Electrochimia legaturii simple
Scindarea legaturilor simple se poate realiza atat printr-un transfer direct de electroni la substratul organic cat si prin intermediul reactivilor generati electrochimic. Usurinta scindarii reductive ale legaturilor depinde, in principal, de taria legaturii C-X, de exemplu, pentru halogenurile alifatice usurinta scindarii scade in ordinea: I>Br>Cl. Legaturile activate de sisteme nesaturate adiacente ca benzil, alil, carbonil, nitro sau cian sunt mai usor de scindat decat in cazul unor grupe alchil, vinil sau fenil.
Scindarea si formarea legaturii C – C
Desi legatura C-C este o legatura puternica, au fost raportate cateva exemple de scindare a acestei legaturi. In fiecare din cazuri, legatura C-C este atasata unui sistem , iar scindarea este posibila printr-un transfer initial de electroni catre sistemul . Stradins si coautorii au observat la reducerea potentiostatica a unor dehidrodimeri ai indandionei in DMF o unda polarografica bielectronica la -0,6V (vs SCE) si au identificat spectroscopic derivatul enolic al indandionei; acest derivat participa ulterior la o reducere bielectronica cu formarea unui trianion.

(VII.24)
Alte exemple de scindare a legaturii C-C implica reducerea nitrililor la hidrocarburile corespunzatoare si ioni cian. Asemenea scindari au fost observate la reducerea unor nitrili aromatici in mediu neutru, alcalin si aprotic prin intermediari radicali anioni.
(VII.25)
Volke si Kardos au observat ca la reducerea cianopiridinelor, un rol important il are orientarea substratului la suprafata electrodului. In cazul 4-cianopiridinei in mediu neutru, la -0,9 V vs SCE grupa cian se transforma in amino (80%), iar la -1,4 V principalul produs (90%) este piridina.
(VII.26)
La potentialul de -0,9V, grupa CN este orientata spre suprafata electrodului si se formeaza predominant amina, in timp ce la potentiale mai negative, datorita repulsiei electrostatice, molecula este orientata perpendicular pe suprafata electrodului, cu grupa CN spre interiorul solutiei.
Este cunoscut faptul ca oxidarea electrochimica a sarurilor acizilor carboxilici conduce la produsi dimerici:
(VII.27)
Randamente mari in dimer, RR (50-90%) se obtin
atunci cand acidul carboxilic este partial neutralizat si apoi oxidat
la supratensiuni anodice mici pe electrozi de platina in metanol sau DMF.
In aceste conditii, anionul carboxilat sufera o oxidare
monoelectronica la radical aciloxi care pierde dioxi 747g67h d de carbon cu
formarea radicalului
, dimerizabil.
![]()
Eberson a considerat ca transferul electronului de la ionul carboxilat poate fi concertat cu scindarea legaturii C-C.
(VII.30)
In acest caz procesul are loc intr-o singura etapa, fara formarea radicalului aciloxi.
Dimerii Kolbe se obtin cu randamente mari cand intermediarul radicalic este fie primar fie substituit cu grupe atragatoare de electroni;
sau
sau
(X = CO2R`,
CONR3 etc.)
Cand pozitia α a acidului contine substituenti capabili sa stabilizeze ionul carboniu intermediar (R = alchil, alcoxi, halogen, aril etc.) dimerii Kolbe se obtin cu randamente mici (0-10%). In asemenea cazuri radicalul format initial este oxidat la ion carboniu:
produsi (VII.31)
O extensie a reactiei Kolbe a fost raportata de Wurty. La oxidarea unui amestec de doi acizi carboxilici diferiti rezulta un amestec de trei produsi dimerici posibili:
(VII.32)
Formarea legaturilor C-C reprezinta baza sintezelor electrochimice organice. Exista doua tipuri de reactii cu formarea anodica a legaturii C-C: cianurarea si cuplarea nucleu-nucleu. Prin cianurarea compusilor aromatici se obtin nitrili in timp ce prin cuplarea electrooxidativa a nucleelor aromatice se obtin dimeri de tipul bifenilului.
1 Cianurarea anodica
Reactia de cianurare anodica are loc in solventi polari nucleofili ca metanol sau acetonitril care contin ioni cian. In anumite cazuri se adauga clorura de metil ca agent de emulsionare. In metanol, domeniul de potentiale accesibile (1,6 V vs SCE) este mult mai pozitiv decat in acetonitril, care este limitat de oxidarea ionului cian.
Metoda oxidativa, in conditii potentiostatice, este cea mai folosita pentru introducerea directa a grupelor cian an compusi cu azot, eteri fenolici sau sisteme cu electroni conjugati. Pot avea loc trei tipuri de reactii distincte: 1) inlocuirea hidrogenului aromatic sau a unor grupe metoxi de catre grupe cian, 2) aditia grupelor cian si 3) introducerea unei grupe cian in pozitia a unei grupe amino tertiare. In aceste premise, folosirea metanolului ca solvent este favorabila inlocuirii hidrogenului aromatic, in timp ce cianurile in acetonitril se folosesc la inlocuirea unei grupe metoxi. Atunci cand produsii primari au potentiale de oxidare relativ mari, pot participa la dicianurari. Reactia decurge prin intermediari radical cationi.
Potentialul de oxidare al ionului cian este mult mai mic fata de cel al compusilor organici. Astfel, in solutiile de electroliti se comporta ca agent reducator fata de radical cationii organici. Papouchado si colab. au explicat reactiile de transfer electronic ale unor molecule organice neutre in prezenta ionului cian prin ecuatiile:
(VII.33)
(VII.34)
alte reactii (VII.35)
unde
este un radical cation
foarte stabil. Deoarece oxidarea electrochimica
a ionului cian pe electrozi de platina implica supratensiuni mari,
sunt oxidate numai moleculele organice neutre. In aceste conditii, radical
cationii generati anodic sunt capabili sa oxideze chimic ionul cian.
Se considera ca produsii de aditie,
pot rezulta printr-o
interactie directa a radical cationului cu ionul cian sau printr-o
cuplare ulterioara a complecsilor participanti la transferul de
electroni (figura 7.10).
![]()
![]()
produsi
Fig. 7.10 Mecanismul cianurarii electrochimice a
hidrocarburilor aromatice.
1.a Compusi heterociclici aromatici
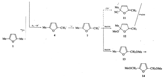
Yoshida si coautorii au sintetizat nitrili din 2,5-dimetilfuran folosind sisteme metanol-cianura de sodium (figura 7.11). Reactia a fost realizata atat in conditii potentiostatice cat si galvanostatice intr-o celula H. Substratul participa la o aditie 1,4 mixta a unei grupe cian si a unei grupe metoxi cu formarea unui amestec (2:1) de cis si trans-2,5-dihidro-5-metoxi-2,5-dimetil-2-furonitril (9) in proportie de 60% alaturi de mici cantitati de 2,5-dimetil-3-furonitril si produsi de metoxilare la nucleu si catena laterala (10, 13 si 14). Mecanismul implica cedarea initiala a unui electron de catre substrat:

Fig. 7.11 Mecanismul cianurarii electrochimice a 2,5-dimetilfuran folosind sistemul metanol-cianura de sodiu.
Conform acestui mecanism, radical cationul 2,5-dimetilfuranului (1) si cationii (5) si (6) reactioneaza competitiv cu ionul CN- si metanolul (sau MeO-).
Partial, (1) se deprotoneaza la intermediarul benzilic analog (4), care participa la oxidare cu formarea unui cation, (7) urmat de atacul nucleofil al ionului cian formand 2,5-dihidro-2-metil-5-metilen-2-furonitril (11).
O aditie anodica 1,4 mixta similara are loc si in cazul 2,5-dimetiltiofenului in aceleasi conditii (VII.36). La 1,52 V vs SCE se formeaza un amestec izomeric (2,3:1) de cis si trans-2-ciano-2,5-dihidro-5-metoxi-2,5-dimetiltiofen si cantitati mici de 3-ciano-2,5-dimetiltiofen si 2-metoximetil-5-metiltiofen.
![]()
(VII.36)
In cazul 1-metilpirolului se obtin exclusiv produsi de substitutie, preferential in pozitia 2 (sau 5). Atunci cand substituentul se leaga in pozitia 2 pot avea loc substitutii ulteriore in pozitia 5 a nucleului pirolic (VII.37).
![]()
![]()
(VII.37)
1-Metilpirolul este transformat la 1-metilpirol-2-carbonitril care se poate oxida la 1-metilpirol-2,5-dicarbonitril.
1.b Eteri fenolici
Folosind ca electrolit sistemul acetonitril-cianura de tetraetilamoniu, ionul cian incepe sa se oxideze la aproximativ 0,5 V vs Ag/Ag+ (VII.38). In aceste conditii, dimetoxibenzenii participa la doua reactii de cianurare aromatica: 1) inlocuirea unei grupe metoxi cu o grupa cian si 2) substitutia hidrogenului aromatic.
![]()
(VII.38)
Folosind ca solvent metanolul, 1,4-dimetoxibenzenul aditioneaza o grupa cian si o grupa metoxi in competitie cu eliminarea unui metoxil.
![]()
(VII.39)
1.c Amine aromatice si alifatice
Un exemplu il constituie electrooxidarea difenilaminei si a derivatilor monosubstituiti in MeOH-NaCN la potentiale anodice cuprinse intre 0,3 si 0,6 V vs SCE, cand se obtin produsi de cianurare la nucleu (VII.40).
![]()
(VII.40)
![]()
![]()
Deoarece potentialele aplicate sunt prea mici pentru a oxida ionul cian, mecanismul (figura 7.12) implica oxidarea initiala a aminei cu formarea unui radical cation;

Fig. 7.12 Mecanismul de electrooxidare a difenilaminei in MeOH-NaCN.
Etapele ulteriore presupun aditia ionului cian, transferul celui de-al doilea electron si pierderea unui proton.
Oxidarea electrochimica a alchilaminelor in acetonitril-cianura de tetraetlamoniu conduce la introducerea unei grupe CN in pozitia a radicalului alchil;
(VII.41)
Cianurarea aminelor alifatice tertiare sau heterociclice saturate in metanol apos se realizeaza in pozitia a catenei alifatice. De exemplu, trietilamina conduce la -(N,N-dietilamino)propionitril cu un randament de 36%.
Se pot obtine, in conditii asemanatoare, cianuri ale compusilor metilaromatici, acetilene, diaril acetilene sau amestecuri de compusi aromatici.
2 Cuplarea intermoleculara
Anilina si derivatii sai prin dimerizare oxidativa formeaza benzidine atat in medii apoase cat si neapoase. Daca atomul de azot aminic nu este protejat cu doi radicali alchil, reactia de cuplare decurge prin dimerizare la atomul de azot. Fenolii se comporta asemanator cu formarea de legaturi C-C sau C-O. hidrocarburile aroamtice metilate conduc la difenili sau difenilmetani. Olefinele participa la oxidimerizari sau dehridrodimerizari.
2.a Cuplarea nucleu - nucleu
Electrooxidarea N,N-dimetilanilinei (in medii apoase sau neapoase) conduce la formarea N,N,N`,N`-tetrametilbenzidinei. Produsii obtinuti in acetonitril depind de concentratia substratului.

(VII.42)
La concentratii mici (10-3 M) se obtin predominant produsii de cuplare para-para, in timp ce la concentratii mare se obtine 4,4`-metilenbis (N,N-dimetilanilina) si produsii sai de oxidare.
2.b Cuplarea fenolica
Cuplarea oxidativa a fenolilor duce la formarea unor legaturi aromatice C-C si C-O.
Pornind de la difenil eter, anisol sau derivati ai anisolului cu pozitii para-metoxi libere se obtin produsi diarilici cu randamente cuprinse intre 90 si 100%.
(VII.43)

Prin oxidarea
anisolului intr-un solvent mixt acid trifluoracetic – diclormetan (1:2)
continand tetrafluoroborat se obtine 4,4`-dimetoxibifenil cu
randamente foarte mari.
Pe baza experimentelor voltametrice si prin analogie cu alte sisteme oxidante, sunt posibile 5 mecanisme diferite pentru formarea produsilor dimerici;
(VII.44)
1 2 3
- dimerizarea radical cationului, 1,
- atacul nucleofil al substratului la radical cation,
- dimerizarea radicalilor fenoxi, 2,
- cuplarea intre 1 si 2,
- atacul nucleofil al substratului la ionul fenoxoniu, 3.
2.c Dimerizarea hidrocarburilor aromatice
Cuplarea electrooxidativa a hidrocarburilor aromatice este favorizata de medii cu nucleofilicitate scazuta ca diclormetan (1,8 V vs SCE) sau nitrometan (3 V vs SCE). Compusii diarilici sunt formati fie prin cuplarea radical cationilor fie prin atacul nucleofil al moleculei neutre asupra radical actionilor.
(VII.45)

![]()

Folosirea acizilor tari ca acidul trifluoracetic in diclormetan impiedica formarea produsilor clorurati.
Electrooxidarea benzenului in acetonitril – tetrabutilamoniu – hexafluorofosfat pe electrozi de platina conduce la un amestec de compusi polifenilenici. Oxidarea anodica a naftalinei in prezenta acidului acetic in diclormetan sau acetonitril duce la 1,1`-binaftil cu un randament de 30%.
2 Scindarea si formarea legaturii C – X
Dehalogenarea electrochimica a fost pentru prima data raportata in 1949 de von Stackelberg si Stracke.
Halogenurile de alil si benzil sunt mult mai usor de redus decat halogenurile saturate corespunzatoare; de exemplu, bromura de alil are un potential de semiunda E1/2 = -1,29 V vs SCE in dioxan 75% continand bromura de tetraetilamoniu, in timp ce bromura de butil, in aceleasi conditii, are potentialul de semiunda E1/2 = -2,27 V. halogenurile de vinil sunt mult mai greu de redus decat halogenurile saturate (bromura de vinil E1/2 = -2,47 V, bromura de etil E1/2 = -2,09 V).
Legaturile duble in halogenurile nesaturate nu se reduc electrochimic.
Usurinta scindarii legaturii C-X scade in ordinea: C-I > C-Br > C-Cl > C-F. Cu exceptia situatiilor in care R = benzil sau alil, clorurile si fluorurile de alchil nu sunt reductibile electrochimic.
Derivatii polihalogenati geminali si vicinali se reduc mai usor decat cei monohalogenati. De exemplu, s-a observat scaderea usurintei de reducere in ordinea:
CCl4 > CHCl3 > CH2Cl2 > CH3Cl
BrCH2CH2Br > CH3CHBr2 > CH3CH2Br
Legatura C-X este scindata cu atat mai greu cu cat lungimea catenei alifatice creste;
metil-Br > n-butil-Br > n-octil-Br
von Stackelberg si Stracke au izolat naftalina si etan la electroliza in conditii potentiostatice a 1-bromnaftalinei si respectiv bromurii de etil conform mecanismului:
![]()
La electroliza derivatilor halogenati in solventi aprotici continand saruri cuaternare de amoniu ca electrolit suport, carbanionul a fost pus in evidenta atat coulometric, prin captare cu dioxid de carbon, cat si prin izolarea produsilor de eliminare Hofmann.
(VII.48)
Cantitati mai mari de alchene se obtin in cazul unor concentratii mari ale derivatului halogenat, cand sunt posibile eliminarea Hofmann si disproportionarea radicalului.
In cazul derivatilor polihalogenati geminali substitutia unui atom de halogen faciliteaza substitutia celui de-al doilea atom de halogen la acelasi atom de carbon. De exemplu, la reducerea tetraclorurii de carbon in acetonitril anhidru s-au obtinut doua unde polarografice (-0,25 V si -0,64 V) bielectronice cu diclorocarbene ca intermediari:

Atunci cand reducerea se face in prezenta tetrametiletenei se obtin cantitati mici de 1,1-diclorciclopropan.
Halofunctionalizarea moleculelor organice implica atacul electrofil al agentilor de halogenare generati electrochimic. Potentialele mari de descarcare a ionilor fluorura (Tabelul 7.1) permit o alta cale de introducere a atomilor de fluor in moleculele organice si anume atacul nucleofil al ionilor fluorura asupra speciilor cationice generate anodic (radical cationi si ioni carbeniu). Exista doua reactii competitive intre radical cationi si ionii halogenura: reducerea si aditia la radical cation.
Tabelul 7.1
|
Agent nucleofil |
E1/2 vs Ag/Ag+ |
E1/2 vs SCE |
E1/2 vs NHE |
|
F- | |||
|
Cl- | |||
|
Br- | |||
|
I- |
Fluorurarea
Oxidarea anodica a compusilor organici in prezenta fluorurilor solubile in acetonitril conduce la compusi fluorurati. Fluorurarea benzenului se realizeaza foarte usor in Et4NF.3HF-AC cand se obtine fluorbenzen (36%) si p-difluorbenzen (5%). Pornind de la fluorbenzen, in aceleasi conditii, se obtine p-difluorbenzen cu un randament de 21%.
(VII.52)
Fluorurarea anodica a halobenzenilor (clorbenzen si brombenzen) la potentiale de 2,4 – 2,8 V vs SCE conduce la derivati orto si para fluorurati. Inlocuirea atomilor de clor si brom are loc doar intr-o mica masura. Solventul si ionii fluorura nu sunt oxidati la potentiale mai mici de aproximativ 2,9 V.
In conditii potentiostatice p-di-t-butilbenzen (solvent; MeCN- Et4NF.3HF) conduce la p-fluoro-t-butilbenzen cu un randament de 63% prin inlocuirea unei grupe t-butil cu fluor.
(VII.53)
![]()
![]()
Cationul t-butil eliminat reactioneaza cu solventul si formeaza N-t-butilacetamida (reactie electrochimica Ritter). Inlocuirea oxidativa a grupei t-butil din p-fluoro-t-butilbenzen cu fluor are loc numai intr-o mica masura (5%), produsul principal este N-(1-t-butil-4,4-difluorociclohexen-2,5-dienil)acetamida.

(VII.54)
Fluorurarea naftalinei are loc la 1,8 V vs SCE si conduce la 1-fluoronaftalina si 1,4-difluoronaftalina cu randamente de 27 si respectiv 3%.
(VII.55)

Hexametilbenzenul, p-xilenul si toluenul conduc la produsi de fluorurare si acetamidare la catena laterala in rapoarte de 88:12, 24:76 si respectiv 0:100.
Trifenilmetanul participa la substitutia la catena laterala si formeaza fluorotrifenilmetan cu randamente cuprinse intre 60 si 80%.
(VII.56)
Prin oxidarea alchenelor in electroliti fluorurati se obtin alchil si alil fluoruri;
![]()
(VII.57)
In MeCN- Et4NF.3HF, derivatii stirenului formeaza un amestec de difluorobenzeni si acetamidofluoruri. De exemplu, 1,1-difeniletena formeaza difluorura vicinala (23%), 1,1-difeniletan (14%) si 2-acetamido-1-fluoro-1,1-difeniletan (4%). Ciclohexena conduce la produsi fluorurati in pozitia alil. Mobilitatea mare a atomilor de fluor alilici in medii acide permite formarea acetamidelor in timpul oxidarii alchenelor.
Bromurile alifatice cu catena laterala scurta, in HFanh.-NaF, participa la substitutia selectiva a bromului cu fluor.
![]()
Reactia de substitutie are loc prin atacul
nucleofil al ionilor fluorura asupra radical cationilor
electrogenerati
sau ionilor carbeniu
.
Bromura de metil
formeaza fluorura de metil cu randament de 100%. Bromurile normal
alcanilor care contin mai mult de doi atomi de carbon in molecula
conduc la un maestec de derivati monofluorurati, bromofluoro si
dibromurati. Procentul in alcani
monofluorurati scade odata cu cresterea catenei de atomi de
carbon. Bromura de etil formeaza fluorura de etil (60%),
1-brom-2-fluoretan (40%) si urme de 1,2-dibrometan.
(VII.60)
Bromura de n-propil formeaza fluorura de sec-propil (20%), 1,1-difluorpropan (30%), 1-brom-2-fluorpropan (40%) si alti propani di- sau tri-halogenati (10%) ca 1,2-dibrompropan si 1,3-dibrompropan. Formarea dibromurilor are loc prin atacul bromului la atomul de carbon.
![]()
Electrosinteza cantitativa a 1,1-difluoropropanului din 1,3-dibrompropan este explicata printr-un mecanism in doua trepte.
![]()

Clorurarea si bromurarea
Natura produsilor de oxidare a ciclohexenei (E1/2 = 2,05 V vs Ag/Ag+) in acetonitril continand ioni clorura (E1/2 = 0,75 V vs Ag/Ag+) depinde antr-o masura foarte mare de supratensiunile anodice.
(VII.66)
La potentiale mai mici de 1,2 V principalul produs ( > 80%) este N-(2-clorciclohexil) acetamida, in timp ce la potentiale mai mari de 1,2 V se obtine produsul de clorurare alilica 3-clorciclohexena.
Bromurarea anodica a antracenului in MeCN-Et4NBr are loc la potentialer de aproximativ 1,2 V cand ionii bromura se descarca simultan cu oxidarea antracenului. Produsul de bromurare este 9-bromoantracenul. La potentiale anodice de 1,6 V se formeaza 9-bromoantracen (26%) si 9,10-dibromoantracen (19%). In conditii asemanatoare, naftalina formeaza la 1,35 V 1-bromonaftalina cu un randament de 70%.
(VII.67)

La potentiale anodice ridicate (2,0 V) se formeaza 1,4-dibromonaftalina (
3 Scindarea si formarea legaturii C – O
Scindarea electrochimica reductiva a legaturii C-O este pH dependenta si are loc cu o eficienta mult mai mare in medii acide cand atomul de oxigen este protonat iar speciile eliminate sunt neutre. Legaturile C-O din pozitiile grupelor activatoare carbonil, nitro sau cian sunt usor scindate electrochimic spre deosebire de legurile benzilice, fenilice si alchilice care nu sunt reductibile.
In cazul derivatilor fenacilici, C6H5COCH2OR (R = acetil, benzoil, fenil sau hidrogen; respectiv E1/2 = -0,75, -0,75, -0,83 si -0,85 la pH = 1) usurinta scindarii legaturii C-O este corelata cu reactivitatea grupei OR.
C6H5CCH2OR → C6H5CCH3 ║ ║ O O
Pe de alta parte, -cetolii si acetatii -cetolici alifatici nu pot fi redusi selectiv la cetonele corespunzatoare deoarece potentialele de reducere a grupei carbonil si a substratului din pozitia sunt foarte apropiate;
OR2
│
RCCHR1 → RCHCH2R1
║ │
O OH
(R2 = H sau Ac)
Avand in vedere domeniile de potentiale ale compusilor organici, formarea legaturii C-O impune electrooxidari ale acestora in solventi hidroxilici ca acid acetic, metanol, apa si acid trifluoracetic.
Acilarea anodica
Acetoxilarea anodica se realizeaza atat in acid acetic cat si in acid acetic – cosolvent in prezenta sau absenta ionilor acetat. Din acest punct de vedere exista anumite deficiente; acidul acetic este un electrolit slab (D = 6) si este necesara o celula electrochimica necompartimentata, iar acetatii metalelor alcaline, cu exceptia acetatului de potasiu au constante de disociere mici in acid acetic (de ordinul 10-7 M).
Mecanismul de acetoxilare a toluenului la nucleu si catena laterala este prezentat in schema urmatoare:

Fig. 7.13 Mecanismul de acetoxilare
a toluenului la nucleu si catena laterala.
Radical cationul, 1 generat anodic, este atacat de ionii acetat (daca 1 este reactiv, atacul este realizat de acidul acetic, un nucleofil mai slab) cu formarea radicalului 2 urmat de oxidarea anodica si eliminarea unui proton cand se obtine produsul de substitutie aromatica. Alternativ, 1 se deprotoneaza la radicalul benzil, 3 care se oxideaza la cationul 4 atacat nucleofil de acidul acetic (sau ionii acetat) cand se obtine produsul de substitutie la catena laterala.
Benzoilarea anodica a naftalinei in acetonitril – benzoat de sodiu conduce la benzoat de 1-naftil si benzoat de 4-hidroxi-1,1`-dinaftil. Anisolul da un amestec (2:1) de o- si p-metoxifenil esteri ( = 50%) in acetonitril continand acid benzoic, acid anisic si acid toluic intr-o celula necompartimentata.
Acilarea anisolului, naftalinei si a a unor metilbenzeni a fost studiata in emulsie continand un agent de transfer interfazic (sistemul contine: substrat, diclormetan, acizi alifatici si/sau sarurile de sodiu corespunzatoare de tetrabutilamoniu). Anisolul conduce la produsii acetoxilati o:m:p = 52:1:47. 1,4-Dimetoxibenzenul in acid acetic glacial – acetat de sodiu formeaza un singur produs (2,5-dimetoxifenil acetat) cu un randament de 68%.
Electrooxidarea antracenului la potentiale de 1V vs SCE in electrolit acetonitril:acid acetic = 3:1 continand LiClO4 0,1 M ca electrolit suport, intr-o celula H, duce la un amestec 7:3 de dimeri si trimeri. Ambii produsi se obtin si in acid acetic, in absenta acetonitrilului, avand ca intermediar 9-acetoxiantracenul. Potentialul de oxidare al antracenului in acest sistem este de 1,24 V, iar pentru 9-acetoxiantracen de 1,18 V. La potentiale anodice suficient de mari pentru a oxida antracenul, 9-acetoxiantracenul format intermediar va participa la oxidari ulterioare.
(VII.68)

Oxidarea anodica a antracenului, in acelasi solvent, dar in prezenta acetatului de sodiu conduce la un amestec (1:3) de cis- si trans-9,10-diacetoxi-9,10-dihidroantracen, cu un randament de 80%.
(VII.69)
Prin electrooxidarea 9-acetoxiantracenului in prezenta ionilor acetat se formeaza 10-acetoxiantrona.
(VII.70)

In conditii identice, 9-fenil antracenul se oxideaza la 9-acetoxi-9-fenilantrona, cu un randament de 79%.
(VII.71)
Aceasta reactie presupune formarea 9-acetoxi-9-fenil antracenului ca posibil intermediar.

Un mecanism
neobisnuit de acetoxilare este cel al 2- si 4-fluoroanisolului in
acetat de potasiu 0,5 M – acid acetic, cand se obtin 2- si
4-acetoxianisoli si nu acetoxifluoroanisoli.
Fig. 7.14 Mecanismul de acetoxilare al 2- si 4-fluoroanisolului in acetat de potasiu 0,5 M – acid acetic.
Oxidarea anodica a ciclohexenei pe anozi de carbon in acid acetic care contine tosilat de tatraetilamoniu, ca electrolit suport, conduce la 3-acetoxi ciclohexena (55%), diacetoxi metil ciclopentan (2%) si trans-1,2-diacetoxi ciclopentan (1%).

Fig. 7.15 Mecanismul de
electrooxidare anodica a ciclohexenei pe anozi de carbon in acid acetic.
Aditia 1,4 a grupelor metoxi este observata la electrooxidarea 1,4-dimetoxibenzenului.

(VII.72)
Reactia are loc intr-o celula electrochimica necompartimentata, pe anozi de platina la curent constant, iar ca electrolit se foloseste sistemul MeOH – KOH 1%.
In conditii identice, 1,3-dimetoxibenzenul conduce la 2,3,3,6,6-pentametoxi-1,4-ciclohexadienaa (

1,2-Dimetoxibenzenul formeaza un amestec de 4 produsi: 1,2,4-trimetoxibenzen, 1,4-benzochinona biscetal (15%), 1,2-benzochinona biscetal (15%) si 10% dintr-un produs cu desfacere de ciclu (hexametil cis, cis-ortomuconat).
La temperaturi mici (0 - 20s C), 1-metoxinaftalina si 1,5- 1,6- si 1,7- dimetoxinaftalina participa la un proces de oxidare bielectronic cu aditia unei grupe metoxi in pozitiile 1,4.
(VII.74)
Metanolul si etanolul, prin electroliza la 1,20 V vs Ag/Ag+, dau 1,1-dimetoximetan si 1,1-dietoxietan cu randamente de 60 si respectiv 90%. Formarea acetalilor se poate explica prin urmatorul mecanism:

(VII.75)
Hemiacetalii formati initial sunt transformati la cetali de acizii electrogenerati. Oxidarea anodica a alcoolilor alifatici superiori decurge cu ruperi ale legaturilor C-C.
Un alt exemplu de proces electrochimic cu formarea de legaturi C-O il constituie metoxilarea alchenelor. De exemplu, trans-stilbenul formeaza meso-hidrobenzoin dimetil eter si izomerii DL, cu randamente de 20 si respectiv 44%.
(VII.76)
(VII.77)

1,3-Ciclohexadiena in solutie metanolica de metoxid de sodiu
formeaza un amestec de 3,4 si 3,6-dimetoxiciclohexena.
3-Metil-1,2-butadiena, in conditii potentiostatice, in MeOH – LiClO4 pe anozi de grafit se oxideaza la legatura ; formeaza cu un randament de 47% un amestec 4:1 de `-dimetoxiizopropil metil cetona si metoxi izobutirat de metil.
Fig. 7.16 Mecanismul de electrooxidare a 3-metil-1,2-butadienei in
MeOH – LiClO4 pe anozi de grafit.
O alta modalitate de formare a legaturii C-O este hidroxilarea anodica. Astfel, daca hidroxilarea anodica a unui substrat organic cu un potential de oxidare mare se face in prezenta apei, ca sursa de ioni hidroxi, la suprafata electrodului apa este consumata la un potential suficient de mare pentru a oxida si substratul organic. Benzenul fin dispersat in acid sulfuric apos formeaza p-benzochinona prin intermediari hidroxilati.
Naftalinele substituite in pozitia 1 (1-bromonaftalina, 1-fenil naftalina, 1,4-difenil naftalina) in H2SO4 1M : DMF = 1:1, formeaza naftochinone odata cu rearanjarea substituentilor din pozitia 1 in pozitia 2. antracenul formeaza antrachinona cu un randament foarte mic, iar ca intermediar s-a propus 9-antranolul.
Hidrocarburile aromatice superioare se pot hidroxila si la catena laterala. De exemplu, electrooxidarea cumenului in acetonitril – LiClO4 conduce la 2-fenil-2-propanol.
Adams si coautorii au studiat prin voltametrie si coulometrie hidroxilarea compusilor fenolici in acid percloric 2M. Fenolul formeaza p-benzochinona ( = 20%) impreuna cu 4,4`-difenilchinona ( = 10%) si polimeri neidentificati.

(VII.78)
4 Scindarea si formarea legaturii C – N
Scindarea electrochimica a legaturii simple C-N se poate realiza doar in cazul in care atomul de azot are sarcina pozitiva (saruri de amoniu). Un exemplu il constituie reducerea pH dependenta a -amino acetofenonelor la acetofenona care devine mult mai usor de realizat in medii cu aciditate crescatoare.
(VII.79)
Atunci cand legatura C-N este activata de grupe alil, benzil, -carbonil sau altele, scindarea electrochimica se poate realiza pe catozi de platina, plumb, aluminiu sau mercur, atat in medii protice cat si aprotice. Mecanismul scindarii legaturii C-N implica doua posibilitati:
reducerea electrochimica in care ruperea legaturii se realizeaza simultan cu transferul electronic in starea de tranzitie.
Intermediarul radicalic, ca si in cazul halogenurilor de alchil, se poate reduce la carbanion, dimeriza sau poate accepta hidrogen de la solvent.
reducerea electrochimica avand ca intermediari amalgame ale sarurilor cuaternare de amoniu.
Deoarece plumbul si mercurul au supratensiuni mari de descarcare a hidrogenului, ele sunt cele mai folosite in acest caz. Totusi, anumite reduceri imposibil de realizat pe catozi de plumb, au loc foarte usor pe catozi de mercur:
![]()
Acest comportament arata implicarea catodului insusi in mecanismul de reactie. Natura acestei implicari consta in formarea unor amalgame ale sarurilor cuaternare de amoniu:
n ≈
12-13 (VII.84)
Spre deosebire de amalgamele metalelor alcaline, aceste amalgame ale sarurilor cuaternare de amoniu, in stare pura, sunt instabile chiar si la temperaturi mici;
(VII.85)
In solutie apoasa, electroliza sarurilor de tetraalchilamoniu decurge cu depolarizarea hidrogenului, formarea ca intermediar a unui astfel de amalgam prezent sub forma unei suspensii coloidale cenusii (amalgam si mercur), urmata de reactia amalgamului cu apa cu formarea de hidrogen si ioni hidroxil.
Asemanator are loc si scindarea legaturii C-N din sarurile cuaternare de ariltrialchilamoniu:
![]()
(VII.86)
Scindarea sarurilor cuaternare activate la aminele si hidrocarburile corespunzatoare are loc cu randamente mari in solventi protici. α-Aminocetonele dau o reducere simultana a legaturii C-N si a grupei carbonil. Ordinea usurintei in reducere este: alil ≈ benzil ≈ α-carbonil » aril » alchil.
Pe baza acestei succesiuni de reducere, Horner a elaborat o metoda de sinteza a aminelor tertiare mixte si a sarurilor cuaternare de amoniu.
(VII.87)
Formarea legaturilor C-N implica oxidarea anodica a moleculelor organice in prezenta unor electrofili ale caror centre sunt reprezentate de atomul de azot. Speciile pozitive generate anodic intermediar (radical cationi si ioni carbeniu) reacsioneaza cu solventii nucleofili si formeaza ioni nitriliu. In medii apoase, acestia duc la amide N-substituite. Deoarece domeniile de potentiale accesibile sunt mari, in acesti solventi se pot folosi substraturi cu potentiale de oxidare mari ca hidrocarburilr alifatice, cetone si asteri.
In medii puternic acide, solventii nitrilici pot suporta atacuri electrofile ale ionilor carbeniu electrogenerati cu formarea de amide N-substituite. Acest mecanism este numit reactie Ritter. Reactia Ritter este aplicabila pentru o serie de compusi organici capabili sa formeze intermediar ioni carbeniu, ca: alchilbenzeni, derivati halogenati alifatici, hidrocarburi saturate, cetone alifatice si alchene. Radical cationii formati intermediar pot pierde un proton si oxida ulterior, sau pot da procese de scindare a legaturii C-C; in oricare din cazuri ionii carbeniu formati reactioneaza cu solventul direct sau indirect, dupa un rearanjament structural.
Ca solvent se foloseste frecvent acetonitrilul datorita domeniului de potentiale utile foarte larg. In cazul percloratului, ca electrolit suport, limita anodica este mai mare de 2,4 V vs Ag/Ag+. Cu acest electrolit, limita procesului anodic este data de oxidarea anionului electrolitului si nu de oxidarea solventului.
Prin electrooxidarea toluenului, xilenilor si hexametilbenzenului in acetonitril apos continand NaClO4 se obtin acetamide benzilice si alcoolii corespunzatori. Mecanismul propus este urmatorul:

Cation radicalul generat anodic se deprotoneaza la radicalul benzil care se oxideaza printr-un transfer de electron heterogen si/sau omogen la cation benzil (radicalul benzil este mai usor oxidabil ca substratul initial, toluenul). Prin atacul nucleofil al acetonitrilului se formeaza ionul nitriliu care se stabilizeaza in prezenta apei la acetamida.
Miller si Hoffmann au observat pentru prima data formarea amidelor din ioduri alifatice printr-o reactie Ritter in acetonitril – LiClO4 0,5 M pe electrozi de platina. De exemplu, iodura de metil si iodura de neopentil conduc la N-metil acetamida ( = 75%), N-(t-pentil) acetamida ( = 16 - 21%) si iod. Mecanismul general acceptat este urmatorul:
![]()

(VII.94)
Oxidarea anodica a iodurilor de n-pentil, n-butil, izobutil, sec-butil, ciclohexil, cicloheptil si (iodometil) ciclohexan in acetonitril duca la acetamide N-substituite cu randamente cuprinse intre 54 si 97%. In timpul proceselor de electrod poate avea loc si rearanjarea catenei de atomi de carbon. De exemplu, din iodura de izobutil se obtine exclusiv N-(sec-butil) acetamida.
Bromoalcanii primari, secundari si tertiari se oxideaza potentiostatic in acetonitril pe electrozi de platina la un potential constant de 2,35 V versus Ag/Ag+, intr-o celula H. Are loc scindarea legaturii C-C cu formarea de acetamide; direct sau dupa o rearanjare a catenei de atomi de carbon.
(VII.95)
Bromurile de izopentil, sec-butil si t-butil conduc prin oxidare doar la acetamide, prin substitutie nucleofila directa; in timp ce alte bromuri primare si secundare conduc la amestecuri de acetamide. Lungimea catenei de atomi de carbon [Me(CH2)nBr (n = 1-7)] influenteaza atat eficienta de current cat si obtinerea de produsi prin rearanjare structurala. Eficienta de curent scade cu cresterea catenei.
Bromurile de ciclopentil, ciclohexil si cicloheptil formeaza N-cicloalchil acetamide si cicloalchene. Obtinerea alchenelor este datorata pierderii unui proton de catre ionul carbeniu. Bromura de ciclobutil formeaza doar N-ciclobutil acetamida, in timp ce bromura de ciclopropil participa la ruperea ciclului si formeaza N-alchil acetamida.
Folosirea de tetrafluoroborat sau hexafluorofosfat ca electrolit suport in acetonitril ca solvent are loc extinderea domeniului de potentiale accesibile. Aceasta extindere a limitei anodice permite studiul hidrocarburilor alifatice.
Electrooxidarea n-pantanului si n-octanului in acetonitril continand tetrabutilamoniu tetrafluoroborat 0,1 M formeaza intr-o etapa initiala ioni carbeniu secundari care reactioneaza rapid cu solventul (fara un rearanjament la un cation tertiar) si formeaza un amestec izomeric de N-(sec-alchil) acetamide cu randamente cuprinse intre 35 si 40%.
(VII.96)
In mediu de acetonitril, alcanii ramificati participa la procese de electrod anodice cu scindarea legaturii carbon – carbon si formeaza fragmente acetamide. De exemplu, 2,3-dimetilbutanul la -45s Cintr-o celula electrochimica compartimentata conduce la izopropilacetamida, in timp ce t-butilciclohexanul formeaza un amestec de N-(t-butil) acetamida si N-ciclohexilacetamida cu randamente de 63 si respectiv 47%.
(VII.97)
(VII.98)
Compusii carbonilici care au in pozitia diferite grupe alchil, in timpul proceselor anodice, participa la scindarea acestor legaturi si formeaza acetamide, acizi carboxilici si chiar imide.
(VII.99)
In acetonitril anhidru, pe electrozi de platina, t-butil metil cetona, t-butil n-propil cetona, izopropil metil cetona si diizopropil cetona conduc la produsi cu scindarea legaturii , de tipul RNHAc si R`COOH.
(VII.100)
(VII.101)
(VII.102)
Formarea N-acetamidelor si acizilor carboxilici este usor interpretata prin intermediari cationici. Cetonele tertiare participa la scindari in timp ce pentru cetonele secundare substitutia intra in competitie cu fragmentarea iar pentru cetonele primare are loc exclusiv substitutia. Cetonele cu catena hidrocarbonata mare, ca diciclohexil cetona, nu participa la procese de fragmentare si formeaza doar cetoamide prin substitutie.
Cetonele care nu sunt substituite in pozitia se oxideaza la ~ 2,2 V vs. Ag/Ag+ in MeCN-LiClO4. In cazul cetonelor cu catena liniara, acetamidele se obtin prin substitutia hidrogenului din pozitiile . De exemplu, n-butil metil cetona formeaza 3-acetamido-n-butil metil cetona.
(VII.103)

n-Hexil metil cetona conduce la un amestec (1:4:3) de 3-, 4- si 5-acetamido-n-hexil metil cetone.
(VII.104)
Anumiti esteri alifatici monocarboxilici prin electrooxidare potentiostatica in MeCN-LiClO4 dau reactii de substitutie in penultima pozitie a catenei. De exemplu, butiratul de metil formeaza cu un randament de 70% produsul de substitutie
CH3CH2CH2COOCH3
│ NHAc (VII.105)
CH3CHCH2COOCH3
In cazul pivalatului de metil are loc migrarea competitiva a grupelor metil si metoxicarbonil in intermediarul carbeniu.
(VII.106)
(VII.107)
Acetamidarea poate avea loc si la nucleul aromatic. Cetonele aromatice, acidul benzoic si esterii etilici ai acidului benzoic formeaza acetamide prin substitutie in pozitiile orto si para (2,3-2,4 V vs. Ag/Ag+, acetonitril, celula H).
(VII.108)

Alchenele cu hidrogen alilic pot fi oxidate la acetamide in acetonitril-tetraetilamoniu tetrafluoroborat la 3,0 V vs. Ag/Ag+. ciclohexena in acetonitril-apa 1% formeaza N-(2-ciclohexen-1-il) acetamida. Similar, oxidarea unei solutii saturate de propena in acetonitril da N-alilacetamida si mici cantitati de alti produsi.
(VII.109)
In solutii apoase, anumite aniline para substituite cu grupe carboxil, clor, cian, etoxi, metoxi si nitro participa la cuplari cap-coada cu formarea de 4-aminodifenilamine, de exemplu:
(VII.110)

Substituentii din pozitiile para sunt eliminati ca anioni. Anilina formeaza 4-aminodifenilamina si benzidina prin cuplare cap-coada si respectiv coada-coada. Procesul este puternic influentat de pH. In acid sulfuric 6N, anilinele substituite in pozitiile orto si para prezinta un comportament asemanator. Raportul difenilamina/benzidina creste pe masura ce substituentii au efecte atragatoare de electroni mai puternice. 4-Aminodifenilaminele rezultate se oxideaza ulterior si formeaza p-benzochinona ca produs final.
Este posibila si nitrarea electrochimica a compusilor organici in solventi aprotici care contin ioni azotat sau dioxid de azot ca agenti de nitrare. Anisolul, 1,2-dimetoxibenzenul, 1,3-dimetoxibenzen, 1,4-dimetoxibenzen, 1,2,3-trimetoxibenzen, N,N-dimetilanilina, naftalina si antracenul in MeCN-AgNO3 conduc la nitroderivati monosubstituiti.
Deoarece
potentialul de oxidare al ionilor azotat este foarte mic, la
potentialul de lucru are loc atat oxidarea substratului cat si a
ionilor
. Anisolul formeaza o- si p-nitroanisol ( = 13%), 1,2-, 1,3-, si 1,4-Dimetoxibenzenii conduc la
4-nitro-1,2-dimetoxibenzen, 4-nitro-1,3-dimetoxibenzen,
2-nitro-1,4-dimetoxibenzen ( = 22, 7 si respectiv 51%).
(VII.111)
1,2,3-Trimetoxibenzenul formeaza 5-nitro-1,2,3-trimetoxibenzen ( = 29%). N,N-Dimetilanilina formeaza N,N-dimetil-p-nitroanilina ( = 24%) si similar, naftalina si antracenul formeaza 1-nitronaftalina ( = 8%) si respectiv 9-nitroantracen (
|