Curentii intr-un circuit electric
Consideram urmatorul circuit in care, valorile rezistentei rezistorilor si tensiunea sursei sunt cunoscute:

Sistemul de ecuatii in care necunoscutele sunt curentii este:

In forma matriciala:

O varianta de program care permite introducerea interactiva de la tastatura a valorilor rezistentelor precum si valorile surselor de tensiune este urmatoarea:
R=input('Introduceti val.rezistentelor [R1.R5]:')
V=input('Introduceti valorilor tensiunilor[V1,V2]:')
%Se initializeaza matricele
R=[-1, 0, 0, O, -1, 1;
1, -1, -1, 0, 0, 0;
0, 0, 1, -1, 1, 0;
R1, 0, R3, 0, -R5,0;
R1, R2, 0, 0, 0, 0;
0, -R2, R3, R4, 0, 0];
V=[0;0;0;-V2;V1;0];
I=R\V
Fprintf('Curentii prin latu 15215m128p rile circyuitului sunt :\n')
Disp (I')
Acest program se scrie intr-un fisier M. La lansarea fisierului se afiseaza mesajele de introducere a valorilor rezistentelor si tensiunii sursei; se introduc valori numerice in ordinea indicilor, separate de caracterul virgula, cu paranteze drepte la inceput si sfarsit.
Pentru [R1.R5]=[1,1,1,1,1] si [V1V2]=[5,5] rezulta curenti prin laturile circuitului:
|
I1 |
I1 |
I3 |
I4 |
I5 |
I6 |
Exercitii

![]()
|
Nod |
Ecuatie |
|||||||
|
11V1 |
-5V2 |
-V6 | ||||||
|
-20V1 |
+41V2 |
-15V3 |
-6V5 | |||||
|
-3V2 |
+7V3 |
-4V4 | ||||||
|
-V3 |
+2V4 |
-V5 | ||||||
|
-3V2 |
-10V4 |
+28V5 |
-15V6 | |||||
|
-2V1 |
-15V5 |
+47V6 |
|
|||||
Exemplu:
Nod 1: 
R1=input('introduceti val.rezistentelor R1 :')
R2=input('introduceti val.rezistentelor R2 :')
R3=input('introduceti val.rezistentelor R3 :')
R4=input('introduceti val.rezistentelor R4 :')
R5=input('introduceti val.rezistentelor R5 :')
V=input('introduceti val.tensiunii V1 : ')
R=[-1, 0, 0, 0, -1, 1;
1, -1, -1, 0, 0, 0;
0, 0, 1, -1, 1, 0;
R1, 0, R3, 0, - R5, 0;
R1, R2, 0, 0, 0, 0;
0, -R2, R3, R4, 0, 0];
V=[0; 0; 0; 0; V; 0];
I=R\V
Circuite electrice in regim tranzitoriu
Exemplul
Se considera circuitul oscilant, RLC, din figura de mai jos unde se considera initial capacitatea C ca fiind încarcata la o tensiune V0 si ca întrerupatorul este închis la momentul t=0.
|
|
Unde se considera cunoscute urmatoarele:
Ecuatia care exprima variatia tensiunii |
Conditiile initiale |
|
|
|
Daca introducem notarea:
|
se impune urmatoarea analiza: |
||
|
|
|
|
|
|
|
|
|
Oscilatoriu sub atenuat |
Atenuat critic |
Supra atenuat |
Se doreste elaborarea unui program care sa utilizeze procedura Runge - Kutta pentru doua cazuri:
|
|
|
Se vor tine cont de urmatoarele notiuni:
|
Sarcina pe un condensator |
|
|
Intensitatea curentului electric prin condensator |
|
|
Tensiunea electrica aplicata rezistorului si inductantei |
|
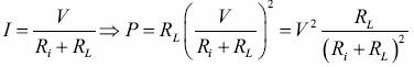
For the voltage divider depicted below, sketch the power dissipated in RL as RL varies from 10 ohms to 150 ohms. Deduce the value of RL yielding a maximum power transfer.


>>close all; clear all; clc;
>>v=0.010;
>>RI=40;
>>RL=10:1:150;
for i=1:length(RL)
P(i)=(V^2*RL(i))/(RI+RL(i))^2;
end
plot(RL,P,'LineWidth',2,'Color',[0.2 0.3 0.1]);grid
set(gca, 'Xtick',0:10:150);
axis([ 0 max(RL) min(P) max()])
xlabel('Values of RL (ohms)')
ylabel('Power dissipated in RL')
title('Maximum power transfer')
k=find(P= =max(P));
fprintf('\n');
disp([Value of RL for max. power transfer: ', num2str(RL(k)),' ohms'])
fprint('\n');

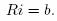
In reteaua de mai jos exista 5 noduri, 8 rezistori si o sursa de tensiune constanta. Dorim sa calculam caderea de tensiune intre noduri si curentii prin fiecare ramura. Pentru descrierea acestui circuit poate fi format un sistem din mai multe ecuatii lieare. Fie, vk; k diferenta de tensiune intre fiecare dintre primele 4 noduri din numarul de 5 noduri, iar ik; k curentii prin fiecare bucla cu circulatia in sensul acelor de ceasornic. Aplicand legea lui Ohm intre nodurile 1 si 2 se obtine:
![]()
Utilizand conductanta, respectiv inversa rezistentei, gkj = 1=rkj , legea lui Ohm devine:
![]()
Sursa de tensiune este inclusa in ecuatia:
![]()
Se aplica legea tensiunilor a lui Kirchhoff pentru fiecare bucla, de exemplu pentru bucla 1
![]()
Combinand aceasta lege cu cea a lui Ohm se obtin ecuatiile pentru cyurenti:
![]()
In care i reprezinta matricea vector a curentilor

Iar b matricea vector a sursei de tensiune

si R matricea patratica a rezistentelor,

Legea curentilor a lui Kirchhoff spune ca sunma curentilor intr-un nod este nula. De exemplu in nodul 1:
![]()
Combinand legea curentilor cu conductanta se obtine ecuatiile tensiunilor nodale:
![]()
In care v reprezinta matricea vector a tensiunilor,

Iar c matricea vector a sursei de curent

si G matricea patratica a conductantelor,

Se poate rezolva sistemului de ecuatii lineare obtinut din ecuatiile in bucla inchisa pentru calculul curentilor si utilizand ulterior legea lui Ohm de a determina tensiunea, sau se poate rezolva sistemul de ecuatii lineare obtinut din ecuatiile nodale pentru calculul tensiunii si utuilizand legea lui Ohm sa se determine curentii. Se poate verifica daca aceste 2 aproximari conduc la aceleasi rezultate pentru acest circuit. Alegerea valorilor rezistentei si sursei de tensiune este una facultativa.
|