Documente online.
Zona de administrare documente. Fisierele tale
Am uitat parola x Creaza cont nou
 HomeExploreaza
upload
Upload




Celuloza

Chimie


Celuloza

Istoric



Pentru descoperirea celulozei nu exista  o data anume, deoarece aceasta a aparut înainte de nasterea omului. Celuloza a fost un element component al Terrei de când au aparut copacii si plantele fiind constituentul principal al peretilor celulari vegetali.

   &nbs 636f58g p;   &nbs 636f58g p; În natura celuloza este prezenta sub diferite forme a caror structura a fost înteleasa doar dupa 1838, anul în care botanistul francez Anselme Payen a izolat celuloza pentru prima data din lemn.

   &nbs 636f58g p;   &nbs 636f58g p; De atunci celuloza se afla sub observatia oamenilor de stiinta producându-se schimbari în procesul de prelucrare, utilizari si genetica plantelor (multi fermieri fiind interesati de mutatiile genetice pentru a produce cantitati mai mari de bumbac).

Structura

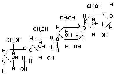
Celuloza este formata din molecule de glucoza unite în pozitia 1-4.

   &nbs 636f58g p;   &nbs 636f58g p;   &nbs 636f58g p;

Formula moleculara

(C H O n

n variaza între 700 - 800 si 2500 - 3000)

   &nbs 636f58g p;   &nbs 636f58g p;  Celuloza este o substanta organica, un polimer sau mai specific o polizaharida care este formata din peste 3 000 de molecule de glucoza.

   &nbs 636f58g p;   &nbs 636f58g p; Un polimer este o macromolecula formata din molecule mai mici care se repeta (glucoza în acest caz). Acest lucru explica faptul ca structura celulozei este formata din molecule de glucoza.

  Structura

   &nbs 636f58g p;   &nbs 636f58g p;  Celuloza este formata din molecule de glucoza unite în pozitia 1-4.

   &nbs 636f58g p;   &nbs 636f58g p;   &nbs 636f58g p;

Formula moleculara

(C H O n



n variaza între 700 - 800 si 2500 - 3000)

   &nbs 636f58g p;   &nbs 636f58g p;  Celuloza este o substanta organica, un polimer sau mai specific o polizaharida care este formata din peste 3 000 de molecule de glucoza.

   &nbs 636f58g p;   &nbs 636f58g p; Un polimer este o macromolecula formata din molecule mai mici care se repeta (glucoza în acest caz). Acest lucru explica faptul ca structura celulozei este formata din molecule de glucoza sau C H O .Glucoza este o substanta care are rol foarte important în respiratia celulara si în fotosinteza: CO (g) + H O (l) + lumina = C H O (s) + O (g) (ecuatia fotosintezei).

   &nbs 636f58g p;   

  Celuloza formeaza partile de sustinere ale plantelor împreuna cu lignina si alte substante necelulozice, si confera plantelor rezistenta mecanica si elasticitate. Celuloza se formeaza în plante în urma procesului de biosinteza fotochimica.

   &nbs 636f58g p;   &nbs 636f58g p; Deoarece elemntele componente ale celulozei sunt nemetale celuloza prezinta legaturi covalente.

Datorita structurii (celuloza este formata dintr-un singur monomer) este numita polizaharida si nu poate fi digerata de oameni. Animalele precum vacile, oile, caii si alte ierbivore au enzimele necesare digerarii acestui material marind viteza hidrolizei celulozei si transformând-o în glucoza. Omul nu are aceste enzime.

Producerea celulozei

   &nbs 636f58g p;    Polizaharidele, precum celuloza sunt produse eliminând apa continuta în moleculele monozaharoase. În acest caz glucoza este monozaharida. Companiile de bumbac si alte fabrici de materiale textile  împreuna cu alte metode  folosesc acest proces pentru a rafina celuloza.

 Derivati ai celulozei

   &nbs 636f58g p;   Celuloza nitrata a fost primul material plastic realizat cu succes în 1869 prin transformarea celulozei  în nitrat. Este folosita în industrie pentru confectionarea lacurilor (1920 - folosita pentru prima data), pieselor de tualeta.

   &nbs 636f58g p;   Celuloza acetica a fost produsa din reactia celulozei cu acidul acetic, anhidrida acetica si catalizatori. A fost folosita pentru prima data în 1930. E utilizata în confectia materialelor de împachetat,  a jucariilor, uneltelor, izolatorilor si ochelarilor. Este cel mai ieftin material produs.

   &nbs 636f58g p;   Celuloza etilica rezulta atunci când celuloza este tratata cu sulf sau clor etilic. Este folosita în comert, pentru extinctoare si în industria electronicelor. Este cea mai scumpa celuloza.

   &nbs 636f58g p;   Matasea artificiala a fost produsa în 1884 pentru a fi folosita în industria confectiilor dar a fost scoasa repede de pe piata deoarece era inflamabila. Acum matasea artificiala  e folosita ca materie prima pentru haine si este fibra cea mai utila omului.




Document Info


Accesari: 8492
Apreciat: hand-up

Comenteaza documentul:

Nu esti inregistrat
Trebuie sa fii utilizator inregistrat pentru a putea comenta


Creaza cont nou

A fost util?

Daca documentul a fost util si crezi ca merita
sa adaugi un link catre el la tine in site


in pagina web a site-ului tau.




eCoduri.com - coduri postale, contabile, CAEN sau bancare

Politica de confidentialitate | Termenii si conditii de utilizare




Copyright © Contact (SCRIGROUP Int. 2025 )