VITAMINA B6
Piridoxina este un derivat de piridina,cu formula empirica C8H11O3N ( 3-hidroxi, 4,5-dihidroximetil-2-metilpiridina). Are urmatoarea formula dezvoltata:

PROPRIETATI FIZICE SI CHIMICE
Baza se prezinta sub forma de pulbere cristalina, incolora, cu gust usor amar, cu punct de fuziune la 160° si greutate moleculara 169,2.
Este solubila in apa, a 353g62d cetona, alcool, greu solubila in eter si cloroform.
Clorhidratul se prezinta tot sub forma cristalina,cu punct de topire la 207°, cu descompunere usoara. Solubil in apa ( 1g la 4,5 cm3) mai greu in alcool ( 1 g la 90 cm3) si acetone. Este insolubil in eter. In comert se gaseste clorhidratul de piroxina, care, dizolvat in apa, da o solutie acida , cu un pH = 3,2.
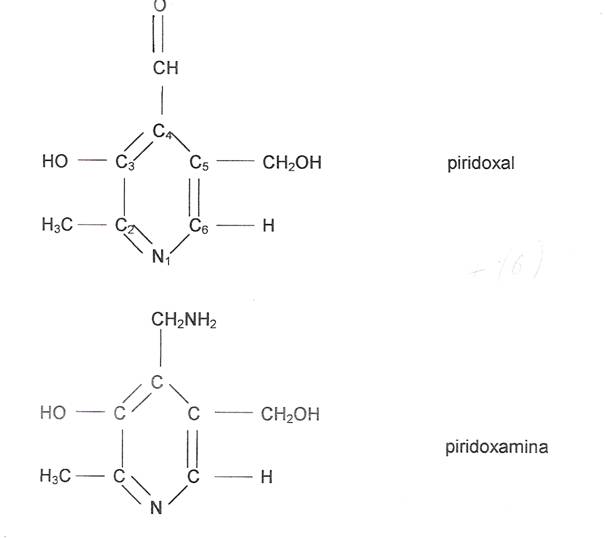
Alaturi de piridoxina se mai gasesc in natura si alte forme ale vitaminei B6. Printre cele mai importante citam o aldehida – piridoxalul – si un derivat aminat – piridoxamina – chiar mai active decat piridoxina. Mai mult, ele predomina in organismul animal si in drojdia de bere, iar in vegetale reprezinta 50% din activitatea B6.

Toate aceste 3 forme ale vitaminei B6 sunt sensibile la lumina.
ROLUL VITAMINEI B6 IN METABOLISM
Vitamina B6 este necesara pentru metabolismul acizilor grasi nesaturati.
Metabolismul proteinelor
Vitamina B6 joaca un rol in metabolismul aminoacizilor, in cursul mai multor procese:
a) de decarboxilare a unor aminoacizi;
b) de utilizare a triptofanului.
FARMACOLOGIE
Actiune asupra sistemului nervos
La animalul normal, vitamina B6 administrata in doze mari, peste 1 g/kilocorp, provoaca tremuraturi si contractii tonico-clonice.
La om, doze suficient de mari ( 100-200 miligrame) injectate intravenos, exercita o actiune sedativa.
Administrarea piridoxinei la epileptici a determinat ameliorarea si chiar amendarea simptologiei clinice. Acest efect este rezultatul unei actiuni asupra metabolismului celulelor corticale.
Unii autori au obtinut in paralizia agitanta efecte terapeutice importante administrand doze zilnice variind intre 50 si 100 mg, timp de 5-7 luni.
Un efect rapid,manifestat chiar la cateva minute dupa injectie, a fost obtinut de unii autori in ce priveste rigiditatea din parkinsonismul postencefalitic sau de origine nearteriosclerotica.
Actiunea vitaminei B6 se manifesta si la nivelul maduvei spinarii, asa cum o dovedesc ameliorarile obtinute in unele cazuri de poliomelita anterioara, scleroza diseminata, paraplegie spastica,etc.
Actiune asupra pielii
Comparand simptomatologia cutanata a carentei piridoxinice cu
cea determinata de anumite afectiuni ale pielii la om, clinicienii au intrebuintat vitamina B6 in numeroase asemenea afectiuni.
Dermatitele seboreice ale adultului, eruptiile eczematoase raspund in numeroase cazuri la administrarea piridoxinei.
Actiune asupra sangelui
Vitamina B6 nu are,la animal si la om,nici o actiune asupra sangelui normal. Anemiile experimentale ale cainilor si porcilor raspund la actiunea vitaminei B6 prin ameliorarea numarului de eritrocite si a indicelui hemoglobinic. Aceste anemii sunt microcitare si hipocrome.
Exista insa anemii macrocitare,in unele cazuri de pelagra, si chiar anemii megaloblastice, ca si unele leucopenii, care au raspuns favorabil la tratamentul cu vitamina B6 ,probabil prin interventia piridoxinei in metabolismul acidului glutamic, care, precum se stie, este un constituent al acidului folic.
PREZENTARE SI ADMINISTRARE
Vitamina B6 se prezinta pentru uzul terapeutic sub forma de tablete si fiole, tabletele contin in general cate 25 sau 50 mg, iar fiolele cate 50 mg piridoxina.
Calea orala si cea parenterala sunt cele obisnuite de administrare.
Dozele utilizate in general variaza la adult intre 25 si 150 mg zilnic,fractionat,pe cale parenterala. Pe cale orala, se administreaza pana la 200 mg zilnic, in doze fractionate. Aceste doze pot fi continuate 8-15 zile.
La sugar, dozele administrate variaza intre 2-10 miligrame zilnic.
|