VITAMINA B2
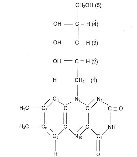
Riboflavina este un compus polinuclear heterociclic, avand in constitutie un glucid ( riboza ) si un nucleu de aloxazina.

PROPRIETATI FIZICE SI CHIMICE
Riboflavina se prezinta sub forma unor cristale aciculare colorate in galben-portocaliu-brun. Nu are o temperature fixa de topire, cristalele topindu 121b11b -se intre 274 – 282 , cu descompunere. La 240 incep sa se innegreasca.
Este solubila in apa ( 0,025% la temperature camerei ), mai slab solubila in alcool, piridina, acid acetic, insolubila in benzen, eter, acetona, cloroform si benzina, eter de petrol.
Solubilitatea in apa creste in prezenta ureei, a boratului si a alcalilor.
Atat solutia cat si cristalele de riboflavina prezinta fluorescenta.
Grupul cromofor al riboflavinei este nucleul izoaloxazinei.
Este stabila in solutii acide, mai putin in solutii alcaline.
Constitutia riboflavinei sufera modificari importante indeosebi sub actiunea luminii.
In mediul acid sau neutru, sub actiunea luminii, se pierde lantul lateral glucidic, in timp ce izoaloxazina devine aloxazina. Produsul rezultat este lumicromul.

ROLUL VITAMINEI B2 IN METABOLISM
Vitamina B2 joaca un rol de o importanta covarsitoare in
procesele de respiratie celulara, in special in reactiile cele mai importante ale materiei vii, dehidrogenarilor.
Metabolismul glucidelor
Reactiile apar din insusi studiul respiratiei celulare, care nu poate fi separat de procesele metabolice ale glucidelor, proteinelor si lipidelor.
Metabolismul proteinelor
Carenta de vitamina B2 duce la o micsorare a volumului glandei.
FARMACOLOGIE
Riboflavina are o usoara influenta asupra curbei glicemice la normali, pe care o diminueaza la fel ca si la diabetici.
Metabolismul energetic nu este modificat in mod deosebit. Metabolismul apei este usor influentat, la fel si metabolismul sodiului si al potasiului, pe care le echilibreaza. Actiunea diuretica si eliminarea clorurii de sodiu sunt rezultatul unei actiuni renale, travaliul de filtrare fiind marit prin rolul jucat de riboflavina in procesul de fosforilare la nivelul tubilor.
Carenta de riboflavina influenteaza in general sangele si sistemul hematopoetic.
La omul normal, vitamina B2 administrata intravenos scade coproporfirinuria de la 100 la 20-30 ү .
PREZENTARE SI ADMINISTRARE
Riboflavina se gaseste pentru uz terapeutic in special sub forma de fiole, continand 2 mg sau 1 mg pe fiola. Mai este prezentata in tablete sau drajeuri cu doze variabile, dar in jurul cifrelor de 2-3 mg.
Riboflavina se mai gaseste de asemenea in comertul farmaceutic in amestec cu alte vitamine, sub forma de produse denumite polivitamine sau asa-numitul complex B.
Trebuie retinut ca extractele de drojdie, ca si extractele totale hepatice, contin o cantitate importanta de riboflavina.
Dozele pot varia de la fractiuni de milligram la 3-4 mg zilnic.
|