polifunctionala), se reprima ornamentul ca purtator de semnificatie, forma saraceste, spatiul isi castiga greu expresivitatea in lipsa ornamentului, universalizarea arhitecturii (stilul international) anuleaza identitatea si regionalitatea cea mai acuta depersonalizare a arhitecturii.
Identifica in arhitectura criza lipsei de semnificatie si identitate si incearca sa o rezolve - constientizeaza nevoia de istorie, de traditie si apartenenta, nevoia de diferente ("differences"), de ludic, de haos, de non-sequitur (non-functionalitate). Astfel reabiliteaza ornamentul ca necesitate a unei secondaritati ce trebuie abordata "dimpreuna" (Noica) cu principalul, ca eveniment fara materialitate, fara functiune, care vorbeste despre trecut si prezent si despre "telos" (scop), dar care nu poate fi perceput decat prin prisma propriei noastre experiente(Eisenman). Ornamentul devin cod, cuanta culturala, concentrat de civilizatie si informatie (U.Eco)
Criza insa continua si astazi, inca se cauta recuperarea semnificatiei in arhitectura.
6.a.Monumentalitate-regim expectativ
Problema situata intr-o paradigma a virtualitatii. Intelegerea ei se bazeaza pe subtila distinctie facuta de Kant intre forta si putere.
Forta - se impune, dar in fata careia poti opune rezistenta (poti castiga sau pierde)
-ea este in planul existentei umane (cei care au beneficiat de ea au prelevat)
-forta fizica a barbatului care domina femeia; forta primara exprimata direct sau indirect cu consecinte
-cu ea poti deschide o lupta
-ea arata starea dramatica a existentei noastre, a naturii: suprema, de nestapanit sau monitorizat atribuita unei instante supreme, nominalizata sau transcendenta, supunerea omului a devenit un mod de viata, este de fapt tematica umana.
Puterea - este perceptia unei energii care ne depaseste categoric, ea nu tine seama de noi, nu este oarba ci este suprema, sacra; cu ea relatia este de tip eu-natura? si nu exista sansa de castig, fata de ea existenta este o agonie. In societate: justitia (legea, religia, inchizitia, este absoluta, deplina, cere atitudini de respect)
-puterea democrata - interfata labila: respinge abuzurile intr-un cadru limitat
Relatia putere-monumentalitate.
Toate victoriile sunt obtinute la nivelul fortei prin mijloace de stapanire abuzive, ilegale, tiranii, cuceritorii doresc sa valideze in istorie prin constructii monumentale, opulente, pentru a sustine aceasta pozitie fragila. Valabilitatea de astazi este obtinuta prin scoaterea faptelor din domeniul fortei si introducerea in acela al puterii (din vulgaritate in sacralitate), o tendinta de monumentalizare prin intermediul abstractiilor stilistice.
Sincretismul puterii manifestat de-a lungul istoriei, evidentiind relatia directa dintre cea religioasa, laica si monumentala.
Egiptul antic: expresii formale: sala hipostila, piramidele (cultul mortilor: intoarcerea catre viata de dincolo - austeritate), materiale rezistente, durabile in timp, faraonii erau considerati boieri cu legaturi directe cu zeii, cunostinte de matematica, astronomie. Se nasc teorii intregi care presupun relatii cu extraterestrii→ investitura sacra care trebuie perpetuata.
Grecia antica: dorinta de perfectiune, ideal de explicabilitate a fenomenelor exterioare si interioare
-cele neintelese atribuite zeilor (capriciosi, asemanatori omului), apar figurile mitologice: semizeii
-monumentele lor fac legatura dintre viata oamenilor si a zeilor: orasele - oglindirea Olimpului
-programe cetatenesti: agore, teatre (performanta fizica si psihica)
-materiale: piatra - monumentalitate
lemnoase, lipsite de dimensiunea uriasa (scara umana), perceptia dinamica, mari acropole: materializate in relatia om-zeitate →frontoane, coloane, portice, statui, programe sportive, stadioane, mediateci, teatru.
Modelul cultural european tributar celui grecesc →clasicismul; clasic=universal, bine conturat, structura perena, valabilitate, valoare; notiune extrapolata, trecuta prin toate domeniile.
Roma antica - duce mai departe expresia greceasca
-inovatie - cupola din Mesopotamia - caramida → o aduc in situatie de monumentalitate (materiale si tehnici noi)
-cupola= expresia puterii aulice, monarhice: Pantheonul, Mausoleul lui Hadrian
-preluata de religie: imaginea puterii (crestinismul)
-sec. XVII-XVIII - la scara mai larga - putere politica
Preromanic, romanic, gotic - simbolul puterii: turnul, flesa → elemente de afisaj, importanta religioasa
-laica: functiunea de aparare, fortificare
donjonul - locuinta fortificata
-programe administrative: primariile - importanta locala, reprezentativitate
Alta expresie a monumentalitatii: marimea dimensiunilor, cantitatea, intinderea (Luvru, Versailles, palatele indiene, arhitectura stalinista, forme simbolistice - emblematice)
6.b.Simbolism baroc si simbolism european
7.a.Imaginarul la Sartre, Piaget, Durand, Lupascu
-imaginea ca forma de traire: proprietatile ei din punct de vedere a patru savanti (fenomenolog, genetician, antropolog, filosof) care ajung la o ordine triadica a imaginarului
Sartre - imaginarul este stare de constiinta
-imaginarul este un datum imediat
-spontaneitatea imaginii
Piaget -unitati

Durand - ocularitatea imaginii
-profunzimea imaginii
-ubicuitatea imaginii
Lupascu - imaginarul = simultan si subiect
-libertatea imaginii
-imaginea este simultan reala si normala (ideala)
J.P. Sartre - fenomenolog existentialist, structura triadica a imaginarului
1.starea de constiinta: un mod de a fi, de a trai prin transpunerea individului in altul pentru observarea reactiilor, ipostazelor
2.imaginarul = datum imediat: cubul intregit in imaginar, desi in realitate are fete nevazute
3.spontaneitatea imaginii = capacitatea imaginarului de a face sa fiinteze forma ceruta → forma poate sa dispara si sa reapara, vizualizarea este indusa, sugerata, aspectul de a fi sau a nu fi, este instrumentul marilor magicieni: Fakiri, Isus (? really?)
Jean Piaget - genetician, etapizarea procesului imaginar (tentativa de analiza a dezvoltarii procesului in etape: copil-adult)
1.ochiul percepe entitatile spatiale → spatiul destructurat
2.ochiul construieste rapoarte → structuri asociative, relatia dintre entitati
3.imaginarul construieste analogii, similitudini, duce la intelegerea spatiului, reduce pluralitatea la o identitate
Gilbert Durand - critic de arta, antropolog ca formatie
Proprietatile imaginii
1.ocularitatea = capacitatea omului de a transforma orice fel de senzatie in imagine (cinematograful → mut, arta vizuala, desenul simplifica, transmite informatii)
-relatie inversa: vizualizarea muzicii → sinestezie
2.profunzimea → relatie puternic condusa de realitate, presupune un anumit tip de reprezentativitate pentru a sugera o directie.
-conduce la necunoscut, genereaza starile si presiunile interne
-perspectiva italiana (Leonardo, Rafael, Michelangelo) - este o exceptie in modul de abordare a profunzimii
-celelalte culturi (egipteana, chineza, africana) nu cunosteau profunzimea, marcarea imp. (ierarhiei) prin diferentieri de scara, dimensiuni
3.ubicuitatea = capacitatea psihicului uman de a se plasa in diferite planuri in acelasi timp → sincron
-caract. uman - contextul devine mai cuprinzator
-ubicuitatea spirituala: D-zeu este peste tot
-ubicuitatea axialitatii: stalpul casei (sacru) - axis mundi
-animalele construiesc (baraj, cuib, stup)
Stefan Lupasco - filosof roman, doctorat la Sorbona
1.obiect si subiect - simultan: imaginea interioara - patrat
"cine vede patratul" → o alta constiinta care priveste constiinta patratului, rezulta o stare care defineste ambiguitatea imaginarului
2.libertatea: in formarea imaginii intervin doi termeni: actualitate - potentialitate, intr-un fenomen prin care imaginea este actualizata ca fiind anterior o stare potentiala
3.simultan reala-normala - imaginea stie ca nu este realitate, dar constiinta constiintei (?) o traieste ca pe o realitate.
Lupasco: "Logica dinamica a contradictoriului"
-tensiunea in sine reprezinta un pol, fara acesta ceilalti poli s-ar distruge, nu ar mai exista, are cel putin aceeasi importanta ca si polii tensiunii: energii psihice.
7.b.Consecintele modelului semiotic
8.a.Superizare, structurare-regim itinerant
-regimul itinerant surprinde fiinta umana in actiune, contactul cu mediu = comportamentul uman in stare extatica, de punere in afara, de orientare a constiintei spre exterior
-atitudinile eului: adaptarea (1)Autoplastica+(2)Aloplastica
(1) cu continut biologic foarte puternic, corporalitatea se modeleaza dupa caracteristicile ambientului
(2)omul plasticizeaza, organizeaza mediul (allo=altul)
Consecinte:
Superizarea = operatiune mentala adoptiva, o actiune de organizare din partea eului, reducerea unei cantitati uriase de informatii la una mai redusa → concentrat (nu redus calitativ) deci multul, pluralul, diversul se transforma in foarte putin dar bogat in informatii
→fenomen invers al depresurizarii (fizic) - presurizare, condensare
-valoarea informatiei nu dispare - concentrare
-superizarea vizuala: reprezentarea pomului printr-o sfera
-superizarea mentala: figura construita in plan psihic → starea pomilor din plan este transmisibila prin emiterea unui concept structural, subiectul putand retine numai structura informationala
-explicarea fenomenului: legata de modelul de functionare a celulei nervoase, aceasta avand o pluralitate de intrari dar o singura iesire → o transmitere selectiva a informatiei = sintetizare → reductia nu inseamna saracirea informatiei, rezulta un anumit tip de gandire - superizarea
Structurarea = consecinta a superiorizarii, presupune detectarea formei si a relatiei dintre element prin imagini care relationeaza diversi constituenti → o structura imuabila, care nu se deformeaza. Aceasta proprietate a structurii de a se mentine in conditii in care constituentii sunt modificati, se numeste izomorfism (nodurile, legaturile → copacii → triunghiul suporta modificari topologice fara sa=si piarda prezenta structurala → invariatie)
-prin structura ceea ce este eterogen, discontinuu, se transforma in sistem coerent, in continuitate
Diversitatea de figuri posibile este reductibila la 2 tipuri fundamentale:
structuri - dendromorfice (ideea de copac)
- retimorfice (retele inchise)
Structura dendromorfica - in forma de arbore, deschise, in care legaturile ierarhizeaza si sintetizeaza, fiecare entitate avand un rol relational si structural bine precizat, pe principiul functionarii univoce.
Structuri retimorfice - in retea. Le este caracteristica forma inchisa, bucla, motiv pentru care relatia de univocitate nu mai este posibila. Exista posibilitatea de iesire
In domeniul arhitecturii: pentru asocierea a 4 parti, arhitectul are nevoie de un spatiu de legatura(1),(2) - spatii specifice de mediere →retimorfism

Rezulta ca exista doua tipuri de aranjament spatial - retimorfe (specifice in Europa) si dendromorfe (Asia, Africa)
-arhitectura rezolva cu acestea diferite moduri de viata, instrumente care confera si caracter acestora
-comparatie cu circuitele - in serie (dendromorf)
-in paralel (retimorf)
Permisivitatea spatiului - analiza preromanica - forma limitei
-modelul de viata desfasurat intre limite
-structura dendromorfa = expresia spatiului unic
-in orice structura retimorfa exista insule de opacitate (singura sau multipla)
-acces in orice structura a a casei, transit, placa turnnta, tranzit
8.b.Arhitectura ca metalimbaj dupa Heidegger si Schulz
The philosophy of Martin Heidegger and his followers offers such a possibility.[9] In our context, Heidegger's concept of thing is of particular interest. Rather than the reflection of an idea (which may never be grasped as such), Heidegger understands the thing as the 'gathering of a world'.[10] The meaning of a thing, thus consists in what it 'gathers'. In order to comprehend this definition, it is necessary to take a closer look at the words 'world' and 'gathering'. For Heidegger, 'world' does not simply mean what is present, that is, the subject-matter of traditional metaphysics, but what is given together with what is 'withhold'. It is a commonplace that we can never 'have' the whole thing; when one aspect of something conies into presence, other aspects withdraw into oblivion. Therefore, any phenomenon simultaneously consists in a giving and a withholding. This basic fact was expressed by the Greeks in their concepts of lethe (concealment), and a-letheia (un-concealment) reappeared in Kant's characterisation of the ground of things as an 'abyss'. To Heidegger, however, the abyss does not imply that there are `no-things-in-themselves'. Any thing in the world in its particular way, and remains the same through its indefinite manifestations. To understand what that means, it is necessary to arrive at a more structured conception of 'world', and Heidegger has proposed the 'Fourfold' (Geviert) as an answer. The Fourfold comprises Earth, Sky, Mortals and Divinities, and on more than one occasion Heidegger defined each of the four in realistic terms.[12] It is evident that he wanted to arrive at a concrete understanding of the world, in accordance with the events of everyday life. Although events are temporal, the things 'remain', and can therefore be given a name. As examples, Heidegger 'analyses' nameable things such as the jug and the bridge, showing how each of them gathers a world. The 'saying' of the liking is possible because names form part of a language which 'contains' the Fourfold. Language, thus, is the `House of Being', and serves to reveal things as they 'are'.[13] certain sense, any revelation (aletheia) is an 'interpretation', but it is an interpretation of something, rather than an instrument to be thrown away after use.
In Heidegger',s saying of jug and bridge, as well as in his discussions of poems and works of art, language is used in a new way. Heidegger does not pretend to write poetry, and certainly he does not offer scientific analyses. What he does is rather to investigate the phenomenological properties of the thing, using language not only as a means of expression, but also as a source of information. What results is a semi-poetic saying, as in his The Thinker as Poet (Aus Der Epphrung des Denkew): Forests spread/Brooks plunge/Rocks persist/Mist diffuses/Meadows wait/Springs well/Winds dwell/Blessing muses.[14] Here Heidegger's closeness to nature and life comes forth, repudiating those who interpret his thinking as another kind of nihilism.[15] At the same time the importance of the work of art is explained. To Heidegger, art is the 'setting-into-work of truth' as aletheia, that is, the disclosure of something that so far had remained 'hidden'.
The word 'gathering' explains the nature of the thing. It neither denotes a 'sign' nor a 'symbol', since the function of a sign is indication, and of a symbol representation. The thing and the work) does not represent anything (that is, something sent somewhere else), but as a gathering of a world, it is an identity in its own right, at the same time as it brings the world closed to man'.[16] It may be considered an image, since it make something 'invisible', come into presence. Any work of art, therefore, is an imago mundi. Poetry speaks in images, Heidegger says, and 'the nature of the image is to let something be seen.'[17] Poetry therefore serves life. It reveals things as they are, and enables man to realise the scope of his being-in-the-world: to dwell poetically'.[18]
Although poetry is the original art, it does not exhaust the disclosure of truth. In poetic language truth is brought 'to word', but it also has to be 'set-into-work'. Human life takes place between earth and sky, and architecture as an art is the means to make this condition 'visible'. In his Hebel essay Heidegger shows what that means: 'The buildings bring the inhabited landscape close to man and at the same time place the nearness of neighbourly dwelling under the expanse of the sky'.[19] Again we recognise the concrete point of departure of Heidegger's thinking, as well as his understanding of architecture as a manifestation of man's being-in-the-world. Architecture, thus is not a series of arbitrary 'codes', but has an existential foundation. Man's being is temporal as well as timeless. When Heidegger characterises human beings as 'mortals', he refers to the temporal aspect, whereas his 'divinities' recall the `measure' which remains, and which we have to take our hearts'.[20]
In the thinking of Heidegger, the metaphysical split between the a priori and the a posteriors is overcome, as well as nihilistic negation of any foundation. The world is recovered as the inhabited 'between' (Zwischen) of Earth and Sky, and the abstract quantification which governed man's understanding in the past gives way to a qualitative, poetical approach.
Any thing in the world in its particular way, and remains the same through its indefinite manifestations. To understand what that means, it is necessary to arrive at a more structured conception of 'world', and Heidegger has proposed the 'Fourfold' (Geviert) as an answer. The Fourfold comprises Earth, Sky, Mortals and Divinities, and on more than one occasion Heidegger defined each of the four in realistic terms.[12] It is evident that he wanted to arrive at a concrete understanding of the world, in accordance with the events of everyday life. Although events are temporal, the things 'remain', and can therefore be given a name. As examples, Heidegger 'analyses' nameable things such as the jug and the bridge, showing how each of them gathers a world. The 'saying' of the liking is possible because names form part of a language which 'contains' the Fourfold. Language, thus, is the `House of Being', and serves to reveal things as they 'are'.[13] certain sense, any revelation (aletheia) is an 'interpretation', but it is an interpretation of something, rather than an instrument to be thrown away after use
Metalimbajul la Heidegger si Schulz
Heidegger:
- arhitectura are un mesaj adanc, mai
mare decat ceea ce poti tu observa (atitudine, istorie, limbaj, trairi...)
- cuvantul e acasa a fiintei, cu ajutorul limbajului poti sa te dezvalui
- arhitectii au sansa sa ramana in lume un semnificat
9.a.Modelul transformational -teorie si ex
Modelul transformational surprinde cel mai bine conditia de creator de arta a arhitectului īn procesul de proiectare. Este cel mai simplu model si foloseste surse pe care le modeleaza
Arhitectul, in procesul de creatie pleaca de la lumea exterioara, reala, concreta, fizica, pe care o considera reprezentativa, cu forta individualizata numita transformant intrinsec (Tin), īnsa lumea reala nu poate fi acreditata, validata decāt daca īi corespunde o forta particularizanta, o idee, numita transformant extrinsec (Tex)
Transformanti
intrinseci:
(determinanti) - forte care conditioneaza proiectul, prin
care materia se misca. -
legati de o configuratie formala. Ex patratitatea ![]()
- tin de context, de natura fizico-geografica.
Context fizic:- pozitie geografica- relief, clima,vegetatie; mediu urban-tesut urban, regim de īnaltime, norme de construire, reguli, gabarite, conditionari, caracterul zonei(cuantumabil), -spiritual, abstract (necuantumabil)
Context cultural- identitar(traditii, obiceiuri), profesional (al proiectantului, beneficiarului)
Context istoric- specificitatea locului (ex McDonald's- simbol,fara identitatea locului )
Transformanti extrinseci; (operant) -este mediat de o idee numita argument. Operantul contine elemente concrete puternice, īn timp ce īn argument acestea sunt rarefiate. A crea arhitectura necesita o conceptie proprie, o suma de idei cu caracter de principiu, īn cadrul carora se pot crea noi argumente si operanti. Principiul e īncarcat cu materialitate prin argument si operant.(este un sistem triadic de idei ierarhizate)
Pot fi
evocatori (identitate, omologie, omotetie, analogie, asemanare)- procedeul identitatii
Variatiuni omoloage.-structura figurala invarianta,(cu variatie foarte mica si identitate mare)
Variatiuni analoage- se pastreaza identitatea, semnificatia, dar exista libertatea de a-l imagina pe A oricum; se schimba structura figurala (variatie mare-diversitate-, scade īnsa identitatea)
daca facem o comparatie cu domeniul
muzicii, variatiunile omoloage sunt variatiuni pe aceiasi tema,
ca īn muzica lui Vivaldi, īn timp ce variatiunile analoage sunt fugile lui
Bach.
Un alt exemplu ar fi tratarea grilei. -identitate cu structura figurala a plafonului(omologie);

prefiguranti -dezvoltare formala (modificarea formei secvential, de ex de de la patrat la cerc), modificare dimensionala (secventiala- de ex. Lecturare treptata de la un spatiu mic la unul mare), sugerare, modificare pozitionala (prin dezvoltare secventiala se poate trece de la orizontal la vertical)
ex.dancing house, Gehry- bloc arhitectura comunista. Dinamizarea coltului treptata. Gaseste forme care prefigureaza acest conflict, īncearca un cāmp de mediere īntre arhitectura noua/istoric, prin forme. Trece de la arh. Grea, care sta pe pamānt la una usoara.
Neganti - prin contrast. Opozitie puternica. Ex contrast lumina/umbra, simplu/complicat. Punerea īn evidenta a unui obiect- lecturare data cu fundalul( ex. Un exponat atasat pe un perete care sa-i scoata īn evidenta calitatie.
Ex.casa de pe cascada, Wright- negare a contextului prin orizontalitate.
Transformantii extrinseci sunt forte interne prin care arhitectul īsi impune dorinta creatoare, prin ei se misca spiritul. - categorisire a creatorilor dupa starea lor psihica, fiecare va lua altceva ca motiv de inspiratie.
Ex. Se aleg 3 arh. Care sa rezolve pardoseala unei sali festive ce are planseu casetat si un perete deschis spre parc.
a/evocarea planseului casetat īn pardoseala
diminuarea dimensiunilor casetei. Tratare maruntita- omogenizare, difuzie, vibratie lejera. Arhitectura rationala, cartezian, clasic.-evocare patrat, a ortogonalitatii, si un anumit tip de negare(cerc/patrat). Centralitate difuza exprimata īn noduri.
b/evocarea relatiei interior/ exterior data de peretele deschis spre parc
felul īn care lumina patrunde īn spatiu -> stari psihice de meloman.
gradarea luminii pe pardoseala- opune o structurare delicata. Marmura neagra si alba(~clape pian)
c/evocarea acceselor principale si accentuarea legaturii dintre ele
accesele axial- axa evocata de parcurgerea spatiului.
Creaza o centralitate a spatiului, un ax fals
Neaga axialitatea, exagereaza centralitatea spatiului.
La toti trei exista prefigurare.

Exemple istorice ale modelului transformational.
Walter Gropius- Fagus werk
Caracteristica esentiala a socio-culturii din acel timp, a fost exprimarea lui cu vigoarea data de accentuarea plinurilor de īntoarcere. Gropius neaga aceasta caracteristica pentru a-si individualiza proiectul
Tin 1-colonada clasica
Tex 1-evocare,prin acuzarea verticalelor pe 3 nivele, amintind de ordinul paladian.
Tin a-antichitatea greceasca. Masivitatea coloanei de colt
Tin b- ev mediu- contraforti īn trepte.
Tin c-renastere - accentuarea coltului pe primul registru
Tex a,b,c- negarea arhitecturii coltului īnchis-usurarea coltului.
Functional īn coltul cladirii e rezolvata scara. Plecānd de la un transformant intrinsec Tin 2- realitatea fizica a scarii, Intarit de un transformant extrinsec Tex 2-ideea de īntoarcere a coltului, sustinute de dorinta de a individualiza volumul de arhitectura printr-un procedeu diferit de cel general acceptat, arh. Gaseste solutia coltului liber, transparent
Marcel Breuer- sediul U.N.E.S.C.O., Paris
Orasul axelor, piata Fontény, pe un teren īnvecinat cu academia militara si o cladire realizata īn spirit neoclasic. Cladire noua, corespunzatoare unei teme noi, īntr-un context clasicizant
Tin
-forma pietei, academia militara, cladirea neoclasica.
Breuer neaga socio-arhitectura academica front la front, si pe a
celei neoclasice. Crearea unei
disimetrii, o diversitate prin opozitie cu pastrarea identitatii locului.
Tin 1- simetrie- 2 axe Tex 1- evocare-centralitate piata
Tin 2-forma cladiri neoclasice Tex 2 -evocare, un Y imens p+2
Tin 3-masivitatea volumelor, forme īnchise Tex 3 -negare. Arhitectura usoara, deschisa. Nu sta pe teren
Tin 4-materiale, structura clasica/istorica-zidarie. Tex 4-negare, opune materialului clasic unul din moda timpului, beton armat.
Robert Venturi- casa de pe plaja, manifest
Casa de vacanta obisnuita, cu functiunile uzuale =>reactie plastica a carui rezultat e o arh. manifest.
Tin
1-īnlantuire functionala clasica(living - terasa
-plaja - apa, la parter, iar laetaj dormitoare
Tex 1-negare (dormitoare la parter si living la etaj pentru a oferi o mai buna perspectiva, mai larga spre peisaj.
Tin 2-acces direct living plaja Tex 2-scara ampla exterioara(opozitie)
Tin 3-dispunerea perpendiculara a casei īn raport cu plaja. Tex 3-dispunere paralela(opozitie)
Disproportia dintre casa si scara, opozitia dintre rotund si axialitate. Īn baroc, luneta e un element de acompaniament. Venturi face ca toata casa sa i se subordoneze
9.b.Formele semnificatiei (filigran, de baza, iconice)
-formele pe care le vedem scaune, case, orase, sunt continuturile lor superficiale, dar constituie mediul perceput zilnic;
forme filigran - designul lor investeste in energie (ex : auto );
forme de baza - ascunse, abstracte; arhitectura, arta in general prezinta forme uneori intangibile pentru imaginatie;
- poate fi discutata numai in termeni abstracti- abordata in jurul rationamentului, poate fi prezentata si demonstrata prin fotografii;
intre forma de baza si cea filigran sunt etape diferite de forme intermediare, de dezvoltare a formei de baza spre filigran;
forme adaptate - semnificatiile sunt adaptate formei prin coduri (norme, standarde, reguli, teorii sau preferinte estetice);
- forma actioneaza la decodarea intelesului - cheie, citire;
regulile conform carora se aleg formele sunt foarte interesante pentru ca prin ele se manifesta semnificatia;
regulile in arhitectura apar din cerinte geografice,sociale - obiective, artistice- subiective.
10.a.Evolutia modelului semiotic
Modelul semiotic bazat pe simbol e mai bine perceput, comunica din prima dar la el se ajunge greu (arhitectura simbolica se bazeaza pe un semn, recunoscut in toata lumea, cu putere, mesaj universal, caruia i se subordoneaza intreaga opera). Arhitectura simbolica permite multe interpretari afine ale simbolului respectiv. Cea mai simbolica arhitectura a fost cea gotica (slavire a transcendentei, retragerea in infinitul vertical) → toate constructiile dedicate transcendentei sunt inalte, simbolul crucii e mereu evident in planuri, fatade.
Simbolul a devenit o suita de elemente materiale care au o anumita utilizare. Un limbaj regionalizat arata apartenenta la o anumita comunitate, epoca istorica -are valoare de simbol; limba = esenta unificatoare a unei comunitati.
Arh. cea mai simbolizanta este e cea religioasa.
Pt a simboliza credinta exista elemente ca : totemuri, arborele vietii (axis mundi pt crestini, centrul pamantului =Ierusalimul ). In antichitatea greceasca diferenta dintre feminin si masculin se face printr-un stil diferit: ionic, corintic pt feminin, doric pt masculin.(Exceptie templul dedicat Atenei Partenos -e infatisat prin coloane dorice).In iconografia crestina exista cite un semn pt fiecare sfint (ex: balaurul pt Sf. Gheorghe); semne identificabile, care ajuta la recunoastere.
La egipteni -cultul mortilor -mormintele faraonilor -simbol al puteri, al vesniciei, o dispozitie a ordinii cosmice. Semantica este multipla si inepuizabila. Pt. sclavi s-au construit locuinte tipizate; locuinta era perisabila si nu s-a pastrat.
La indieni -colosi de piatra sub forma unor piramide, dar in trepte -cu mii de figurine, simbolizind, explicand credinta acestor popoare. Daca arhitectura egipteana a adus un fel de simplitate, rafinament al formelor, India a adus o incarcatura foarte mare de sculptura cu un contrast intre colosal si miniatural.
Arh. greaca -tindea catre forme simple bazate pe puritatea materiei; la indieni -opulenta decorativa, cromatica, materiale diferite.Incarcatura decorativa nu lipseste nici artei arabe -combinatie intre frumusetea formelor pure, occidentale, cu incarcatura traforata a orientului.
Silul gotic corespunde cel mai bine artei simbolizante.Goticul e considerat ca fiind un stil idealist;e considerat iratonal pt. ca aparent structura si compozitia pareau de nepatruns, protejat de initiati.Cea mai simbolica arta a fost cea gotica (slavire a transcendentei -retragere in vertical, in infinitul vertical-toate constructiile dedicate transcendentei sunt inalte; simbolul crucii este mereu evident in planuri si fatade.Viollet le Duc considera ca din punctul de vedere al scurgerii eforturilor stilul gotic ar fi cel mai rational dar este irational din punct de vedere semiotic.Exista si simboluri laice nu numai simboluri religioase.Cruciada a fost fenomenul laicizat al acestei perioade, ea a nascut arhitectura fortificata a castelelor (forta, introvertire, adapost)
Renasterea preia rationalismul grecesc.C.N.Schulz -ordinul clasic in principal a permis o evolutie a formelor convenante pt ca a folosit arcul si cupola. (Pantheon-prima cupola).Renasterea preia aceasta platforma si o duce mai departe -reprezentarea perspectivica (Durer -elipsoid in perspectiva, corpul uman in perspectiva ).
Baroc -libertatea formei, pt prima data forma desprinsa de continut.Un stil prolific din punct de vedere formal, care revine la antromorfism (cariatide) avind o incarcatura semantica la fel de bogata ca si goticul.
Clasicismul francez mai mult decit predecesoarele stilurilor din care se trage (antichitatea greceasca, romana, Renastere) prezinta elemente cu o conotatie simbolica.(ex: Luvru, Versailles - forme simtrice -pt a reprezenta puterea).
Eclectismul -melange de stiluri
-conventii prea uzate
-decalajul apare intre continut si forma -extrapolare, coloane de fonta
Programul care devine principal: palatul regal -puterea laica franceza (a devenit un model reluat in terte forme).
Sec 19 - programe interesante din punct de vedere semantic -promotoarea expozitiilor internationale (marile hale din Paris)
Tour Eiffel era o constructie gratuita, simbolul performantei in constructiile metalice(deschidere maxima si frumusete).Acum este simbolul orasului "lumina".
Crystal Palace -esenta culturii expo.
N. Grimshaw, I. Markovecz , Calatrava -reprezinta un anumit mod de a vedea cultura
Markovecz - (bis din Pecs) -7 turnuri fiecare reprezentind o imagine a culturi ungare (o semiluna , un turn mongoloid, un turn scandinav, un turn maramuresan ...) -etniile.La intrare un inger cu mustati uriase (arhanghelul din pusta mongola).
MODERNISMUL
Urmeaza o perioada de cadere a semioticului in arh. -Modernismul .A intervenit reprimarea ornamentului, forma s-a saracit.Spatiul trebuia explicitat fara ornament, dar era mult mai greu de realizat -interpretari abuzive
-Industrializare, repetivitate -aparitia stilului international care anuleaza regionalismul-cea mai acuta depersonalizare a arhitecturii.(arh anilor 50 -60, arh de dupa razboi)
Postmodernism -reintoarcere spre trecut, se cauta un motiv forte, intrinsec.Arhitectura exprima mesaje prin forme agresive, gratuite.Se cauta recuperarea sensului, a limbajului ce da recognoscibilitate.Se constietizeaza faptul ca arh este arta si trebuie sa se exprime pe sine (metalimbaj).
10.b.Stari comportamentale
|
Regimul asimilant |
Regimul itinerant |
Regimul expectativ | |
|
Nivelul senzorilor de impact, tactil: gura, mana |
Angajeaza tot sistemul locomotor [miscare] |
Senzori de distanta: vaz, auz, imagine |
Caracteristici corporale de angajare ambientala |
|
Efectul contopirii -omogenul -structura de incastrare |
Structura relationara reticulara |
-centralitate -radialitate -verticala -sens abisal -ascendenta |
Structuri arhetipale -trairea distantei in interioritatea imaginarului |
|
Structura modulara -continuitate -patrat omogen |
-colocare -baza relationara |
-structuri portante ale formelor -valorizare, eterogen |
Spatiu perceptiv |
|
Translatie, rotatie, simetrie -spatiu omogen -geometrie euclidiana |
geometrie topologica |
geometrie proiectiva |
Spatiu conceptual |
|
-de unificare |
-relationala |
-ierarhica |
Origine holistica |
|
iubire |
colaborare, coroborare, cooperare |
mandrie, demnitate |
Spatiu afectiv |
|
speranta |
consens |
depasire de sine, progres, devenire |
Spatiu afectiv |
|
depersonalizare |
schizofrenie |
paranoia, autism |
Spatiu modal (deziderat) |
|
omogenitate, retele modulare |
supervizarea, structurarea |
monumentalitate, axialitate, forme inchise |
Consecinte ale creatiei |
Comportamentul uman - in functie de om si ambient
C=f(O, A)
Din punct de vedere biologic, in comportamentul uman intervin 3 functii de baza: hrana, regenerarea, frica
Stefan Lupascu: OM→Comportament→Mediu
-existenta perimetrelor: valoare absoluta, transcendenta, in raport cu momentul
-relatia comportament uman-creatia artistica→cele 3 tipuri de comportament uman: starea expectativa, itineranta, asimilanta.
Spatiul din jurul nostru este neomogen si este format din: spatiul intim(cel mai apropiat de subiect), spatiul personal(ofera o libertate mai mare de miscare) si spatiul social(prin el persoana controleaza ce se intampla la distanta, in ambient), mai rarefiat, elastic.
Aceasta succesiune egocentrica inseamna trairea a ceva ce este distanta, profunzimea. Prin intermediul spatiului social persoana se simte inglobata in mediul pe care il controleaza. Spatiul ambiental este egocentric. Cunoasterea acestei structuri a spatiului ambiental a fost posibila prin trairea unei stari statice: starea expectativa (subiectul sta si se confrunta cu mediul). Omul insa, este obligat sa patrunda fizic in ambient intr-o miscare ce presupune trairea distantei. Acest tip de comportament prin care individul intra in relatie cu mediul-starea itineranta, in care intra orice actiune umana. Starea asimilanta este aceea in care, subiectul relationand cu mediul traieste intr-un dublu schimb. Se produce o asimilare proprie personalitatii unui subiect uman.
Exista 3 tipuri de componenti dupa filozofi
1.foamea - ideologia lui Marx
2.frica - filozofia lui Heidegger (existentiala-trecerea)
3.sexualitate - ideologia lui Freud
11.a.Teoria formei inchise - regim expectativ
Modelele de creatie reflecta structura psihica a unui individ, starile lui comportamentale: starea expectativa,starea itineranta si starea asimilanta
Starea expectativa: - verticala unul din arhetipurile formale caracteristice = raportarea omului la transcendenta (verticala uneste limita, pamantul cu o stare dispozitionala situata intr-o sfera mai putin concreta)
- bipolaritatea- unul din motivele de creatie specifice acestei stari
- manipuleaza trei regimuri, zone ale perceptiei: zona terenului,
zona parietala si zona zenitala, rezultand o continuitate pe verticala
Exista trei teorii caracteristice regimului expectativ:
teoria axelor
teoria monumentalitatii
teoria formei inchise
Referindu-ne la teoria formei inchise trebuie sa mentionam ca tipul expectativ nu este o persoana comunicativa, el are nevoie de limite, ,,ziduri" intre el si restul societatii, rezulta astfel dorinta de a crea forme inchise, bine conturate
Exista mai multe moduri in care se pot realiza aceste forme :
marcarea golului, cel mai semnificativ element al relatiei interior-exterior, foarte puternic prin ancadramente
intarirea coltului cladirii, intoarcerea pe colt
folosirea formelor geometrice introvertite: simetrii biaxiale
exacerbarea spatiului interior in raport cu cel exterior
terminarea la partea superioara a cladirii cu cornise, atic, fronton=limite intre pamant si cer, limita aspiratiei
In Grecia antica -grecii erau adeptii formelor bine conturate , limita bine precizata-ideal al frumosului, forme perfecte ce se pot exprima foarte clar prin formule, cat mai regulate (sfera-simbol al perfectiunii)
-in arhitectura - proportii perfecte care defineau spatiile pornind de la proportiile corpului uman si care au stat la baza modularii obiectelor arhitecturale si a spatiilor spatiilor publice, numarul de aur
- teoria formei inchise era ca orice volum care avea o conturare puternica in special la colturi exprima mai multa forta
Evul mediu
intarituri la colturi , contraforti pe una sau 2 directii, bosaje din masive piatra
turnuri cu forma angulara - ideea de cetate stelata mai rezistenta la invazii
Renasterea
colturi marcate prin dozarea marimii zidariei ( cele mai mari la colturi)
ierarhie a marimii pietrelor de zidarie de la parter la cornisa
goluri mai mari la parter
reluarea modelului grecesc de marcare a coltului cu un element inchis, marcarea golurilor cu ancadrament din piatra
diferenta interior - exterior bine determinata
Gotic
aparitia ogivelor, a cercevelelor de piatra si a vitraliilor viu colorate
marcarea si intarirea golului ( unui gol mic ii corespunde un ancadrament mare si invers)
monumentalitate, marcarea coltului, spatiu interior si exterior bine determinate
nu exista ambiguitate, spatiul este puternic ierarhizat, spatiul interior subordonat unui spatiu central bine conturat
accentuarea verticalitatii prin cupole, flese
Perioada Moderna
spargerea masei prin vid- patrunderea vidului in materie
Mies van der Rohe- dirijarea spatiului prin lame ( peretii devin simpli dirijori ai spatiului, compensarea limitelor prin sticla=ideea de contopire a spatiului interior cu cel exterior)
Wright, Gropius-spargerea coltului
structura nu mai e portanta, inchiderea volumului pe contur e usoara, nu mai e aceeasi coincidenta masa-anvelopa
Le Corbusier - perceperea spatiului in miscare, contestarea ierarhizarii, casa=sculptura de vazut in miscare, daca e scoasa din context ea traieste, se poate adapta oriunde altundeva
grila ortogonala- dematerializare
omogenizarea spatiului, lipsa ierarhizarii=depersonalizare, lipsa de orientare
Eisenmann - refocalizare a grilei, recentralizare a spatiului, resacralizare, regasirea focarelor, re-ierarhizare
11.b.Exemple contemporane de colocare
In contrast cu modelul transformational care releva artisticitatea si cu cel semiotic care ne apropie de ratiunea functionala a arhitecturii, modelul colocarii ( sau modelul integrator) evidentiaza faptul ca arhitectul creeaza totalitati. In activitatea de proiectare, lucruri diferite sunt puse la un loc, printr-un mod de gandire specific, pentru a da nastere unui ansamblu
Orice tema sau program de arhitectura descrie niste constituienti; arhitectul trebuie sa descopere regula dupa care acestia dau ansamblul; rezulta deci ca acest ansamblu este diferit in functie de personalitatea fiecaruia si regula dupa care acesta compune este cel mai important element al modelului colocarii
Rezulta ca opera, creatia arhitectului este rezultatul unei sume de constituienti, o regula si euritmia fiecaruia (starea de gratie a artistului )
C1 +C2+ . Cn + R + E = creatia
In general , in arhitectura exista constituienti de ordin material ( material de constructie, forma, lumina, umbra, situl, spatiul-coaja si vid ), de ordin fizic ( clima, relief ), de ordin spiritual ( comanda sociala, comanda culturala )
Exemple contemporane de colocare:
scaunul lui Marcel Breuer
Casa Gropius
scaunul lui Le Corbusier - 3 pozitii + piele de capra maro cu alb in loc de panza
Mies van der Rohe- stocare scaune unul peste altul
R. Meier - mai multe modele,pregnant cel transformational
-Canal Plus - modulare in retea pe suprafata , o grila plana - o grila spatiala -ingrediente ale modernismului duse mai departe; spre Sena - incadrare , aliniament . colocarea acestor costituienti + regula datra de program si de context
-constituienti de tema - studiouri , corp administrativ , partea de reprezentare - holuri-expo , relatii cu publicul(latura nordica , perpendiculara pe Sena)
-constituienti de natura formala - (din modernism - el este continuatorul lui Le Corbusier)- piloni , ferestre banda , acooperis-terasa , trafoare pe fatada ,
-frumusetea si valoarea volumului alb
-grila plana - modulare plan-fatada
-gandire contextualista
12.a.Imaginarul Patapievici si Culianu
Cand spatiul a devenit anizotrop s-a nascut un zeu- exprima nevoia de ceva.
Utilizarea grilei in modernism a constituit un exercitiu de concretizare a spatiului, a izotropiei si a absolutului intr-un sens newtonian. Negarea hegemoniei grilei si recompunerea ei in termeni axialitati si anizotropiei, pot conduce la o recentralizare, o reaxializare intr-un sens abisal, o recentralizare a receptaculului - probleme, dileme ale contemporaneitati "inaltimea verticala, elevatia continua sa exprime prin excelenta, modalitatea de a fi sacru".
O prima anizotropie a spatiului, a fost locul, inainte de monotheism prin retragerea sacrului in cer (prima cadere) si crearea prin consecventa a raportului de transcendenta a axei absidale, prin care lumea dialogheaza cu divinitatea, spatializarea ideii.
1. retragerea zeilor dintre oameni - miturile grecesti - toata perioada prerenascentista a utilizat notiunea de spatiu sacru in sensul locului geometric de manifestare, o arhitectura receptacul a transcedentalitatii. Este momentul primelor constructii de temple pentru invocarea zeilor in accord cu filosofia cosmogonica a religiilor: oglindirea cerului pe pamant prin construirea oraselor.
Spatiul, teritoriul demarcate de: - animale;
2. a doua cadere - alungarea lui Adam si Eva din Rai, oamenii devin muritori, dobandesc vocatia de a-si redobandi locul in Rai. Sansa artistilor- ispasirea prin arta; idea de baza - intoleranta lucrurilor imorale. Islamul este religia care-si pastreaza latura imaginara intacta, admite sacrificii cu anumite scopuri.
3. a treia cadere - ridicarea lui Isus in ceruri - apar primele biserici receptacul a acestei credinte, este nascuta idea de religie.
Durant: "Occidentul a devenit tot mai iconoclast"
Ocluzionarea imaginarului: stiintele exacte si geometria analitica au suprimat imaginarul nu atat prin lipsa ilustrarilor, cat prin absenta reprezentarii sacrului.
Idea de contradictoriu a neoplatonicienilor, bazata pe alt tip de gandire.
Abuzurile crestinismului: cruciadele, inchizitia.
Miscarea reactiva- devierea de la principii prin reforma (Luther, Calvin)
Reforma- contrareforma: interzice iconografia, reprezentarea lui Dumnezeu, puritanismul pe ambele parti, apare idea de experiment, demonstratie logica.
Laplace: "Mecanique celeste"- sec XVIII descrierea cosmosului fara nici o reprezentare grafica; deschide drum mecanicii cuantice bazata pe conventii numerice (fara grafice); imaginarul refuleaza in arta (apare arta abstracta); in biserica ramane doar valoarea patrimonala si dispare ornamentica.
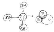
12.b.Nivele simultane ale perceptiei
Sp-spatiul
perceput
Sc-spatiul conceptual
Ss-spatiul simbolizant
Sob-spatiul obiect
Sr-spatiul real
Sn-spatiul natural
-procesul de creatie transfigureaza perceptiile, iar obiectul de arhitectura se integreaza → un proces permanent de deductie, transfigurare
Sob-filtrat de subiect
-relatia om-natura (mediu): grade diferite de miscare, perceptie, concept.
-ambientul=spatiul perceput, permite o anumita concretete: -conotatie spirituala
-factori
cromatici →o folie din mediu bine
conturata, separata fizic si spiritual
Peristaza: mediu cosmic, ipostaza depersonalizata, conotatia existenta presupune o natura depersonalizata
Tipologii umane:
-antropologie
-apartenenta la un grup
-de rutina
-inginer - competenta profesionala
-arhitectura = creatie, spiritualizare profunda
Mecanismul creatiei

-proces de selectare, inductie a elementelor care convin
-tipologizarea intentiilor → principiu
-element de determinare
-casa finala: produs, aport al subiectului
Px - subiect care te reprezinta, element de referinta a persoanei care creaza
Semiologi: Umberto Eco - omul ca fiinta cugetatoare
Pierce - triunghiul de referinta
Semiologia - reprezentant = semnificant: semn concret
-referent = semnificat: conotatie, abstract, spiritual
P1, Pn -exemple, documentatie+informatie+selectie → inductie
-conjugarea exemplelor, cerintele temei - conjugarea arhetipului, schemei
-operare in procesul conceptului - schite, variante
-proiectare = proces de reprezentare cu mijloace proprii, a unui spatiu virtual+restituiri in lumea valorilor a unui obiect → critici, aprecieri
-proiectul este marcat de structura intima, genetica a proiectantului
- partea nativa (inconstienta)
-partea educabila (constienta)
inconstienta - memoria colectiva → reactii - transmiterea caracterelor posesorilor
Atitudinea fata de opera de arta
-perceptiva - pasiva
-empatetica (simpatetica): implicare, participare afectiva
-activa - formare de atitudini selective
-reactiva - neutra
-ejectiva, respingere
-asimilanta, acceptare
|