utilizarea polimerilor pentru condiŢionarea si/sau remedierea solurilor contamInate sau poluate
Rezumat Lucrarea trece īn revista principalele categorii de polimeri care pot fi utilizati pentru tratarea solurilor evidentiind posibilitatile de utilizare a polimerilor/polielectrolitilor ca masura complementara īn gestionarea unor situatii limita de agresiune a unor factori naturali sau antropici asupra solului, inclusiv prevenirea riscurilor majore si asigurarea unei dezvoltari economice si sociale durabile. Dupa definirea principalelor notiuni - polimeri, polielectroliti, conditionarea solurilor - sunt prezentate o serie de rezultate concrete privind efectul benefic al polimerilor, īn speta al polielectrolitilor pe baza de copolimeri ai acidului maleic, asupra unor īnsusiri fizice si chimice ale solului tratat. Rezultatele obtinute pāna īn prezent argumenteaza posibilitatea extinderii domeniilor de utilizare si a optimizarii structurilor chimice/sintezei īn directii ca: remedierea solurilor contaminate sau poluate, reducerea exceselor accidentale de alcalinitate sau aciditate foarte puternica, stabilizarea materialului necoeziv constituent al unor soluri sau depozite, reducerea duratei de manifestare a excesului de apa.
Introducere, notiuni, definitii
Polimerii sunt combinatii chimice
de tip catenar cu masa moleculara mare, ce respecta un principiu
comun de formare care consta īn repetarea, de-a lungul lantului
macromolecular, a unei grupari minime de atomi numita unitate structurala. Aceste
unitati sunt identice sau similare īn compozitie cu monomerii
din care polimerii au fost (sau ar fi putut fi) sintetizati. Numarul
de unitati structurale cuprinse īntr-un lant macromolecular
reprezinta gradul de polimerizare (
) al polimerului. Clasificarea
polimerilor se poate face dupa mai multe criterii, ca de ex.
provenienta, modul de aranjare a unitatilor structurale, tipul
reactiei de sinteza, comportarea la īncalzire. Un criteriu de
clasificare semnificativ pentru lucrarea de fata este solubilitatea īn
apa. Din acest punct de vedere polimerii se clasifica īn polimeri
insolubili īn apa si polimeri solubili īn apa; acestia din
urma pot fi neutri sau purtatori de grupe ionice
(polielectroliti).
Polielectrolitii (PE) sunt polimeri ale caror unitati monomere poseda grupe ionizate sau ionizabile. Īn solutie apoasa PE disociaza īn macroioni polivalenti (poliioni) si un numar mare de ioni mici de semn opus - contraioni - (Mandel M., 1988). Īn schema 1 este exemplificata disocierea unui polielectrolit slab acid - poli(acidul acrilic).

Schema 1. Disocierea unui polielectrolit - poli(acid acrilic)
Īn functie de natura grupelor ionizabile polielectrolitii se pot clasifica īn:
i) poliacizi sau polielectroliti anionici, care poseda ca grupa functionala gruparea carboxilica -COOH, gruparea sulfonica -SO3H sau gruparea fosfonica -PO3H;
ii) polibaze sau polielectroliti cationici, care au ca grupa functionala gruparea aminica -NH2, gruparea iminica >NH, gruparea cuaternara de amoniu -NR4+ s.a.;
iii) poliamfoliti sau polielectroliti amfoteri, care poseda pe lantul macromolecular atāt grupari acide (carboxilice, sulfonice, fosfonice etc.), cāt si grupari bazice (aminice, amoniu etc.).
Conditionarea solurilor consta īn ameliorarea īnsusirilor fizice prin utilizarea unor substante de proveniente variate, cunoscute īn literatura de specialitate sub denumirea de soil conditioners - agenti de conditionare a solului. Prin contaminarea solului se īntelege o crestere moderata a unor elemente/substante, nedaunatoare cresterii si dezvoltarii plantelor, dar care poate reprezenta faza incipienta a procesului de poluare. Poluarea solului este un stadiu avansat īn care cresterea continutului anumitor substante chimice devine daunatoare pentru soluri, ape, plante, animale, 444h73e fiinte umane, pentru mediul īnconjurator īn general. Separarea domeniului de īncarcare/contaminare de cel de poluare a solurilor se face prin indicele de īncarcare/poluare, care se stabileste īn functie de continutul de substante poluante din sol si o valoare de referinta a acestuia (Lacatusu R., 1995). Evaluarea cantitativa a īncarcarii solului cu diferiti poluanti se realizeaza prin compararea continutului substantei poluante cu continutul normal al acelei substante īn sol, sau cu continutul maxim admisibil, care se stabileste īn functie de unele īnsusiri ale solului cum ar fi compozitia granulometrica, continutul de materie organica, valoarea pH-ului etc. (Florea N., 2003).
Pentru minimalizarea efectelor/proceselor de contaminare/poluare a solurilor pot fi aplicate diferite categorii de masuri cunoscute sub denumirea de masuri ameliorative. Prevenirea degradarii/contaminarii/poluarii solurilor se poate realiza prin folosirea unor metode care sa contribuie la evitarea producerii acestor procese sau sa contracareze efectele lor. Reducerea efectelor implica utilizarea unor metode care sa contribuie la diminuarea intensitatii de manifestare a efectelor negative ale proceselor de degradare a fertilitatii solurilor si a celor de contaminare sau poluare. Refacerea consta īn aplicarea unor metode de remediere, de īmbunatatire a īnsusirilor solului afectat de procese de degradare sau de factori limitativi, īn scopul revenirii la starea de fertilitate si productivitate originala, mai ridicata sau cel putin la o stare cāt mai apropiata de cea initiala. Reconstructia se refera la metode de aplicat pe terenuri care nu se preteaza la utilizarea agricola sau forestiera, ca de ex. unele halde provenite din minerit sau de diferite reziduuri, īn vederea revenirii lor īn circuitul ambiental. Recultivarea se refera la lucrari similare, avānd ca scop revenirea terenului la utilizarea agricola sau forestiera (I.C.P.A., 2002).
Utilizarea polimerilor pentru conditionarea solurilor
Folosirea polimerilor pentru ameliorarea īnsusirilor fizice ale solului este cunoscuta īn ultimii 50 de ani, cīteva lucrari de referinta īn domeniu fiind deja accesibile (Azzam R. A. I., 1980, De Boodt M. F., 1990, 1992). Polimerii folositi īn acest scop au structuri chimice si proprietati foarte diferite, asa cum se vede din clasificarea prezentata īn schema 2.

Polimeri
neutri, insolubili īn apa: poli(acetat de vinil), polistiren,
polidiene si cauciuc natural, poli(met)acrilati, poliuretani,
polisiloxani, rasini ureo-formaldehidice

Cu
grupe ionice sau ionizabile (polielectroliti), de ex.: poli(acid
acrilic), poli(acid metacrilic), poliacrilonitril hidrolizat, copolimeri ai
anhidridei/acidului maleic cu acetat de vinil sau izobutilena,
polimeri si copolimeri ai acidului 2-acrilamido-2-metilpropansulfonic,
poli(vinilpiridina) cuaternizata Neutri,
de ex.: poliacrilamida, polietilenglicol, poli(alcool vinilic) si
derivati, poli(N-vinilpirolidona)
Schema 2. Clasificarea polimerilor utilizati ca agenti de conditionare a solului
Polimerii insolubili īn apa, administrati īn doze de 3,3 t/ha īn stratul arat al solurilor cu textura fina (luto-argiloase si argiloase), au avut ca efect īmbunatatirea permeabilitatii si regimului termic, fara sa modifice regimul nutritiv. Imbunatatirea regimului termic se datoreaza continutului mai mic de apa īnmagazinata, fiind cunoscut ca solurile umede se īncalzesc mai greu decat cele uscate, datorita caldurii specifice mai mari a apei. Polimerii hidrofobi (polistiren, poliacrilati, bitum) micsoreaza scurgerea apei la suprafata, favorizānd retinerea si acumularea apei īn sol.
Polimerii solubili īn apa sunt eficienti la valorificarea superioara a solurilor cu textura fina (argila peste 32%). Efectul polimerilor asupra solurilor depinde de īnsusirile fizice ale acestora si de zona pedoclimatica īn care se afla. Spre exemplu, rezultatele obtinute prin tratarea unor soluri din Bulgaria, Republica Buriata (Rusia), insula Hokkaido (Japonia), cu un polimer ca poliacrilamida au evidentiat o crestere a diametrului si a stabilitatii agregatelor structurale, micsorarea erodabilitatii, īmbunatatirea drenabilitatii, cresterea nivelului productiei agricole.
Polielectrolitii, definiti mai sus, sunt dintre cei mai importanti agenti de conditionare a solurilor agricole. Acesti polimeri īmbunatatesc īnsusirile fizice, chimice si biologice ale solului, cu exceptia solurilor saraturate (salinizate si/sau alcalizate). Acest efect ar putea fi datorat proprietatilor de adsorptie si floculare ale polielectrolitilor. Polimerii si copolimerii pe baza de acrilati si acrilamida sunt cel mai mult utilizati. Poliacrilamida determina stabilizarea structurii solurilor nisipoase de duna, previne formarea crustei, micsoreaza intensitatea de īmprastiere a particulelor de sol elementare de catre picaturile de ploaie si, implicit, intensitatea eroziunii prin apa. Īmbunatatirea structurii solului are ca efect cresterea vitezei de infiltratie a apei. Caracterul hidrofil al poliacrilamidei mareste capacitatea solului de a retine apa si micsoreaza pierderea apei prin evaporare si infiltratie din solurile nisipoase.
Copolimerii acidului maleic (polielectroliti maleici)
O categorie importanta de polielectroliti utilizata cu rezultate bune ca agenti de tratare a solurilor sunt copolimerii acidului maleic (polielectroliti maleici), obtinuti din copolimeri ai anhidridei maleice. Structura fizico-chimica specifica a acestor polimeri le confera proprietati de utilizare deosebite, inclusiv īn tratarea solurilor, confirmate de rezultatele experimentale obtinute īn laborator, vase de vegetatie si cāmpuri experimentale.
Anhidrida maleica (AM) nu homopolimerizeaza decāt īn conditii energice, īn schimb copolimerizeaza relativ usor cu unul, doi sau mai multi comonomeri, obtināndu-se copolimeri binari, ternari sau multicomponenti. Mecanismul de copolimerizare al AM este deosebit de acela clasic, datorita faptului ca AM, care este un acceptor de electroni, poate forma cu monomerii donori complecsi cu transfer de sarcina (CTS). Īn functie de natura comonomerului, CTS participa, īntr-o masura mai mare sau mai mica, la reactiile de propagare a lantului, astfel īncat copolimerii AM au īn general o structura alternanta, ceea ce conduce la o buna reproductibilitate a sintezei si a rezultatelor obtinute la utilizare. Formula generala a unui copolimer binar al AM este prezentata īn schema 3.


(a) (b)
Schema 3. Structura chimica a unui copolimer al anhidridei maleice (a) si a unui copolimer de acid maleic (polielectrolit maleic) (b)
Prin hidroliza blīnda a copolimerilor anhidridei maleice (a), urmata de neutralizare cu hidroxizi sau carbonati, se obtin polielectrolitii maleici (b), sub forma acida sau sub forma de saruri de sodiu, amoniu, calciu etc.
In general, polielectrolitii, ca si alte categorii de polimeri, contribuie la ameliorarea īnsusirilor solului prin unul sau mai multe din urmatoarele efecte:
marirea gradului de agregare a elementelor structurale ale solurilor cu structura degradata
prevenirea formarii crustei īn perioada dintre semanat si rasarirea plantelor, mai ales a celor cu seminte mici, care sunt foarte vulnerabile
marirea rezistentei la eroziune hidrica si eoliana a solurilor situate pe pante si a celor cu textura grosiera (argila sub 12%)
marirea permeabilitatii solurilor cu drenaj intern deficitar, cum ar fi luvisolurile, vertisolurile, solurile gleice si stagnogleice (Dorneanu A., 1984).
Utilizarea polielectrolitilor maleici ca agenti de conditionare a solului
In Romānia au fost utilizati polielectrolitii maleici īn diferite domenii ca: stabilizarea structurii solului pentru prevenirea formarii crustei, agregarea particulelor de sol pentru formarea elementelor structurale, tratarea solului pentru obtinerea prismului filtrant al drenurilor absorbante de pe solurile cu exces pluvial temporar de umiditate, ameliorarea starii fizice a solului īn vederea diminuarii procesului de eroziune prin factorul apa. Din rezultatele cercetarilor īntreprinse s-a evidentiat ca tratamentele aplicate solului au avut efect imediat si remanent asupra structurii solului si implicit a productiei de sfecla pentru zahar (Chivulete S., 1994). Un alt efect favorabil a constat īn cresterea permeabilitatii pentru apa si aer a solului tratat pentru obtinerea prismului filtrant al drenurilor absorbante (Voicu P., 1994). De reamarcat ca experimentari ulterioare privind influenta polielectrolitilor maleici asupra capacitatii de retinere a apei, permeabilitatii substraturilor nutritive si implicit a regimului aerohidric din substraturile horticole au evidentiat de asemenea un efect favorabil al polielectrolitului (Tomita O., īn curs de publicare). Īn variantele tratate cu stabilizatori structurali īn concentratie de 0,1% s-a constatat o ameliorare a starii fizice a solului tratat si diminuarea eroziunii de la 11,2 t/ha (martor) la 1,4 t/ha (Voicu P., 1997)
Prevenirea formarii crustei prin tratarea solului cu polielectroliti maleici
Suprafata terenurilor agricole din Romānia vulnerabile la formarea crustei este estimata la 2300 mii ha, iar suprafata care poate deveni vulnerabila este de circa 3000 de mii ha (Canarache A., 1990). Crusta formata influenteaza negativ atāt unele īnsusiri fizice ale solului (deteriorarea structurii, reducerea permeabilitatii pentru apa si aer, īmpiedicarea primenirii aerului etc.), cāt si rasarirea, cresterea si dezvoltarea plantelor. Īn mod obisnuit combaterea crustei se realizeaza prin lucrari agrotehnice cum ar fi prasila oarba, executata īntre semanat si rasarirea plantelor, sau prasile mecanice si manuale dupa rasarirea plantelor. In contextul unei agriculturi durabile si performante, care este de actualitate si īn tarile dezvoltate, s-au efectuat experimentari privind prevenirea formarii crustei la diferite tipuri de sol (cultivate cu sfecla pentru zahar, foarte sensibila la formarea crustei) folosind polielectroliti maleici sintetizati prin metode proprii sau citate īn literatura (Chitanu G. C., 1993, 2001; Houben-Weyl ,1987). Compozitia si masa moleculara a polimerilor utilizati au fost evaluate prin metode specifice, prezentate anterior (Chitanu G. C., 1993). S-au folosit trei copolimeri binari si trei copolimeri ternari ai anhidridei maleice cu acetat de vinil (AV), metacrilat de metil (MAM) sau stiren (S), deci cu comonomeri cu caracter hidrofil/hidrofob diferit, care au fost apoi hidrolizati si transformati īn sare de amoniu. Structura chimica a polielectrolitilor maleici studiati este prezentata īn tabelul 1.
Cod proba |
Structura chimica a polielectrolitului maleic |
|||
|
Ponilit GT1 |
copolimer acid maleic - acetat de vinil, sare de amoniu |
|||
|
AS 1.1 |
copolimer acid maleic - stiren, sare de amoniu |
|||
|
AM 46.1 |
copolimer acid maleic metacrilat de metil, sare de amoniu |
|||
|
ATS 27.1 |
terpolimer acid maleic - acetat de vinil - stiren (m:n:p = 1:0.53:043), sare de amoniu |
|||
|
|
terpolimer acid maleic - acetat de vinil - metacrilat de metil (m:n:p = 1:0.53:0.43), sare de amoniu |
|||
|
|
terpolimer acid maleic - stiren - metacrilat de metil (m:n:p = 1:0.32:0.68), sare de amoniu |
|||
Intr-o prima serie de experimente a fost utilizat copolimerul acid maleic - acetat de vinil sub forma de sare de sodiu (denumire de marca Ponilit GT1, produs industrial) pe patru subtipuri de sol tratate cu doze de 2,2 si 4,4 kg/ha polimer. Rezultatele sunt prezentate īn tabelul 2.
|
Subtipul de sol |
Hidrostabilitatea agregatelor structurale, %, īn variantele: |
||
|
Martor |
Sol tratat cu polimer, īn doza de: |
||
|
2,2 kg/ha |
4,4 kg/ha |
||
|
Cernoziom gleizat | |||
|
Cernoziom vermic | |||
|
Brun roscat tipic | |||
|
Cernoziom carbonatic | |||
Tabelul 2. Efectul polimerului Ponilit GT1 asupra hidrostabilitatii agregatelor structurale
Se constata ca administrarea de polielectrolit Ponilit GT a avut ca efect cresterea stabilitatii hidrice a agregatelor structurale īntre 7 si 30% īn raport cu varianta martor. Valorile cele mai mari ale hidrostabilitatii agregatelor structurale s-au īnregistrat īn varianta tratata cu 4,4 kg/ha polimer. Tratarea solului cu polimer a avut efect favorabil la toate subtipurile de sol experimentate.
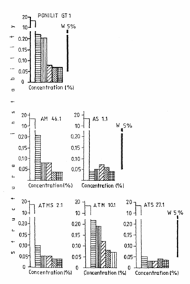
Īn
alta serie de experimente a fost investigata influenta structurii chimice a sase polielectroliti
maleici asupra capacitatii lor de a ameliora unele īnsusiri fizice
ale cernoziomului cambic. Indicele de instabilitate structurala a fost
calculat pe baza stabilitatii hidrice si a dispersiei probelor de sol
(cernoziom cambic) tratat cu solutii de polielectoliti maleici cu
concentratii cuprinse intre 0,1 si 0,9%. Rezultatele obtinute sunt
redate īn figura 1.

Figura 1. Influenta structurii chimice a polielectrolitilor maleici asupra indicelui de instabilitate structurala. Concentratia solutiilor de polielectroliti a fost, de la stānga la dreapta: 0,1; 0,3; 0,5; 0,7; 0,9%.
Se observa ca polielectrolitii AS1.1, ATMS 2.1 si ATS 27.1 prezinta eficienta cea mai mare. Din punct de vedere al structurii chimice ei contin unitati maleice si unitati de stiren cu sau fara unitati de metacrilat de metil sau acetat de vinil. Totusi, costul relativ ridicat al acestor polielectroliti limiteaza utilizarea lor in practica agricola. Polielectrolitul Ponilit GT1 prezinta un efect satisfacator si īn acelasi timp poate fi obtinut la scara industriala si cu un pret de cost acceptabil. Īn ceea ce priveste modul de actiune al polielectrolitului, rezultatele obtinute sugereaza ca efectul de formare de agregate hidrostabile se realizeaza nu numai prin interactiunile electrostatice datorate unitatilor maleice, ci si fortelor slabe hidrofobe exercitate de unitatile comonomere de stiren sau metacrilat de metil.
Rezultatele acestor cercetari ne-au determinat sa testam posibilitatea extinderii domeniilor de utilizare a polielectrolitilor maleici la obtinerea de substraturi nutritive din sere, solarii si celor destinate cultivarii plantelor ornamentale si legumicole īn recipienti, platforme, ghivece etc. Īntrucāt volumul explorat de radacinile plantelor este limitat, asigurarea drenajului intern si mentinerea mediului de reactie sunt conditii esentiale pentru dezvoltarea normala a plantelor. Testarile efectuate asupra principalelor componente folosite la obtinerea substraturilor nutritive au evidentiat efectul pozitiv al polielectrolitului maleic asupra capacitatii de tamponare la acidifiere si la alcalinizare, care creste odata cu marirea concentratiei solutiei de polielectrolit. Polielectrolitii maleici favorizeaza mentinerea mediului de reactie al mranitei si orizontului A molic al cernoziomului cambic īntr-un interval al valorilor de pH optim pentru cresterea si dezvoltarea plantelor, prin marirea capacitatii de tamponare la alcalinizare si prin micsorarea usoara a capacitatii de tamponare la acidifiere (Filipov F., 2002, 2003). Aceste rezultate contureaza posibilitatea recuperarii solurilor poluate accidental cu substante puternic acide sau bazice.
Posibilitati de utilizare a polielectrolitilor pentru decontaminarea - recuperarea solurilor poluate cu metale grele
Procesele de degradare a terenurilor prin activitati antropice sunt foarte variate. Uneori ele determina deteriorarea solului sau chiar anihilarea totala a functiilor pe care acesta le īndeplineste īn cadrul ecosistemelor. Degradarea terenurilor agricole din Romānia are loc si prin procese de contaminare/poluare cu metale grele ca: fier, mangan, cupru, zinc, plumb, cadmiu, crom, cobalt, nichel. Ponderea acestor metale īn solurile necontaminate este de ordinul a cāteva procente (fier, mangan) sau parti per milion (cupru, cobalt s.a). Nivelul scazut al acestor elemente chimice din sol si planta, precum si rolul lor biologic au condus la desemnarea ca microelemente (Lacatusu R., 2004). Īn anumite zone continutul acestor elemente chimice este mai mare decāt limita maxima admisibila pentru dezvoltarea vegetatiei. Cauza acumularii metalelor grele īn sol poate fi de natura geogena (rezultate īn urma proceselor geochimice de alterare a rocilor si mineralelor, de transport si depunere) sau de natura antropogena (rezultate īn urma activitatilor umane). Metalele grele pot ajunge īn sol sau plante deoarece se gasesc īn īngrasaminte, amendamente sau pesticide folosite īn procesul de productie, sau pot sa provina din gazele degajate īn atmosfera de la diverse industrii si din combustii. Pulberile si gazele sunt purtate de curentii de aer si depozitate īn cele din urma pe plante, pe sol sau īn apele de suprafata (Lixandru Gh., 2003). Intensitatea efectului negativ al metalelor grele depinde de concentratie si de unele īnsusiri fizice si chimice ale solului, precum compozitia granulometrica, continutul de materie organica, pH-ul, potentialul redox etc. Datorita contaminarii/poluarii solului se depreciaza calitatea recoltei si se micsoreaza sau se compromite productia agricola, consecintele resimtindu-se īn īntregul lant trofic sol-microorganisme-plante-animale-om. Cānd este contaminat cu deseuri organice sau insalubrizat solul are o capacitate naturala de autoepurare, fiind considerat ca o statie biologica de epurare cu multiple trepte de tratare (separare mecanica, oxidare biologica, schimb de ioni, precipitare chimica, adsorptie, absorbtie si asimilare de catre plante si organisme vii), a carei capacitate de prelucrare depinde de proprietatile solului si de conditiile climatice si, pentru a putea functiona corespunzator, nu trebuie supraāncarcata cu produse reziduale ( Florea N., 2003). Efectul poluarii solurilor se resimte īn mediu si se estimeaza īn functie de impactul asupra activitatii biologice din sol si asupra cresterii plantelor, īn functie de concentratia elementului chimic īn furaje sau alimente si īn functie de impactul asupra calitatii apelor freatice si subterane.
Pentru protectia solului īmpotriva poluarii este nevoie sa se identifice sursele potentiale de contaminanti si sa se evalueze riscurile de contaminare/poluare. In functie de aceasta se stabilesc masurile de limitare sau contracarare a efectelor nedorite: instalatii de epurare a apelor uzate, tehnologii adecvate de prelucrare a produselor reziduale. Īn unele cazuri se aplica īn sol, ca īngrasamānt, namoluri sau ape uzate care contin pe lānga elemente nutritive si contaminanti potentiali. Īn aceste situatii se impune respectarea normelor de aplicare, fara a depasi concentratiile maxime admisibile, īntrucāt contaminantii care se acumuleaza īn sol nu prezinta efecte nefavorabile un anumit timp (Florea N., 2003). Principalele metode recomandate īn remedierea solurilor poluate sunt: stabilizarea, instalarea unor bariere de protectie, tehnici de depoluare termice si microbiologice. Se pot utiliza de asemenea tratarea chimica si separarea fizica (Ellis S., 1995).
Cercetarile efectuate privind contaminarea/poluarea solurilor cu metale grele au evidentiat mai multe posibilitati de remediere ca: extragerea din sol prin cultivare de plante cu capacitate mare de absorbtie a elementelor poluante, cultivarea, pentru consum, de plante cu foarte slaba afinitate pentru elemente poluante, amendarea cu carbonat de calciu. Aceste masuri pot fi stabilite numai īn urma unor cartari minutioase ale fiecarui caz īn parte (Lacatusu R., 2004). Īn cazul solurilor puternic poluate se poate recurge la masuri mai drastice cum ar fi decopertarea solului pe o grosime de 30 cm, copertarea solului, asociate cu alte masuri complementare (Rauta C., 1983).
Prin structura lor chimica polielectrolitii si īn special polielectrolitii maleici au capacitatea de a interactiona cu ionii metalelor grele, dānd compusi solubili sau insolubili, īn functie de raportul polielectrolit/metal, de compozitia chimica a polielectrolitului maleic (natura comonomerului) si de conditiile de lucru (prezenta sau absenta unor saruri cu molecula mica). Aceasta proprietate este citata īn literatura (Mandel M., 1988) si a fost confirmata de o serie de rezultate proprii. Astfel, s-a demonstrat ca adaugarea unor cantitati mici de polielectrolit maleic (sub 1%) favorizeaza retinerea ionilor de crom īn pieile tanate cu saruri bazice de crom, conducānd la scaderea drastica a cromului īn efluentul de la tanare (Costas D. I., 1997, Chitanu G. C., 2002-2005, Gaidau C., 2004). Studiul īn laborator al interactiei īntre copolimeri maleici cu structura chimica diferita, colagen, ca principal component al pieilor, si ioni de crom a pus īn evidenta o interactie specifica īntre polielectrolitii maleici si ionii de crom (Chitanu G. C., 2002; Anghelescu-Dogaru A. G., 2004). Īn consecinta, apreciem ca exista premize favorabile pentru a estima un efect benefic al tratarii solului cu polielectroliti maleici ca o masura complementara īn decontaminarea solurilor poluate cu metale grele. Polielectrolitii maleici ar putea actiona fie prin retinerea ionilor metalici īn sol, fie, dimpotriva, prin mobilizarea acestora. Identificarea modului de actiune va necesita studii īn laborator privind fiecare specie ionica īn parte, īn diferite conditii de sol.
Concluzii
Din datele de literatura si rezultatele prezentate se contureaza o serie de posibilitati de utilizare ca masura complementara a polimerilor/polielectrolitilor, īn speta a polielectrolitilor maleici, īn gestionarea unor situatii limita de agresiune a unor factori naturali sau antropici asupra solului, inclusiv prevenirea riscurilor majore si asigurarea unei dezvoltari economice si sociale durabile.
Īn principal, polielectrolitii maleici ar putea fi utilizati īn urmatoarele situatii:
Prevenirea sau diminuarea intensitatii de manifestare a eroziunii hidrice sau eoliene si a fenomenelor negative pe care aceasta le implica.
Favorizarea formarii agregatelor structurale hidrostabile pentru īmbunatatirea permeabilitatii solului, regimului aerohidric, infiltratiei apei, cu efecte benefice īn retinerea apei īn sol si atenuarea efectelor negative ale secetei prelungite īn sezonul de vegetatie.
Modificarea mobilitatii si accesibilitatii catre plante a metalelor grele din solurile poluate/contaminate. Acest efect ar putea fi utilizat īn cazul solurilor poluate cu metale grele īn urma bombardamentelor sau a zonelor poluate din apropierea unitatilor metalurgice.
Aplicarea īn Romānia a tratamentelor cu polielectroliti maleici sau alti polimeri pentru gestionarea unor situatii limita de agresiune a unor factori naturali sau antropici asupra solului necesita, evident, activitati de cercetare care nu pot fi efectuate decāt īn cadrul unei colaborari interdisciplinare, cu echipe formate din specialisti din diverse domenii: chimie/chimie macromoleculara; stiinta solului; climatologi, geografi, agrotehnicieni.
Anghelescu-Dogaru A. G., Popescu I., Chitanu G. C., Maleic polyelectrolytes as ecologically favorable additives in chrome tanning process, Journal of Environmental Protection and Ecology (JEPE), 5, 00-00, 2004.
2. Azzam R. A. I., Agricultural polymers. Polyacrylamide preparation, application and prospects in soil conditioning, Commun. Soil Sci. Plant Analyses, 1-8, 767-834, 1980.
Canarache A., Fizica solurilor agricole, Editura Ceres, Bucuresti,
Chitanu, G. C., Carpov, A., Asaftei, T. Rom. Pat. 106745/1993.
Chitanu G. C., Chivulete S., Carpov A., Anionic polyelectrolytes containing maleic acid units as soil conditioners, Internat. Agrophysics, 7, 203-211, 1993.
Chitanu G. C., Zaharia I. L., Anghelescu A. G., Carpov A., Rom. Pat. 117097/2001.
7. Chitanu G. C., coordonator, Noi materiale multifunctionale pe baza de copolimeri maleici pentru protectia mediului si bioaplicatii Proiect MATNATECH C111/2002-2005, www.icmpp.ro/~chita/.
Chitanu G. C., Creanga D. M., Hirano T., Badea N., Supramolecular structures in complex systems from natural and synthetic polymers. I. Interaction between collagen, maleic polyelectrolytes and chromium ions, Rev. Roum. Chim.
9. Chivulete S., Chitanu G. C., Carpov A., Tatu M., Dorobantu N., Cercetari privind efectul imediat si remanent al tratamentului cu Ponilit GT 1 si Ponilit A 1 asupra structurii solului cernoziomic cambic de la Fundulea, Lucrarile Conferintei Nationale pentru stiinta Solului, Tulcea 29 aug - 3 sept., 1994, Bucuresti, vol. 28 A, pp. 95-109.
Costas D. I., Chitanu G. C., Carpov A. s.a., Procedeu de tabacire cu saruri bazice de crom a pieilor de bovine pentru de fete de īncaltaminte, Rom. Pat.112518/1997.
11. De Boodt M. F., Application of polymeric substances as physical soil conditioners. In: Soil colloids and their association in aggregates (Ed. M. F. de Boodt et al.). Plenum Press, New York, 517-556, 1990.
12. De Boodt M. F., Synthetic polymers as soil conditioners: 35 years of experimentation. In: Water saving techniques for plant growth. (Ed. H. J. W. Verplancke et al.), Kluwer Academic Publishers, Netherlands, 137-161, 1992.
13. Dorneanu A., Conceptii moderne īn fertilizarea organica a solului, Ed. CERES, Bucuresti, 1984.
14. Ellis S., Mellor A., Soils and Environment, Routledge, London and New York, 1995.
Filipov F., Chitanu G. C., Tomita O., Suflet D., Draghia L., Caracterizarea capacitatii de tamponare a componentelor substraturilor nutritive tratate cu solutii de polielectroliti maleici, Lucrarile celei de-a XVII-a Conferinta Nationala de Stiinta Solului, Timisoara, 25-30 aug. 2003.
Filipov F., Chitanu G. C., Tomita O., Suflet D., Draghia L., Influenta polimerului Ponilit GT1 asupra capacitatii de tamponare la acidifiere a unor componente ale substraturilor folosite īn horticultura, Simpozionul Stiintific Agricultura īn perspectiva integrarii europene, U.S.A.M.V. Ion Ionescu de la Brad Iasi, Facultatea de Agricultura, CD-ROM ISSN 1454-7414, 2002.
17. Florea N., Degradarea, protectia si ameliorarea solurilor si a terenurilor, Bucuresti, 2003.
18. Gaidau C., Chitanu G. C., Bratulescu V., Miu L., Maleic copolymer polyelectrolytes for leather ecological processing, World Polymer Congress Macro 2004, Paris, July 4-9, Program, p. 136.
19. Houben-Weyl in Methoden der Organischen Chemie, E20. "Makromolekulare Stoffe", George Thieme Verlag, Stuttgart, pp 1239-1243, 1987.
20. Lacatusu R., Metoda pentru evaluarea nivelului de īncarcare si de poluare a solurilor cu metale grele, stiinta solului, vol. XXIX, 2, S.N.R.S.S., Bucuresti, 1995.
21 Lacatusu R., coordonator, Impactul surselor de poluare din site-urile horticole periurbane si urbane asupra mediului inconjurator si a produselor legumicole, Editura Est Falia, Bucuresti, 2004.
22 Lixandru Gh., Sisteme integrate de fertilizare īn agricultura, Editura PIM, Iasi, 2003.
23. Mandel M., "Polyelectrolytes",
īn Encycl. Polym. Sci.
24. Rauta C., Cārstea S., Prevenirea si combaterea poluarii solului, Ed. CERES, Bucuresti, 1983.
25. Tomita O., Filipov F., Chitanu G. C., īn curs de publicare.
26 Voicu P., Vatau A., Chivulete S., Chitanu G. C., Carpov A., Albu C., Cercetari preliminare privind utilizarea amestecului de sol rezultat īn urma saparii prismei drenante si stabilizat structural cu polielectrolitul ATS-23.1, ca material drenat īn amenajarile de desecare-drenaj, Lucrarile Conferintei Nationale pentru stiinta Solului, Tulcea 29 aug - 3 sept., 1994, Bucuresti, vol. 28 A, pp. 121-137.
Voicu P., Chivulete S., Mihalache M., Morarescu V., Chitanu G. C., Carpov A., Rezultate experimentale privind posibilitatea reducerii intensitatii proceselor erozionale de pe versanti cu folosinta agricola prin utilizarea stabilizatorilor structurali, Fizica si tehnologia solului, Publicatiile SNRSS, 29A, 69-80, 1997.
28. *** Degradarea si ameliorarea - prevenire, reducere, refacere, reconstructie, recultivare, luare īn cultura, Recomandari si rezultate ale Conferintei Internationale "Solurile īn schimbare globala - o provocare pentru secolul 21", Constanta, Romānia, 3-6 septembrie 2002, ICPA Bucuresti.
1. Numele: CHIŢANU; prenumele: Gabrielle Charlotte
2. Data si locul nasterii: 07.07.1948, Hārlau, jud. Iasi
Studii: Chimist, Universitatea Al. I. Cuza Iasi, Facultatea de Chimie, oct. 1967-oct. 1972;
4. Titlul
stiintific: doctor
īn chimie, Universitatea
Al. I. Cuza Iasi, Facultatea de
Chimie; Post-doctorat
Universitatea Joseph Fourier,
CERMAV-CNRS,
5. Experienta profesionala: sinteza, caracterizarea si aplicatiile copolimerilor maleici; polimeri pentru protectia mediului; chimia verde a polimerilor
6. Locul de munca actual si functia Academia Romana, Institutul de Chimie Macromoleculara Petru Poni, Aleea Grigore Ghica Voda 41A, 700487, Iasi; cercetator stiintific principal I, sef Laborator Polimeri Bioactivi si Biocompatibili; e-mail: [email protected]
7. Lucrari publicate: peste 90. Brevete si inventii: 22
8. Membru al
asociatiilor profesionale Balkan
Environmental Associations (B.EN.A), European Colloid and Interface Society (ECIS), Societatea de Chimie din
9. Stagii de perfectionare/specializari: Franta, Japonia, Rusia, Finlanda. Kazakhstan
10. Experienta manageriala: COST-PECO, INTAS, BRANCUsI, MATNANTECH
11. Premiul "Nicolae Teclu" al Academiei Romane īn 1988
CURICULUM VITAE
1. Nume: FILPOV, prenume: FEODOR
2. Data si locul nasterii: Suceava, 12 martie 1961
3. Studii: Inginer agronom, Institutul Agronomic - Facultatea de Agricultura (octombrie 1985 - septembrie 1989
4. Titlul stiintific: Doctor in Agricultura si Horticultura; Specializarea: Pedologie ameliorativa ,Universitate de stiinte Agricole Cluj (nov.1993 - mai 1998)
5. Experienta profesionala: pregatirea si predarea lucrarilor practice si a cursului de Pedologie; evolutia īnsusirilor morfologice fizice si chimice ale solurilor din sere si solarii; elaborarea tehnologiilor ameliorative si a metodelor de calcul pentru corectarea compozitiei granulometrice si amediului de reactie a solurilor din spatii protejate; folosirea polielectrolitilor sintetici ca aditivi pentru conditionarea substraturilor horticole
6. Locul de munca actual si functia: Universitatea de stiinte Agricole si Medicina Veterinara Ion Ionescu de Brad Iasi, Aleea Mihai Sadoveanu 3, 700490, e-mail [email protected]; sef lucrari la Pedologie
7 . Vechime la locul de munca actual:14 ani
8. Lucrari elaborate si / sau publicate: (78 de lucrari stiintifice din care 9 la manifestari internationale)
9. Alte competente: Ameliorarea solurilor cu exces de umiditate, a solurilor saline si a celor acide. Utilizarea substantelor polimere īn conditionarea solurilor
|