DETECTORI UTILIZATI IN IMPRASTIEREA NEUTRONILOR RAPIZI
Metoda cea mai utilizata pentru detectia neutronilor rapizi este imprastierea elastica a acestora pe nuclee usoare. In urma imprastierilor se transfer 444f55e a o parte din energia netronilor la nuclee tinta, rezultand un nucleu de recul. Deoarece tintele sunt intotdeauna nuclee usoare, acest nucleu de recul se comporta cu un proton sau o particula alpha pierzand enegie in mediul detector. Hidrogenul, deuteriul si heliul pot fi utilizate ca nuclee tinta, dar hidrogenul este de departe cel mai utilizat. Nucleul recul rezultat din reactia de imprastiere elastica a neutronului cu hydrogen obisnuit este numit proton de recul, iar dispozitivul bazat pe aceasta interactie se numeste detector de proton de recul.
Valoarea lui Q din imprastierea elastica este zero deoarece energia cinetica totala dupa reactie este definita ca si energie cinetica dinainte de reactie. Pentru scopuri practice nucleele tinta sunt la final, si mai mult suma energiilor cinetice rezultate din reactie (nucleul recul si neutronul imprastiat) trebuie sa fie egala cu cea purtata de neutronul incident. Pentru o singura imprastiere in hydrogen, fractia de energie cedata de neutronul incident protonului recul poate avea o valoare cuprinsa in intervalul zero si valoarea maxima a energiei neutronului, astfel, energia medie pe care o poate avea protonul de recul este aproximativ jumatate din energie neutronului initial. De altfel este de preferat sa se foloseasca detectarea neutronilor rapizi intr-un mediu de radiatii gama sau alte medii de energie scazuta, dar diferentierea va fi facuta mai greu cata vreme energia neutronului incident este undeva sub cateva sute de keV.
Prin aplicarea unor tehnici ca forma pulsului sau discretizarea in timp pentru a elimina evenimente induse de radiatiile gama, detectoarele specilizate pentru protonii de recul pot fi utilizati si pentru neutroni cu energii mai mici de 1 keV. Metoda reculului este nu se aplica neutronilor termici sau altor parti a detectorului.
1. Cinematica imprastierii elastice a neutronilor
Vom defini intai simbolurile utilizate in ecuatiile urmatoare:
A - masa nucleului tinta
En - energia cinetica a neutronului incident
ER - energia cinetica a netronului de recul
- unghiul de imprastiere al neutronului in centrul de masa raportat la coordonatele laboratorului
unghiul de imprastiere al nucleului de recul in sistemul de coordonate al laboratorului
Aceste definitii sunt illustrate in fig 15-12
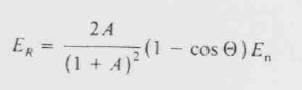
Pentru neutronul incident cu o energie oarecare conservarea energiei si a momentului in sistemul de coordonate al centrului de masa dau urmatoarea relatie pentru energia nucleului de recul:

Pentru trecerea in sistemul de coordonate al laboratorului se foloseste relatia:


Figura 15-12. Diagrama imprastierii elastice a netronilor in coordonatele centrului de masa si in coordonatele laboratorului
Tabelul 15-2 Fractiile maxime de energie care pot fi transferate prin imprastieri elastice

Energia in functie de unghiul de recul:
![]()
Din ecuatia 15-3 se poate observa ca energia cedata nucleului de recul este unic determinata de unghiul de imprastiere. Pentru un unghi de imprastiere foarte mic, in urma caruia neutronul este doar putin deviat, reculul este aproape perpendicular pe directia neutronului incident (θ = 90) si ecuatia 15-3 demonstreaza ca energia nucleului de recul este aproape zero. La cealalta extrema, o coliziune in plin, a neutronului incident cu nuclee tinta vor conduce la un recul pe aceasi directie rezultand un maxim de energie de recul:
![]()
In tabelul 15-2 avem lista fractiilor maxime de energie pe care neutronul incident le poate ceda nucleului de recul intr-o singura coliziune pentru diferite nuclee tinta. Cu cat masa nucleului tinta creste, proportia maxima de energie transferata scade. Numai in coliziune cu hidrogenul obisnuit poate neutronul sa transfere toata energia sa dintr-o singura interactie. Dupa cum se poate vedea din tabel, numai nuclee usoare prezinta interes in detectoarele recul, unde hidrogenul are un rol important.
2. Distributia de energie a nucleului recul
Trebuie avut in vedere modul in care energia de recul este distribuita intre valoarea zero si maximum prezentat in tabelul 15-2. Pentru sunt premise toate unghiurile de imprastiere ne putem astepta la o continuitate intre energiile de recul. Daca definim σ(θ) ca diferenta dintre sectiunile macroscopice de imprastiere in centrul de masa al sistemului, atunci prin definite probabilitatea ca imprastierea sub unghiul dθ este:
Unde σs este sectiunea macroscopica totala de imprastiere integrata pe tot volumul. Ne intereseaza mai mult distributia energiei nucleelor de recul definita de P(ER)dER, probabilitatea de realizarea a unui recul cu energia in dER si ER. Acum, pentru ca P(ER)dER= P(θ)dθ putem scrie urmatoarele :

Inlocuim d /dER si obtinem:

Ecuatia reprezinta graficul energie protonului recul.

Figura 15-13. Diferite sectiuni macroscopice de imprastiere ale 3He la o energie a netronilor de 5.54 MeV. Sunt indicate de asemenea unghiurile si energiile corespunzatoare nucleelor de recul de He in sistemul laboratorului.

Figura 15-14 Distributia de energie a protonului recul produsa de neutroni monoenergetici. Energia de recul este indicata pentru diferite valori ale unghiului de recul θ dat de relatia 15-3
O simplificare importanta de care trebuie sa tinem seama
este isotropia in centrul de masa al sistemului. Atunci σ(θ), nu se
schimba cu θ si este egal cu o
3. Eficienta detectiei
Eficienta detectiei pentru un dispozitiv bazat pe un proton de recul sau pe alte nuclee de recul poate fi calculata din sectiunea macroscopica de imprastiere σS. Daca in detector se gasesc numai nuclee de un singur fel, eficienta intrinseca este data de relatia:
![]()
Unde N este densitatea nucleului tinta, σ este sectiunea macroscopica de imprastiere pentru aceste nuclee si este lungimea drumului dintre detector si neutronul incident. Carbonul este deasemnea utilizat incombinatie cu hidrogenul in detectoarele de protoni cu recul,si trebuie tinut seama de efectele concurente ce se datoreaza imprastierilor carbonului. Eficienta numararii, neglijand multiplele imprastieri este data de relatia:
Unde indicii H si C fac referinta la cantitati definite anterior de carbon si hydrogen.
Graficele pentru sectiunea macroscopica pentru cateva materiale de interes in detectia neutronilor rapizi sunt prezentate in fig 15-15. O relatie de calcul empirica pentru sectiune macroscopica de imprastiere a hidrogenului a fost data de Marion si Young:
![]()

Figura 15-15 (a) Sectiunile macroscopice de imprastiere elastica pentru 1H, 2H si 3H
(b) Sectiunile macroscopice de imprastiere elastica pentru 4He si 12C
Unde En este in MeV. Aceasta aproximare este mai precisa cu aproape 3% peste gradul energiei neutronului cuprinsa intre 0.3<En<30 MeV
Scintilatorul cu proton recul
Una din cele mai usoare cai de utilizare a protonului recul
in detectare neutronilor rapizi este utilizare in scintilatoare cu hydrogen.
Neutroni rapizi incidenti pe scintilator dau un impuls protonilor recul a caror
distributie de energie trebuie sa fie aproximativ rectangulara, pe o banda de
valori de la zero la energia maxima a neutronilor. Deoarece rangul protonilor
recul este mic in raport cu dimensiunile scintilatorului, intreaga lor energie
este depozitata in scintilator iar distributia pulsului este aproximativ
rectangulara. Detectoarele cu scintilatie cu continut de hydrogen, au
aplicatibilitate in multe domenii de cercetare in fizica netrunilor rapizi,
dupa cum arata prezentarea lui
Intrucat materialele scintilatoare cu continut de hydrogen sunt foarte raspandite, ele au un viitor in acest domeniu. Aplicatii reusite au fost anuntate, care folosesc cristale organice precum antracenele si stilbenele, scintilatori lichizi care combina scintilatori organici dizolvat intr-un solvent organic care contine hydrogen, si scintilatori plastici in care un scilant organic este incorporat intr-o matrice de hydrocarbon polimerizat. A descriere generala a proprietatilor acestor scintilatori poate fi gasita in capitolul 8.
O lunga perioada de timp, in dezvoltarea scintilatorului cu proton recul s-a utilizat cristale sau antracene sau stilbene. Antracene au cea mai mare degajare de lumina dintre toate scintilatoarele organice dar se schimba gradual catre stilbene datorita caracteristicii lor superioare de respingere a radiatiilor gama. Oricum, ambele cristale sunt scumpe si dificil de obtinut la dimensiuni mari (putin mai mari decat cativa centimetri) si se pot distruge usor prin soc termic si mechanic. Un alt dezavantaj sever rezulta din directia variabila de reflectare a luminii din astfel de cristale, care depinde de directia particulelor incarcate fata de axa cristalelor. Nu este neobisnuita o variatie de 25% a particulelor incarcate. Acest effect desi neimportant daca detectorul doar numara neutronii, poate complica lucrurile in cazul neutronilor rapizi.
In consecinta, atentia a fost indreptata spre scintilatorii lichizi si organici plastici pentru spectroscopia neutronilor rapizi. Aceste materiale nu sunt foarte scumpe, au o toleranta mare la diferite forme si dimensiuni si nu afecteaza in nici un fel raspunsul scintilator. In tabelul 15-3 sunt prezentate cateva proprietati ale celor mai representative scintilatoare lichide si plastice, acestea se gasesc pe piata si sunt special realizate pentru spectroscopia neutronilor rapizi.
Pentru scopuri speciale, scintilatoarele lichide sunt disponibile cu deuterium, care substituie continutul de hydrogen. Alte modele sunt cu hexafluorbenzen, care nu folosesc deloc hydrogen si pot fi utilizate separat pentru masurarea contributiei radiatiilor gama intr-un camp complex de radiatii gama si neutroni rapizi.
Dimensiunea scintilatorului
In alegerea dimensiunilor pentru scintilatorului cu proton recul, trebuiesc facute cateva compromisuri. Prin ingustarea scintilatorului, eficienta calculata cu ecuatia 15-8 este evident sporita.
De exemplu daca grosimea scintilatorului este de 5 cm in directia drumului neutronului probabilitatea interactiunii este cu 40% mai mare ca neutronul sa piarda 2 sau 3 MeV din energie. Pe masura ce energia neutronilor creste, eficienta detectiei scade si in consecinta avem motive solide sa facem scintilatorul mai larg. Insa este mult mai greu de colectat un fascicul de lumina, uniform de la un scintilator de dimensiuni mari iar resolutia masurarii energiei va fi slaba. Un alt factor care adesea limiteaza marimea scintilatorului este rata pulsului datorata radiatiilor gama care interactioneaza cu detectorul. In multe aplicatii aceasta rata o depaseste pe cea a netronilor rapizi, iar scintilatorul trebuie sa fie suficient de mic astfel incat discretizarea evenimentelor razelor gama sa nu fie o problema.
Daca scintilatorul este utilizat ca un spectrometru pentru neutroni rapizi, alti factori trebuie considerati in alegerea dimensiunii. In cristale mici, un neutron obisnuit se imprastie doar odata iar spectrul de energie se apropie de o distributie rectangulara discutata mai devreme. Cata vreme dimensiunile scintilatorului sunt mai mari decat cativa milimetri este putin probabil ca neutronii sa scape de pe suprafata iar functia de raspuns a detectorului este simpla si usor de calculat. Cu cat dimensiunile detectorului cresc, imprastierile multiple ale neutronilor sunt tot mai probabile, iar functia de raspuns este mult mai complicata si greu de gasit. Deoarece cunoasterea exacta a functiei de raspuns este critica pentru procesele in desfasurare
3.Functia de raspuns
Pentru acele detectoare a caror functie de raspuns poate fi aproximata usor cu o forma rectangulara, derivarea energiei neutronilor incidenti este simpla. Pentru ca derivata energiei este zero peste tot mai putin in maxim, derivata spectrului protonului recul va avea un varf localizat in energia neutronului incident. Derivata spectrului inregistrata pentru o sursa complexa conduc la o reprezentare usor de calculat a spectriului neutronului incident.
Pentru functiile de raspuns mult mai complexe, tehnica generala este deconvolitia sau desfasurarea, discutata in capitolul 18. O aplicatie reprezentativa pentru metoda defasurarii pentru raspunsul neutronic al scintilatoarelor organice este data in Ref 74-77. Din cauza complexitatii lor, pentru calculul desfasurarii de acest tip s-au scis coduri in diferite limbaje. Cunoasterea exacta a functiei de raspuns a acestor detectori este necesara penrtu aplicarea metodei desfasurarii
a) Fascilul nonlinear de lumina cu energie
Asa cum am discutat in capitolul 8 lumina emisa de cele mai multe scintilatoare organice nu cresc liniaritatea desi energia inmagazinata creste. Aceasta nonliniaritate distorsioneaza distributia rectangulara a energiei protonilor din Fig 15-16c intr-o pulse inalt ca in fig 15-16d. Pentru multe scintilatoare organice, lumina emisa H este aproximativ proportionala cu E3/2 :
![]()
Iar forma pulsului va fi data de :

Unde k si k` sunt constante de proportionalitate. Aceasta relatie este doar o aproximare a deviatiei actuale cauzate de nonliniaritate, si o descriere mai amanuntita e luminii emise fata de energie ca o cerinta de baza pentru desfasurarea spectrului.

Figura 15-16. Graficul inaltimii pulsului fata de energia unui scintilator tipic organic. Acest raspuns nonlinear conduce la o distorsiune a spectrului protonului recul rectangular din fig. c in fig d
b) Efectul de granita
Daca scintilatorul este sufficient de mic sau energia netronului este foarte mare astfel incat rangul protonului de recul nu este mic comparativ cu dimensiunile detectorului, unele efecte pot fi neglijate datorita scapari neutronilor de pe suprafata scintilatorului. Evenimentul nu este pierdut dar este schimbat simplu cu o energie mai mica decat cea normala, cu care a fost observat. Efectul asupra functiei de raspuns va fi schimbarea evenimentului de la un impuls inalt la un impuls mai mic, prin cresterea pantei in fig 15-16d.
c) Imprastierea multipla in hydrogen
Pentru detectoarele care nu sunt mici este posibil ca neutroul sa sufere mai multe imprastieri pe nuclee de hydrogen inainte de a iesi din scintalator. Pentru ca toate aceste evenimente apar normal pe perioade scurte de timp comparabile cu intarzierea scintilatorului, lumina de la toti protonii recul se insumeaza iar pulsul produs are o amplitudine proportionala cu lumina totala emisa. Imprastierile multiple vor creste mai departe pulsul si vor schimba forma functiei de raspuns prin adaugarea de evenimente cu puls mare cu amplitudini mici.
|