METODOLOGIA DE PROIECTARE
Calculul fortelor rezistente
a) alegerea fortelor specifice
fsp.cp - forta specifica pentru contactele principale
(la In=40 A)
fsp.ca - forta specifica pentru contactele auxiliare
(la In=40 A)
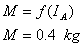
b) alegerea preliminara a masei armaturii mobile (M)
![]()
c) alegerea
cursei libere a contactoarelor
si a cursei in contact
![]()

d) cursa totala a contactelor (e)
![]()
e) alegerea vitezei de deplasare a contactelor (v)
![]()
f) calculul fortei de frecare

g) calculul fortei rezistente datorata contactelor principale (Fcp)

h) calculul fortei rezistente datorata contactelor auxiliare (Fca)

i) calculul fortei rezistente a resortului antagonist (Fr)

![]()
j) forta initiala de precomprimare a resortului antagonist (Frp)

k) forta initiala de precomprimare in contacte (Fpcp ; Fpca )

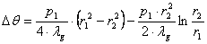
Trasarea diagramei fortei rezistente totale (
)
![]()
Stabilirea datelor nominale ale electromagnetului de actionare

Calculul electromagnetului de actionare
Calculul preliminar
a)
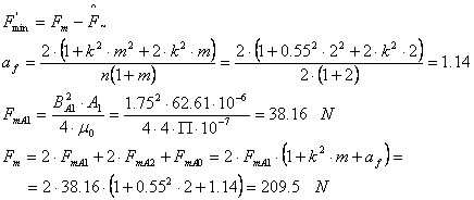
Forta minima de calcul ![]()
![]()
b)
Alegerea inductiei maxime (de varf) in zona neecranata ![]()
![]()
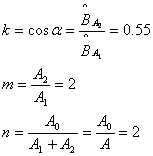
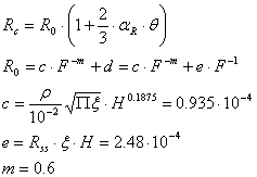
c) Alegerea valorilor constatntelor specifice electromagntului (k, m, n)

d) Calculul ariei neecranate (A1)


e) Calculul ariei ecranate (A2)
![]()
f) Calculul ariei coloanei centrale (A0)
![]()
Determinarea dimensiunilor circuitului magnetic ![]()

Calculul numarului de tole (nt)

Determinarea inductiei in fier ![]()


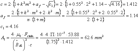
Calculu numarului de spire

Diagrama fazoriala a fluxurilor si inductiilor

Alegerea dimensiunilor intrefierului
in pozitia inchis

Proiectarea electromagnetului pe baza elementelor standardizate
Dimensionarea bobinei
a)
Calculul preliminar de magnetizare al curentului de
magnetizare
ca valoare de varf

b)
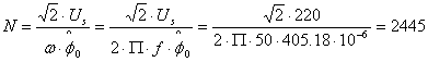
Calculul preliminar al reluctantei echivalente ![]()

c) Determinarea dimensiunilor bobinei
Alegerea densitatii de curent (J)
![]()
Sectiunea conductorului (sc)

Diametrul neizolat al conductorului (d)
![]()
Factorul de umplere real al bobinei (fu)
![]()
Factorul de umplere ideal al bobinei (fui)
![]()
Calculul constantelor

Sectiunea bobinei ![]()
![]()
Inaltimea ferestrei (hb)

Inaltimea ferestrei (h)

Calculul rezistentei bobinei (Rb)
![]()

d) Calculul exact al reluctantei echivalente si al curentului de magnetizare

Dimensionarea spirei in scurticircuit (spira ecran)
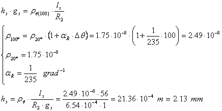
a) Calculul rezistentei spirei (R2)

b)
Tensiunea electromotoare indusa in spira ca valoare de
varf ![]()
![]()
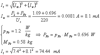
c) Puterea disipata in spira ecran (P2)

d) Grosimea spirei in scurtcircuit (gs)
![]()
e) Lungimea spirei (ls)
![]()
f) Inaltimea spirei (hs)

Calculul curentului total absorbit de bobina

Calculul de verificare al electromagnetului
Verificarea fortei dezvoltate in pozitia inchis

Verificarea conditiei tehnice in pozitia inchis:

Verificarea la incalzire a bobinei
Incalzirea bobinei se determina cu relatia:
unde:
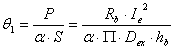
- incalzirea la
suprafata exterioara a bobinei
- caderea de
temperatura in bobina
- curentul
echivalent

Alegem coeficientul global de cedare al caldurii prin convectie si radiatie la suprafata bobinei:
![]()

Verificarea conditiei tehnice la incalzire:

Calculul cailor de curent
Calculul de dimensionare a ariei minime a sectiunii caii de curent (A)
![]()
Pentru un curent
alegem dimensiunile
cailor de curent
,
.
Calea de curent o alegem din cupru.
![]()
Verificare:

Calculul de verificare la incalzire
Verificare la incalzire in regim nominal ![]()

Verificarea la incalzire a contactelor

Incalzirea punctului de contact ![]()

Rezistenta de contact (Rc)

Verificarea conditiei tehnice in regim nominal
Verificare la incalzire in regim de suprasarcina
Calculul camerei de stingere
Determinarea numarului de placute pe loc de rupere
Dimensionarea unei placute
|