Documente online.
Zona de administrare documente. Fisierele tale
Am uitat parola x Creaza cont nou
 HomeExploreaza
upload
Upload




Matematici aplicate in economie - Analiza matematica - teste grila

Matematica


ALTE DOCUMENTE

Eroarea teoretica a mediei aritmetice
exercitii
Adunarea şi scăderea nr. de la 0 la 100 - Test sumativ
Trunchiul de piramidă triunghiulară regulată
LUCRARE SCRISA LA CLASA A VIII-A Mate
Serii de valori si indicatori statistici
ARII SI VOLUME
Logaritmi
TARGET-urile SIMULINK ACCELERATOR SI RAPID SIMULATION
ELEMENTE DE LOGICA DEDUCTIVA

Matematici aplicate in economie - Analiza matematica - teste grila



MULTIPLE CHOICE

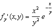
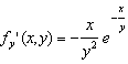
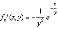
1. Sa se calculeze derivatele partiale de ordinul intai pentru urmatoarea functie:

a.

c.

b.

d.

alt raspuns.

ANS: 737j94h   A

2. Sa se calculeze derivatele partiale de ordinul intai pentru urmatoarea functie:

a.

c.

b.

d.

alt raspuns.

ANS: 737j94h   B

3. Sa se calculeze derivatele partiale de ordinul al doilea pentru urmatoarea functie:

a.

c.

b.

d.

alt raspuns.

ANS: 737j94h   A

4. Sa se gaseasca punctele stationare ale functiei urmatoare:

f(x, y) = x2 + y2 - 4x - 2y + 5 (x, y) I R2

a.

M(2,1)

c.

M(-2,1)

b.

M(2,-1)

d.

M(-1,2)

ANS: 737j94h   A

5. Sa se gaseasca punctele de extrem ale functiei urmatoare:

f(x, y) = x2 + y2 - 4x - 2y + 5 (x, y) I R2

a.

M(2,1) punct de maxim

c.

M(-2,1) punct de maxim

b.

M(2,1) punct de minim

d.

M(-1,2) punct de maxim

ANS: 737j94h   B

6. Sa se gaseasca punctele de extrem ale functiei urmatoare

cu conditia x+y=1 definit pe R2

a.

punct de minim

c.

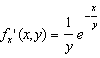
punct de minim

b.

punct de maxim

d.

d) punct de maxim

ANS: 737j94h   A

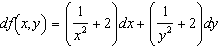
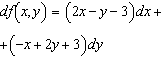
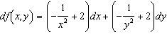
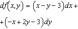
7. Scrieti diferentiala de ordinul intai a functiei

f(x,y) = x+3y+2(x2+y2-5)

a.

c.

b.

d.

ANS: 737j94h   A

8. Scrieti diferentiala de ordinul intai a functiei

a.

c.

b.

d.

ANS: 737j94h   A

9. Se da functia de doua variabile

Derivata partiala a lui f in raport cu x este:

a.

c.

b.

d.

ANS: 737j94h   C

10. Se da functia de doua variabile

Derivata partiala a lui f in raport cu y este:

a.

c.

b.

d.

ANS: 737j94h   A

11. Se da functia de doua variabile . f are punct stationar pe:

a.

M(1,-1)

c.

M(0,0)

b.

M(-1,1)

d.

M(3,0)

ANS: 737j94h   A

12. Se da functia de doua variabile .Derivata partiala de ordinul al doilea a lui f in raport cu x este:

a.

c.

b.

d.

ANS: 737j94h   A

13. Se da functia de doua variabile . Derivata partiala de ordinul al doilea a lui f in raport cu y este:

a.

c.

b.

d.

ANS: 737j94h   B

14. Se da functia de doua variabile .Alege valoarea corecta pentru

a.

c.

b.

nu exista

d.

ANS: 737j94h   D

15. Se da functia de doua variabile . Estimand valoarea expresiei si tinand cont de valoarea , stabileste natura punctului critic M(1,-1):

a.

punct de minim local

c.

nu se poate spune nimic despre natura punctului M(1,-1)

b.

punct de maxim local

d.

nu este punct de extrem local

ANS: 737j94h   A

16. Se da functia de doua variabile

Derivata partiala a lui f in raport cu x este:

a.

c.

b.

d.

ANS: 737j94h   D

17. Se da functia de doua variabile

Derivata partiala a lui f in raport cu y este:

a.

c.

b.

d.

ANS: 737j94h   B

18. Se da functia de doua variabile

Functia are punct stationar pe:

a.

M(1,-6)

c.

M(0,0)

b.

M(-1,6)



d.

M(1,0)

ANS: 737j94h   A

19. Se da functia de doua variabile . Derivata partiala de ordinul al doilea a lui f in raport cu x este:

a.

c.

b.

d.

ANS: 737j94h   B

20. Se da functia de doua variabile . Derivata partiala de ordinul al doilea a lui f in raport cu y este:

a.

c.

b.

d.

ANS: 737j94h   B

21. Se da functia de doua variabile . Alege valoarea corecta pentru

a.

c.

b.

nu exista

d.

ANS: 737j94h   A

22. Se da functia de doua variabile . Estimand valoarea expresiei si tinand cont de valoarea , stabileste natura punctului critic M(1,-6):

a.

punct de maxim local

c.

punct de minim local

b.

nu este punct de extrem local

d.

nu se poate spune nimic despre natura punctului (1,-6)

ANS: 737j94h   C

23. Se da functia de doua variabile

Derivata partiala a lui f in raport cu x este:

a.

c.

b.

d.

ANS: 737j94h   C

24.

Sa se integreze ecuatia diferentiala : xdx + ydy = 0

a.

= -+ c

c.

= -3+ c

b.

ln ( 1 +x) = -+ c

d.

alt raspuns

ANS: 737j94h   A

25.

Fie f(x,y) = 10x + 4y + 2xy + , x >0, y >0 . Derivatele partiale de ordin I sunt:

a.

c.

b.

d.

ANS: 737j94h   A

26.

Punctul stationar pentru functia:

f(x,y) = 10x + 4y + 2xy + cu x >0, y >0 este

a.

M(2, 5)

c.

M(-2, -5)

b.

M(2, 3)

d.

nu exista

ANS: 737j94h   A

27. Functia f(x,y) = 10x + 4y + 2xy + cu x >0, y >0 admite

a.

punct de maxim local M(2, 5)

c.

nu admite puncte de extreme local

b.

punct de minim local M(2, 5)

d.

punct de minim local M(2, 3)

ANS: 737j94h   B

28.

Sa se integreze ecuatia diferentiala:

(1 + y) + xyy= 0

a.

x= c

c.

x(1 + y) = c

b.

x += c

d.

-x= c

ANS: 737j94h   A

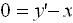
29. Sa se integreze ecuatia diferentiala omogena: y=

a.

= ln + c

c.

= 2ln +c

b.

= ln + c

d.

alt raspuns

ANS: 737j94h   A

30. Fie , rezolvand sistemul obtinut prin anularea derivatelor de ordin I se determina:

a.

punctele de maxim local

c.

punctele stationare

b.

punctele de minim local

d.

matricea hessiana

ANS: 737j94h   C

31. Diferentiala de ordin I pentru functia f(x, y, z) = x + y + z - xy + x - 2z,

(x, y, z)Reste

a.

d f(x, y, z) = (2x- y +1)dx + (2y - x)dy + (2z - 2)dz

c.

d f(x, y, z) = (x + y + z )dx + (1-xy)dy + (x-2z)dz

b.

d f(x, y, z) = (2x - xy + x)dx + y dy + (z -2z)dz

d.

d f(x, y, z) = (2x- y +1)dx + (2y - xy)dy+(2z - 2)dz

ANS: 737j94h   A

32. Functia f (x,y) = x + - 3xy definita pe

a.

admite punct de minim local M(1, 1)

c.

nu admite puncte de extrem

b.

admite punct de maxim local M(-1, 1)

d.

admite puncte de minim local pe

M(3, 2) si N(-1, 1)

ANS: 737j94h   A

33. Functia f(x, y, z) = - 2x - 4y - 6z definita pe Rare:

a.

toate derivatele de ordin 2 nule

c.

toate derivatele de ordin 2 egale cu 2

b.

toate derivatele mixte de ordin 2 nule

d.

toate derivatele de ordin 2 strict pozitive

ANS: 737j94h   B

34. Se da functia de doua variabile

Derivata partiala a lui f in raport cu y este:

a.

c.

b.

d.

ANS: 737j94h   B

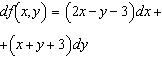
35. Se da functia de doua variabile

Diferentiala de ordinul I a lui f este

a.

c.

b.

d.



ANS: 737j94h   D

36. Se da functia de doua variabile

Derivata partiala a lui f in raport cu x este:

a.

c.

b.

d.

ANS: 737j94h   B

37. Se da functia de doua variabile

Derivata partiala a lui f in raport cu y este:

a.

c.

b.

d.

ANS: 737j94h   C

38. Se da functia de doua variabile

Diferentiala de ordinul I a lui f este

a.

c.

b.

d.

ANS: 737j94h   D

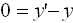
39. Fie ecuatia diferentiala

Ecuatia este

a.

cu variabile separabile

c.

o ecuatie cu derivate partiale de ordinul intai

b.

liniara de ordinul intai

d.

liniara de ordinul al doilea

ANS: 737j94h   A

40. O forma echivalenta a ecuatiei este

a.

c.

b.

d.

ANS: 737j94h   B

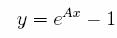
41. Solutia ecuatiei este data de

a.

c.

b.

d.

ANS: 737j94h   A

42. Fie ecuatia diferentiala

Ecuatia este

a.

liniara de ordinul intai

c.

ecuatie omogena

b.

cu variabile separabile

d.

ecuatie diferentiala de ordinul doi

ANS: 737j94h   B

43. O forma echivalenta a ecuatiei este

a.

c.

b.

d.

ANS: 737j94h   C

44. Solutia ecuatiei este data de

a.

c.

b.

d.

ANS: 737j94h   C

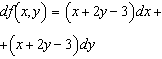
45. Scrieti diferentiala de ordinul intai a functiei

a.

c.

b.

d.

ANS: 737j94h   A

46. Consideram functia . Atunci derivata partiala de ordin intai in raport cu x este

a.

b.

c.

d.

ANS: 737j94h   C

47. Consideram functia . Atunci derivata partiala de ordin intai in raport cu y este

a.

b.

c.

d.

ANS: 737j94h   D

48. Consideram functia . Atunci diferentiala de ordinul al doilea a lui f este

a.

b.

c.

d.

ANS: 737j94h   B

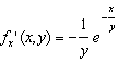
49. Se da functia de doua variabile . Derivata partiala a lui f in raport cu x este

a.

b.

c.

d.

alt raspuns

ANS: 737j94h   C

50. Se da functia de doua variabile . Derivata partiala a lui f in raport cu y este

a.

b.

c.

d.

alt raspuns

ANS: 737j94h   B

51. Se da functia de doua variabile . Diferentiala de ordinul al doilea al lui f este

a.

b.

c.

d.

alt raspuns

ANS: 737j94h   C

52. Derivata partiala a lui in raport cu variabila x este egala cu

a.

c.

b.

d.

ANS: 737j94h   A

53. Derivata partiala la lui in raport cu variabila x este egala cu

a.

c.

b.

d.

ANS: 737j94h   A

54. Derivata partiala la lui in raport cu variabila y este egala cu

a.

c.

b.

d.

ANS: 737j94h   D

55. Derivata partiala a lui in raport cu variabila y este egala cu

a.



c.

b.

d.

ANS: 737j94h   A

56. Se considera functia . Atunci derivata mixta de ordin 2 data de

este egala cu

a.

c.

b.

d.

6y

ANS: 737j94h   C

57. Se considera functia . Atunci derivata mixta de ordin 2 data de

este egala cu

a.

c.

b.

d.

2y

ANS: 737j94h   D

58. Se considera functia . Atunci derivata mixta de ordin 2 data de

este egala cu

a.

c.

b.

d.

2y

ANS: 737j94h   D

59. Se considera functia . Atunci derivata mixta de ordin 2 data de

este egala cu

a.

c.

b.

d.

2y

ANS: 737j94h   D

60. Se considera functia . Atunci punctele stationare(numite deasemenea puncte critice) ale lui f(x,y)

sunt

a.

c.

b.

d.

nu exista puncte stationare

ANS: 737j94h   A

61. Se considera functia . Atunci punctele stationare(numite deasemenea puncte critice) ale lui f(x,y)

sunt

a.

c.

b.

d.

nu exista puncte stationare

ANS: 737j94h   C

62. Se considera functia . Atunci punctele stationare(numite deasemenea puncte critice) ale lui f(x,y)

sunt

a.

c.

b.

d.

nu exista puncte stationare

ANS: 737j94h   C

63. Se considera functia . Atunci punctele stationare(numite deasemenea puncte critice) ale lui f(x,y)

sunt

a.

c.

b.

d.

nu exista puncte stationare

ANS: 737j94h   C

64. Se considera functia . Atunci

punctul (0,0) este un punct

a.

de minim local pentru f(x,y)

c.

nu este punct de extrem local

b.

de maxim local pentru f(x,y)

 

ANS: 737j94h   A

65. Care din urmatoarele functii are exact 2 doua puncte stationare

a.

f(x,y)=x+y

c.

f(x,y)=x+2y

b.

d.

ANS: 737j94h   B

66.   Care din urmatoarele ecuatii nu reprezinta o ecuatie diferentiala?

a.

c.

b.

d.

ANS: 737j94h   C

67.   Care din urmatoarele ecuatii diferentiale este o ecuatie diferentiala cu variabile separabile?

a.

c.

b.

d.

ANS: 737j94h   C

68.   Care este solutia generala a ecuatiei diferentiale

a.

, A este o constanta 

b.

,  A este o constanta 

c.

   A este o constanta 

d.

,  A este o constanta 

ANS: 737j94h   B

69. Fie . Sa se calculeze

a.

c.

b.

d.

ANS: 737j94h   A

70. Fie . Sa se calculeze

a.

c.

b.

d.

ANS: 737j94h   B

71. Fie . Atunci

a.

c.

b.

d.

ANS: 737j94h   D

72. Fie . Atunci

a.

c.

b.

d.

ANS: 737j94h   B

73. Fie . Atunci

a.

c.

b.

d.

ANS: 737j94h   C

74. Fie . Atunci

a.

c.

b.

d.

ANS: 737j94h   A

75. Fie . Atunci

a.

c.

b.

d.

ANS: 737j94h   B




Document Info


Accesari: 9327
Apreciat: hand-up

Comenteaza documentul:

Nu esti inregistrat
Trebuie sa fii utilizator inregistrat pentru a putea comenta


Creaza cont nou

A fost util?

Daca documentul a fost util si crezi ca merita
sa adaugi un link catre el la tine in site


in pagina web a site-ului tau.




eCoduri.com - coduri postale, contabile, CAEN sau bancare

Politica de confidentialitate | Termenii si conditii de utilizare




Copyright © Contact (SCRIGROUP Int. 2025 )