Am uitat parola
x
Creaza cont nou
Home
Exploreaza
Upload
Exercitii matematica
Matematica
ALTE DOCUMENTE
Corelatii
CALCULUL RADIERELOR PE MEDIU WINKLER - BOUSSINESQ
Teste de omogenitate
FORMULE DE DERIVARE
EVALUARE SUMATIVĂ - matematica
Semidreapta
Modelul stochastic al prelucrarii datelor
Calculul ecuatiilor matriciale
Repartitii discrete
ELEMENTE DE STATISTICA MATEMATICA
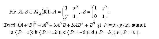
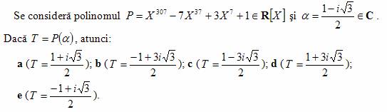
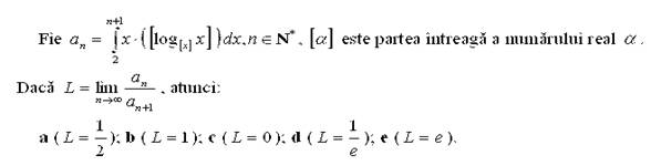
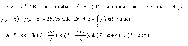
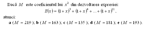
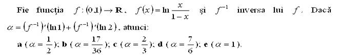
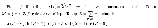
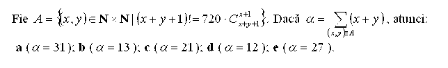
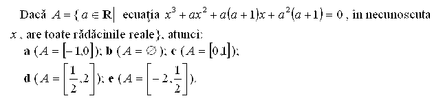
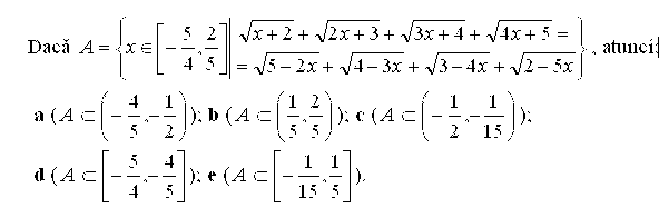
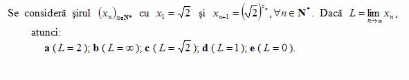
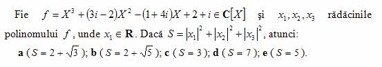
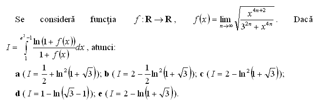
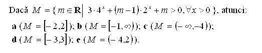
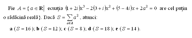
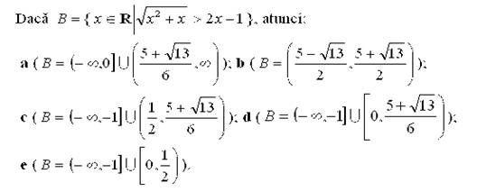
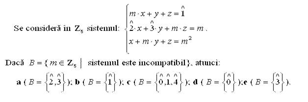
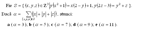
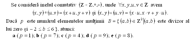
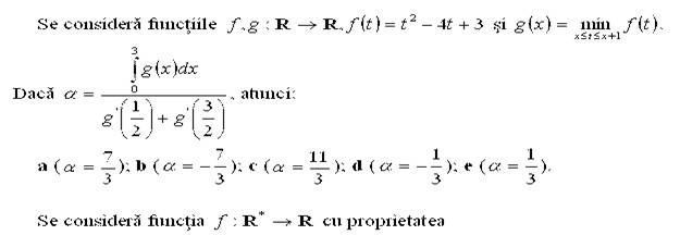
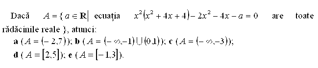
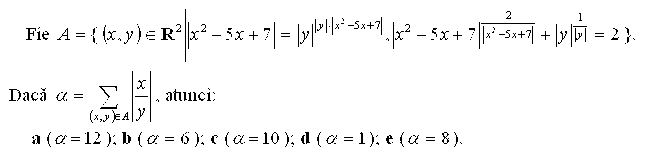
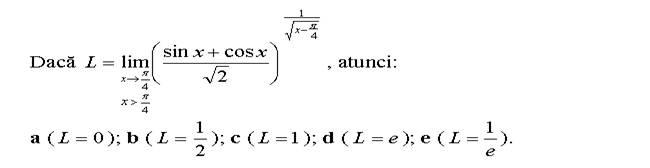
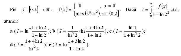
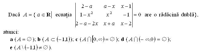
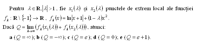
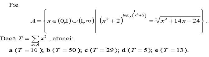
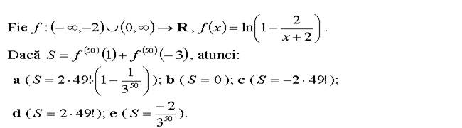
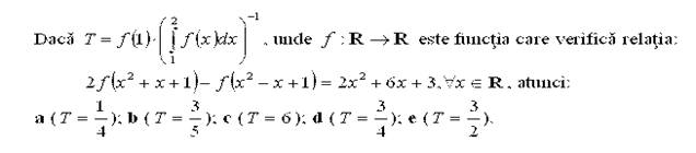
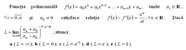
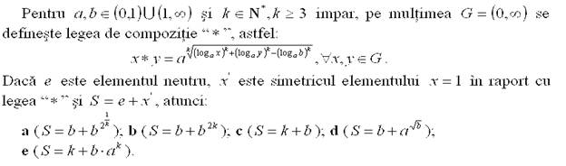
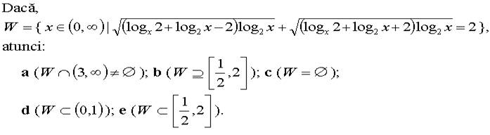
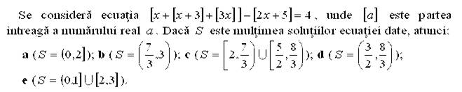
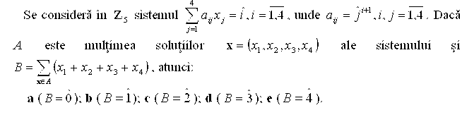
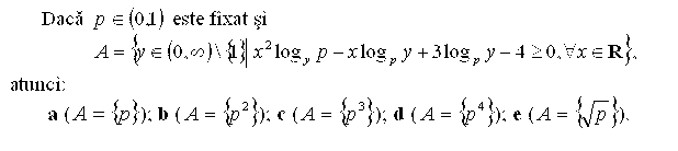
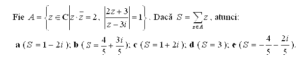
5.
Document Info
Accesari: 3060
Apreciat:
Comenteaza documentul:
Nu esti inregistrat
Trebuie sa fii utilizator inregistrat pentru a putea comenta
Creaza cont nou
A fost util?
Daca documentul a fost util si crezi ca merita
sa adaugi un link catre el la tine in site
Copiaza codul:
in pagina web a site-ului tau.
Exercitii matematica
eCoduri.com - coduri postale, contabile, CAEN sau bancare
Politica de confidentialitate
|
Termenii si conditii de utilizare
Copyright
©
Contact
(
SCRIGROUP Int. 2025
)