SISTEME FLUIDE NANOSTRUCTURATE
Sisteme ternare si cuaternare
Sisteme fluide nanostructurate cuaternare sau psudoternare = Sisteme apa-ulei-surfactant-cosurfactant
*** In general un singur surfactant nu reuseste sa asigure prin adsorbtie la interfata L/L o valoare a tensiunii interfaciale astfel incat sa se formeze microemulsie, motiv pentru care in general se utilizeaza 2 surfactanti, unul cu HLB mic si unul cu HLB mare.
Stabilitatea microemuls 434d37e iilor
Diferenta mare dintre emulsii si microemulsii apare datorita termenului ∆G3
Factorii care influenteaza valoarea tensiunii interfaciale L/L
prezenta unui al 2-lea surfactant in sistem (cosurfactant)
salinitatea (taria ionica a sistemului)
temperatura
natura uleiului
Influenta tariei ionice asupra tensiunii interfaciale este extrem de importanta in cazul utilizarii microemulsiei ca mediu de reactie, deoarece prezenta reactantilor in sistem poate modifica foarte puternic diagram de faza.
Solubilitatea surfactantului depinde de temperature. Odata cu modificarea temperaturii in cele mai multe cazuri se inverseaza tipul de microemulsie (ulei in apa devine apa in ulei).
Natura uleiului este factorul cu influenta cea mai mica
Prezenta unui al 2-lea surfactant "cosurfactant"
Pentru obtinerea unei scaderi semnificative de tensiune interfaciala se folosesc perechi surfactant-cosurfactant cu HLB-uri diferite.
Repartia la interfata a amestecului surfactant-cosurfactant

Orientarea
si impachetarea surfactantului si cosurfactantului in interfata lichid - lichid
vor dicta curba interfetei, respective daca interfata se va curba spre ulei sau
spre apa.
In cazul in care interfata se curbeaza spre ulei emulsia este de tipul ulei in apa
apa apa in ulei
Daca nu este o curbare definite atunci emulsia este bicontinua
Diagrame de faza pseudoternare
Tranzitii de faza W II-W IV-W I induse de modificarea compozitiei amestecului de surfactanti
microemulsie formulata cu raport molar apa ulei 1:1
Amestec de surfactanti APG-Span
Diagrama-prisma = diagrama de faza Gibbs
a =
fractia molara a uleiului = ulei *100/ulei+apa = fractia molara SF = SF*100/SF+ulei+apa+
COSF
e = fractia molara SF-COSF = SF*100/SF+COSF
Digrama Kahlweit (diagrama peste)
δ = fractie surfactant [SF] + [COSF] in amestec
ϕ = cantitatea totala [COSF] + [SF] in tot amestecul
[U] = ulei; [A] = apa; [COSF] = cosurfactant; [SF] = surfactant
Diagrama Kahlweit reprezinta zonele de existent ale diverselor faze intr-o reprezentare bidimensionala, fiind un raport molar al cosurfactantului in sistemul [SF] + [COSF] in functie de cantitatea totala de [SF] + [COSF] in microemulsie
Diagrama Kahlweit se realizeaza la un raport apa - ulei constant.
Pentru descrierea un unui sistem se pot realiza mai multe diagrame Kahlweit.
Influenta salinitatii
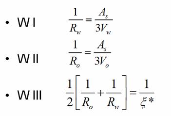
Tranzitia microemulsie WI-WIII-WII
Solubilizare
Pentru faza de microemulsie single phase 1 mol CaCl2 ~ 16-19 moli NaCl
pentru faza de microemulsie A/U
1 mol CaCl2 ~ 4 moli NaCl
Forta de repulsie intre picaturile stabilizate cu surfactant scade datorita scaderii sarcinii, neutralizata de contraioni
Predictia comportarii microemulsiei modelul curburii nete a interfetei
Jeff Harwell, Edgar Acosta, Erika Szekeres,
Utilitate:
-predictia solubilizarii maxime in microemulsie
- predictia valorii tensiunii interfaciale
- predictia tranzitiei de faza microemulsie WI-WIII (sau WIV)-WII
Diagrama de faze functie de curbura interfetei
TIPURI DE MODELE PENTRU PREDICTIA MICROEMULSIILOR
(1) Modelul energiei libere a filmului de surfactant (Kegel, Overbeek and Lekkerkerker; ACRS model by Adelman, Cates, Roux, Safran, 1986)
(2) Modelul molecular termodinamic (Ruckenstein si Nagarajan, 1982)
(3) Modelul statistic mecanic ( model combinat din modelele microscopic si interfacial Gompper, Shick, Widom, Ginzburg - Landau, 1940-1970)
(4) Modelele bazate pe retaua Monte (Care, 1987 ,Larson, 1985 and Mattice,1994)
Dezavantaje
(1) & (2) Ecuatii foarte complexe care fac dificila estimarea parametrilor
(3) & (4) Modele care simplifica excesiv sistemele reale
Modelul curburii nete
Punctul
critic = formularea optima
![]()
![]()
![]()
Legea scalarii critice
Ecuatia Kelvin
x = Efectul scalar functie de dimesiunea picaturii (Rd)
x =
Dm *s = Diferenta de potential chimic la punctul critic
n = Exponent de scalare
V = Volum molar
g = Tensiunea interfaciala A/U
Dm = Potentialul chimic de transfer din faza volumica in picatura
Abordarea statistica in modelul curburii nete =distributia statistica a coexistentei zonelor de apa si ulei in faza bicontinua
Curbura neta
Curbura medie
!!! Dimensiunea picaturii restrictionata de entropie
Conceptul de rigiditate interfaciala
Energia superficiala libera a picaturii U/A de microemulsie formata
Rigiditate interfaciala a filmului de surfactant la interfata L/L
Aplicatii ale modelului curburii
Variabile de care depinde sistemul: S*, *, L sau A

Tipurile de microemulsie formate
|