Am uitat parola
x
Creaza cont nou
Home
Exploreaza
Upload
Functii derivabile
Matematica
ALTE DOCUMENTE
Fisa de lucru matematica
TABEL CU DERIVATELE FUNCŢIILOR ELEMENTARE
Test inițial clasa a VII-a
Axiomele Geometriei in spatiu
Aproximatia max-log MAP
Fisa de lucru matematica clasa 1
Niculae Abramescu (1884-1947)
Puncte si multimi topologic - remarcabile in Rn
TEME ARNA II
TOPOLOGII SCOTT SI TOPOLOGII LAWSON
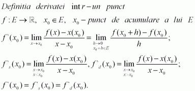
Functii derivabile
Document Info
Accesari: 1916
Apreciat:
Comenteaza documentul:
Nu esti inregistrat
Trebuie sa fii utilizator inregistrat pentru a putea comenta
Creaza cont nou
A fost util?
Daca documentul a fost util si crezi ca merita
sa adaugi un link catre el la tine in site
Copiaza codul:
in pagina web a site-ului tau.
Functii derivabile
eCoduri.com - coduri postale, contabile, CAEN sau bancare
Politica de confidentialitate
|
Termenii si conditii de utilizare
Copyright
©
Contact
(
SCRIGROUP Int. 2025
)