Matematici economice
MULTIPLE CHOICE
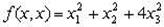
1.
Fie functia
.
Atunci
|
a. |
f are limita în origine |
|
b. |
f nu are limita în origine |
|
c. |
f nu ste marginita; |
|
d. |
|
|
e. 828u203i |
|
ANS: A
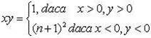
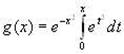
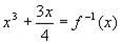
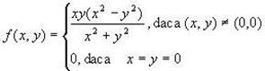
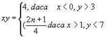
2. Fie functia
Atunci
:
|
a. |
f este continua în raport cu ansamblul variabilelor în origine |
|
b. |
f nu este continua în raport cu x în origine |
|
c. |
f nu este continua în raport cu y în origine |
|
d. |
|
|
e. 828u203i |
|
ANS: A
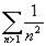
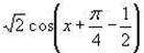
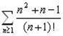
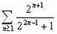
3. Fie functia .
.
Atunci:
|
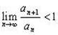
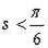
a. |
f este uniform continua |
|
b. |
f este marginita |
|
c. |
f nu este uniform continua în raport cu x |
|
d. |
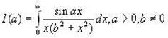
f nu este uniform continua în raport cu y |
|
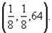
e. 828u203i |
imaginea prin f a
multimii |
ANS: A
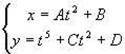
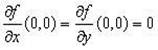
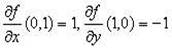
4. Fie functia
Atunci
avem
|
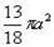
a. |
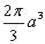
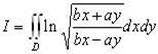
Exista df(0,0) |
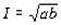
|
b. |
|
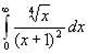
|
c. |
|
|
d. |
|
|
e. 828u203i |
|
ANS: A
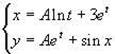
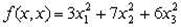
5.
Fie functia
.
Atunci
|
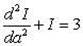
a. |
|
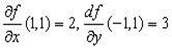
|
b. |
|
|
c. |
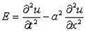
|
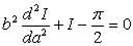
|
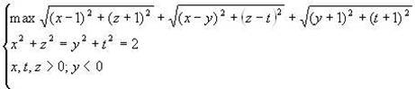
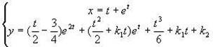
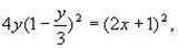
d. |
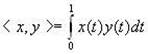
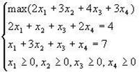
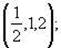
|
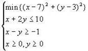
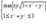
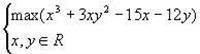
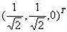
|
e. 828u203i |
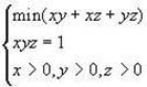
|
ANS: A
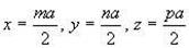
6. Fie functia
.
Atunci
|
a. |
|
|
b. |
|
|
c. |
|
|
d. |
|
|
e. 828u203i |
|
ANS: A
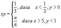
7. Suma x ( unitati monetare) se plaseaza
partenerului P2 de catre partenerul P1 obtinându-se profitul p(x) încât pentru x+y
profitul este
.
Atunci:
|
a. |
|
|
b. |
|
|
c. |
|
|
d. |
|
|
e. 828u203i |
|
ANS: A
8. Suma x (unitati monetare) se plaseaza
partenerului P2 de catre partenerul P1 obtinându-se
profitul y astfel încât
Atunci
perechea (x,y) este:
|
a. | |
|
b. | |
|
c. | |
|
d. | |
|
e. 828u203i |
ANS: A
9. Fie
.
Atunci:
|
a. |
|
|
b. |
|
|
c. |
|
|
d. |
|
|
e. 828u203i |
|
ANS: A
10.
Solutia problemei:
este:
|
a. | |
|
b. |
|
|
c. |
|
|
d. |
|
|
e. 828u203i |
ANS: A
11. Fie
si
.
Valoarea lui x pentru care minimul lui f are cea mai mica valoare este:
|
a. |
|
|
b. |
|
|
c. |
|
|
d. |
|
|
e. 828u203i |
|
ANS: E
12. Solutia problemei
este:
|
a. |
|
|
b. |
|
|
c. |
|
|
d. |
|
|
e. 828u203i |
|
ANS: A
13.
Solutia problemei:

Este:
|
a. | |
|
b. | |
|
c. | |
|
d. | |
|
e. 828u203i |
ANS: A
14.
Solutia problemei

Este
|
a. |
|
|
b. |
|
|
c. |
2ab |
|
d. |
|
|
e. 828u203i |
|
ANS: A
15.
Vectorii v1,v2,v3 sunt liniar independenti. Atunci vectorii u1,u2,u3, unde
u1=v1+2v2 - v3 ; u2=2v1-3v2 +1 v3 ; u3=3v1-8v2 -5 v3 sunt:
|
a. |
liniar independenti |
|
b. |
liniar dependentI |
|
c. |
ortogonali |
|
d. |
coliniari |
|
e. 828u203i |
planari |
ANS: A
16. Un partener P1 plaseaza partenerului P2
suma x (unitati monetare) cu profitul f(x) astfel încât
.
Atunci suma investita este:
|
a. | |
|
b. | |
|
c. | |
|
d. | |
|
e. 828u203i |
ANS: E
17.
Solutia problemei:
|
a. |
|
|
b. |
|
|
c. | |
|
d. |
|
|
e. 828u203i |
|
ANS: A
18. Fie V spatiul vectorial al
functiilor polinomiale definite pe [0,1] cu valori în R. Pentru orice P? V se defineste
Q = T(P) ? V astfel:
.
Atunci aplicatia
este:
|
a. |
Liniara |
|
b. |
Constanta |
|
c. |
|
|
d. |
ker T = R |
|
e. 828u203i |
Im(T)= Z (mutimea numerelor întregi) |
ANS: A
19. Fie
un numar dat si x,y ? R astfel încât: .
Atunci avem:
|
a. |
|
|
b. |
|
|
c. |
|
|
d. |
|
|
e. 828u203i |
|
ANS: A
20. Se investeste suma x (unitati monetare)
si se obtine profitul y astfel încât
.
Atunci perechea (x,y) este:
|
a. | |
|
b. | |
|
c. | |
|
d. |
(90,143) |
|
e. 828u203i |
ANS: A
21. Folosind notiunea de diferentiala, o
aproximatie a numarului
cu
o precizie de 10-3este:
|
a. | |
|
b. | |
|
c. | |
|
d. | |
|
e. 828u203i |
ANS: A
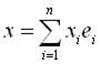
22. Fie vectorul x = e1+e2+e3+e4,
unde este o baza. Fie
o
alta baza unde:.
Expresia lui x în baza e
ste:
|
a. |
|
|
b. |
|
|
c. |
|
|
d. |
|
|
e. 828u203i |
|
ANS: A
23.
Se considera sistemul:
O baza a subspatiului
solutiilor acestui sistem este:
|
a. | |
|
b. | |
|
c. | |
|
d. | |
|
e. 828u203i |
ANS: A
24.
Fie o transformare liniara definita de matricea:
În raport cu baza . Atunci vectorii proprii ai acestei transform[ri liniare sunt
|
a. |
u = c1(e1 + e2), v = c2(e1-e2) |
|
b. |
c1(2e1 + e2), v = c2(2e1-e2) |
|
c. |
u = c1(e1 + 2e2), v = c2(2e1 - 3e2) |
|
d. |
u = c1(3e1 + 4e2), v = c2(4e1-3e2) |
|
e. 828u203i |
u = c1(-e1 - e2), v = c2( |
ANS: A
25. În spatiul Euclidian R4 se considera vectorii; x = (4, 1, 2, 2), y = (1, 3, 3, -9). Atunci unghiul vectorilor x,y este:
|
a. |
174o15' |
|
b. |
98O |
|
c. |
89O15' |
|
d. |
30O |
|
e. 828u203i |
109O30' |
ANS: A
26.
Se considera spatiul vectorial al polinoamelor de grad cel mult doi si produsul scalar a doua polinoame x=x(t), y=y(t), t?[0,1] se defineste astfel:

O baza ortonormata folosind baza t2, t, 1 este:
|
a. |
|
|
b. |
|
|
c. |
|
|
d. |
|
|
e. 828u203i |
|
ANS: A
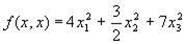
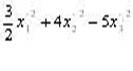
27. Fie forma patratica
,
atunci forma sa canonica este:
|
a. |
|
|
b. |
|
|
c. |
|
|
d. |
|
|
e. 828u203i |
|
ANS: A
28.
Solutia problemei:
|
a. | |
|
b. |
|
|
c. | |
|
d. | |
|
e. 828u203i |
ANS: A
29.
Reutilarea unei întreprinderi cu utilaje de mare randament este în curs de realizare. 828u203i Utilajele sunt strunguri P1 si freze P2 masurate în masini ore. 828u203i Materia prima este otel P3 masurata în kilograme. 828u203i Forta de munca P4se masoara în om-ore. 828u203i Pentru perioada de plan actuala intreprinderea dispune de cele patru resurse dupa cum urmeaza: 1000,800, 4000, 4000 unitati. Se fabrica 8 feluri de produse Qj masurate în bucati. Consumul din resursa Pi la fabricarea unui produs Qj este dat prin tabelul:
|
Q1 |
Q2 |
Q3 |
Q4 |
Q5 |
Q6 |
Q7 |
Q8 |
|
|
P1 | ||||||||
|
P2 | ||||||||
|
P3 | ||||||||
|
P4 |
Din produsul Q3 s-au contractat 50 de bucati si se pot desface oricâte. 828u203i Din Q4 se pot vinde cel mult 10 bucati. Din Q5 planul prevesde fabricarea a cel putin 20 si cel mult 40 de bucati. Din Q8 se cer fabricarea a 50 de bucati. Din Q1si Q2 la un loc, Q5, Q6 si Q7 se fabrica din motive tehnice în proportie de 1:4:8:8. beneficiul masurat în lei la un produs este pe rând: 15,5,10,10,20,12,4,20.
Planul de productie xj j = 1,2,..., 8 în perioada de plan actuala pentru ca beneficiul sa fie maxim este:
|
a. |
x1 = 5, x2 = 0, x3=83, x4 = 10, x5 = 23, x6 = 46, x7 = 46, x8 = 50 |
|
b. |
x1 = 4, x2 = 1, x3=89, x4 = 11, x5 = 20, x6 = 40, x7 = 40, x8 = 51 |
|
c. |
x1 = 9, x2 = 1, x3=90, x4 = 21, x5 = 22, x6 = 24, x7 = 20, x8 = 50 |
|
d. |
x1 = 10, x2 = 5, x3=60, x4 = 20, x5 = 23, x6 = 14, x7 = 10, x8 = 10 |
|
e. 828u203i |
x1 = 8, x2 = 6, x3=80, x4 = 30, x5 = 24, x6 = 30, x7 = 30, x8 = 30 |
ANS: A
30. Graficul curbei
contine
o bucla a carei arii este:
|
a. |
|
|
b. |
|
|
c. |
|
|
d. |
a2 |
|
e. 828u203i |
|
ANS: A
31. Aria suprafetei cilindrului x2 = 2z decupata pe planele x - 2y = 0, y = 2x, x = .... este:
|
a. | |
|
b. | |
|
c. | |
|
d. | |
|
e. 828u203i |
ANS: C
32. Forma canonica a formei patratice
este:
|
a. |
|
|
b. |
|
|
c. |
|
|
d. |
|
|
e. 828u203i |
|
ANS: A
33.
Solutia problemei:
este:
|
a. |
|
|
b. |
|
|
c. |
|
|
d. |
|
|
e. 828u203i |
|
ANS: A
34. Fie
X, Y spatii liniare de dimensiune algebrica finita ,
o
baza algebrica în X,
o
baza algebrica în Y ,,
.
De
finim
astfe
l,daca atunc
i
. Aplic
atia
T este:
|
a. |
Liniara |
|
b. |
Patratica |
|
c. |
|
|
d. |
|
|
e. 828u203i |
Matricea asociata lui T este singulara. |
ANS: A
35. Fie G un graf cu n vârfuri având gradul mai mare sau egal cu k. Atunci:
|
a. |
G contine un ciclu elementar de lungime mai mare sau egal cu k + 1 |
|
b. |
G contine un ciclu elementar mai mic decât 2k+3 |
|
c. |
G nu contine cicluri elementare; |
|
d. |
Orice 2 vârfuri nu pot fi unite printr-un lant hamlintonian; |
|
e. 828u203i |
Numarul cromatic al lui G este mai mare decât 5 |
ANS: A
36. Fie G un graf-turneu si x, y doua vârfuri. Atunci
|
a. |
x si y se pot uni printr-un drum format din doua arce; |
|
b. |
x si y se pot uni printr-un drum format din trei arce; |
|
c. |
x si y se pot uni printr-un singur arc; |
|
d. |
x si y sunt vârfuri ale unui circuit; |
|
e. 828u203i |
x si z se pot uni printr-un drum având cel mult doua arce. 828u203i |
ANS: A
37. Fie aplicatia
.
At
unci
matricea aplicatiei T în raport cu bazele B si B' este:
|
a. |
|
|
b. |
|
|
c. |
|
|
d. |
|
|
e. 828u203i |
|
ANS: A
38. Fie vectorii v1=(a,1,1), v2 = (1,a,1), v3 = (1,1,a). Acesti vectori sunt liniar independenti daca:
|
a. |
a = -2, a = 1; |
|
b. |
a = 3, a = - 1 |
|
c. |
a = - 3, a = - 5 |
|
d. |
|
|
e. 828u203i |
|
ANS: A
39. 35. Fie E spatiul euclidian al polinoamelor cu coeficienti reali de grad cel mult n. Daca:
P(x)=a0+a1x+.+anxn
si p(P)=![]()
Atunci avem:
|
a. |
p este norma pe E; |
|
b. |
p( |
|
c. |
p( |
|
d. |
p( |
|
e. 828u203i |
p( |
ANS: A
40. O baza ortonormata in
este:
|
a. |
|
|
b. |
|
|
c. |
|
|
d. |
|
|
e. 828u203i |
|
ANS: A
41. Seria
are suma
|
a. |
- ln 2 |
|
b. |
|
|
c. |
ln 5 |
|
d. |
ln |
|
e. 828u203i |
ln3 |
ANS: A
42. Seria
are suma:
|
a. | |
|
b. | |
|
c. | |
|
d. |
e2 |
|
e. 828u203i |
|
ANS: A
43. Sirul (an)n?N este o progresie aritmetica. Seria cu termenul general
,
a1>0, r ratia progresiei are suma;
|
a. |
ra1 |
|
b. |
|
|
c. |
3r2a1 |
|
d. |
|
|
e. 828u203i |
|
ANS: A
44. Seria
,
a > 1 are suma:
|
a. |
|
|
b. |
|
|
c. |
|
|
d. |
3a2 |
|
e. 828u203i |
|
ANS: A
45. Fie seria
.
Atunci:
|
a. |
Criteriul lui Cauchy este concludent; |
|
b. |
Criteriul lui D'Alembert este concludent; |
|
c. |
|
|
d. |
a <1 , seria este divergenta; |
|
e. 828u203i |
a > 1 , seria este convergenta |
ANS: B
46. Fie S suma seriei
,
atunci:
|
a. |
|
|
b. |
|
|
c. |
|
|
d. |
s < 1,75 |
|
e. 828u203i |
seria este divergenta |
ANS: C
47. Suma seriei
este
|
a. |
Numar întreg |
|
b. |
Numar rational |
|
c. |
Numar irational |
|
d. |
Numar transcedent |
|
e. 828u203i |
numar algebric |
ANS: C
48. Fie seria
,
x > 0. Atunci;
|
a. |
Seria este divergenta pe (0,1); |
|
b. |
Seria este
uniform convergenta pe |
|
c. |
Seria converge
uniform pe |
|
d. |
|
|
e. 828u203i |
Suma seriei nu depinde de x |
ANS: C
49. Raza de convergenta a seriei
este:
|
a. | |
|
b. |
|
|
c. | |
|
d. | |
|
e. 828u203i |
ANS: A
50. Valoarea aproximativa a numarului
cu o eroare mai mica ca 10-8 folosind seria lui Taylor este:
|
a. | |
|
b. | |
|
c. | |
|
d. | |
|
e. 828u203i |
ANS: A
51. Valoarea aproximativa a lui
plecând
de la seria lui Taylor pentru arcsinx este;
|
a. | |
|
b. | |
|
c. | |
|
d. | |
|
e. 828u203i |
ANS: A
52. Valoarea lui
cu
cinci zecimale exacte este:
|
a. | |
|
b. | |
|
c. | |
|
d. | |
|
e. 828u203i |
ANS: A
53. Multimea de convergenta a seriei
este:
|
a. | |
|
b. |
|
|
c. | |
|
d. | |
|
e. 828u203i |
ANS: A
54. Înlocuind cresterea functiei cu diferentiala
ei, valoarea aproximativa a numarului
este. 828u203i
|
a. | |
|
b. | |
|
c. | |
|
d. | |
|
e. 828u203i |
ANS: A
55. Folosind derivarea în raport cu un parametru, integrala
are valoarea:
|
a. |
|
|
b. |
ln2 |
|
c. |
|
|
d. |
|
|
e. 828u203i |
|
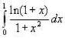
ANS: A
56. Valoarea integralei
folosind integrala e
ste:
|
a. |
|
|
b. |
|
|
c. |
|
|
d. |
|
|
e. 828u203i |
|
ANS: A
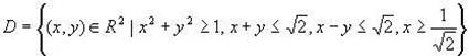
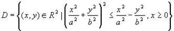
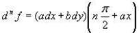
57. Fie
.
Aria domeniului D este:
|
a. |
|
|
b. |
|
|
c. |
|
|
d. |
|
|
e. 828u203i |
|
ANS: A
58. Fie D un domeniu marginit de curbele y = x2 , y = 2|x| - 1 . Valoarea
integralei
este:
|
a. |
|
|
b. |
ln 68 - 2; |
|
c. |
|
|
d. |
|
|
e. 828u203i |
|
ANS: A
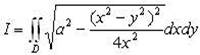
59. Curba încât segmentul T1T2 al tangentei cuprins între axele de coordonate sî aiba lungimea a este:
|
a. |
|
d. |
|
|
b. |
|
e. 828u203i |
y2 - 2ax + x2 = 2. |
|
c. |
y = 2ax; | ||
ANS: A
60.
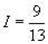
si .
Atunci valoarea lui I este:
|
a. |
|
|
b. |
a2 |
|
c. |
|
|
d. |
|
|
e. 828u203i |
|
ANS: A
61. Fie
si .
Atunci valoarea lui I este:
|
a. |
|
|
b. |
a2 |
|
c. |
|
|
d. |
|
|
e. 828u203i |
|
ANS: A
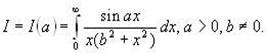
62. Fie
si
.
Valoarea lui I folosind integrala e
ste:
|
a. |
|
|
b. |
|
|
c. |
39 |
|
d. | |
|
e. 828u203i |
|
ANS: A
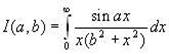
63. Consideram integrala
.
Valoarea acestei integrale este:
|
a. |
|
|
b. |
|
|
c. |
|
|
d. |
|
|
e. 828u203i |
|
ANS: A
64. În domeniul
si se considera integrala:
|
a. |
|
|
b. |
|
|
c. |
|
|
d. |
|
|
e. 828u203i |
|
ANS: A
65. Fie
.
Atunci avem:
|
a. |
|
|
b. |
I = 6 |
|
c. |
I = 38; |
|
d. |
|
|
e. 828u203i |
I = 41 |
ANS: A
66.
Fie domeniul
si consideram integrala:

Atunci avem pentru I valoarea:
|
a. |
|
|
b. |
|
|
c. |
|
|
d. | |
|
e. 828u203i |
6π - |
ANS: A
67. Fie domeniul
,consideram
integrala ,
a > 0, b > 0.Atunci avem:
|
a. |
|
|
b. |
|
|
c. |
I = 32ab |
|
d. |
|
|
e. 828u203i |
I = 32ab. |
ANS: A
68.
Fie integrala
unde
D este definit astfel:
Atunci valoarea lui I este:
|
a. |
|
|
b. |
|
|
c. |
|
|
d. |
23e + 4 |
|
e. 828u203i |
|
ANS: A
69. Fie integrala
si
D definit astfel:
a
> 0, b > 0.
Atunci valoarea lui I este:
|
a. |
|
|
b. |
|
|
c. |
|
|
d. |
|
|
e. 828u203i |
|
ANS: A
70. Integrala
,
unde
are
valoarea:
|
a. |
|
|
b. | |
|
c. | |
|
d. | |
|
e. 828u203i |
|
ANS: A
71. Se plaseaza suma x si se obtine beneficiul
f(x) încât el este egal cu beneficiul marginal la sumei
.
Atunci beneficiul este:
|
a. |
|
|
b. |
|
|
c. |
|
|
d. |
|
|
e. 828u203i |
|
ANS: A
72. Se investeste suma x (unitati monetare) si se obtine profitul f(x) egal cu profitul marginal al sumei 1-x si f(0,5) = 1. Atunci profitul este:
|
a. |
|
|
b. |
|
|
c. |
|
|
d. |
|
|
e. 828u203i |
|
ANS: A
73. Fie
Daca
,
atunci:
|
a. |
|
|
b. |
|
|
c. |
|
|
d. |
|
|
e. 828u203i |
|
ANS: A
74. Solutia ecuatiei diferentiale y''' - 6y'' + 11y' - 6y = 0 este:
|
a. |
|
|
b. |
|
|
c. |
|
|
d. |
|
|
e. 828u203i |
|
ANS: A
75. Solutia ecuatiei diferentiale y'' + a2 y = 0 este:
|
a. |
y = A cos ax + B sin ax |
|
b. |
y = A tg ax + B ctg ax |
|
c. |
y = A cos 3ax + B sin 3ax |
|
d. |
y = A tg 3ax + B cosec ax |
|
e. 828u203i |
y = Ax cos ax + Bx2 sin 3ax |
ANS: A
76. Pe axa Ox in sens pozitiv se deplaseaza cu viteza de 2m/s un punct material P. În planul xoy se deplaseaza un punct M cu viteza v = 4m/s încât vectorul viteza este orientat spre P. Traictoria punctului M este:
|
a. |
|
|
b. |
|
|
c. |
|
|
d. |
|
|
e. 828u203i |
|
ANS: A
77. Solutia ecuatiei diferentiale y'' + y' + ae-2x y = 0 este:
|
a. |
|
|
b. |
|
|
c. |
|
|
d. |
|
|
e. 828u203i |
|
ANS: A
78. Sa se integreze ecuatia diferentiala y''+ 4x y'3 + 4e-2y y'3 = 0 luând pe x ca functie necunoscuta si y variabila independenta. Curba integrala având o asimptota verticala si a carei tangenta în punctul de intersectie al curbei cu Ox este paralela cu prima bisectoare este
|
a. |
|
|
b. |
|
|
c. |
|
|
d. |
|
|
e. 828u203i |
|
ANS: A
79. Functia f care are proprietatea:
f(x+y)+f(x-y)=f(x)f(y) pentru x,y
este:
|
a. |
|
|
b. |
|
|
c. |
|
|
d. |
|
|
e. 828u203i |
|
ANS: A
80. Fie functia
.
Ecuatia diferentiala având solutia functia g este:
|
a. |
g''(x)+ 2x g'(x) + 2g(x)= 0; |
|
b. |
g''(x)+ 2x g'(x) + 2g(x)= 0; |
|
c. |
g''(x)+ x g'(x) + g(x)= x; |
|
d. |
|
|
e. 828u203i |
ex g''(x)+ e4x g'(x) + 3x = 0 |
ANS: A
81. Fie functia diferentiala
astfel încât:
,
o
constanta.
Atunci avem:
|
a. |
|
|
b. |
|
|
c. |
|
|
d. |
|
|
e. 828u203i |
|
ANS: A
82. Ecuatia diferentiala
se
integreza cu solutia u(x)= .
Atunci:
|
a. |
|
|
b. |
|
|
c. |
|
|
d. |
|
|
e. 828u203i |
|
ANS: A
83. Solutia ecuatiei diferentiale
este:
|
a. |
x2 + y2 = (y + a)2 |
|
b. |
x2 - y2 = (y + a)2 |
|
c. |
2x2 - y2 = (y - a)2 |
|
d. |
2x2 + 3y2 = (y - 3a)2 |
|
e. 828u203i |
2x2 - by2 = (ay + b)2 |
ANS: A
84. Functia y = y(x) astfel încât:
y''' = 24x, y(0) = y'(0) = 1, y''(0) = 2
este:
|
a. |
y = x4 + x2 + x + 1; |
|
b. |
y = x4 - x2 + x - 1; |
|
c. |
y = x4 - 2x2 + x + 1 |
|
d. |
y = (x2 - 1)2 - 3x3 ; |
|
e. 828u203i |
y = (x2 + 1)2 + 4x2 - 3 |
ANS: A
85. Solutia ecuatiei diferentiale
încât y(0) = 1, y'(0) = 1 este:
|
a. |
|
|
b. |
|
|
c. |
|
|
d. |
|
|
e. 828u203i |
|
ANS: A
86. Solutia ecuatiei diferentiale
este:
|
a. |
|
|
b. |
|
|
c. |
y = A tg x + B ctg x + 3cos x; |
|
d. |
|
|
e. 828u203i |
|
ANS: A
87. Fie
.
Atunci:
|
a. |
|
|
b. |
|
|
c. |
|
|
d. |
|
|
e. 828u203i |
|
ANS: A
88. Solutia ecuatiei diferentiale
este:
|
a. |
|
|
b. |
|
|
c. |
|
|
d. |
|
|
e. 828u203i |
|
ANS: A
89. Solutia ecuatiei diferentiale
este:
|
a. |
|
|
b. |
|
|
c. |
|
|
d. |
|
|
e. 828u203i |
|
ANS: A
90. Solutia ecuatiei diferentiale
este
|
a. |
|
|
b. |
|
|
c. |
|
|
d. |
|
|
e. 828u203i |
|
ANS: A
91. Diferentiala de ordinul II a functiei z = 2x2 - 3xy - y2 este:
|
a. |
|
|
b. |
|
|
c. |
|
|
d. |
|
|
e. 828u203i |
|
ANS: A
92. Fie u = f(x-at) + g(x+at) si
,
atunci:
|
a. |
E = 1 |
|
b. |
E = 0 |
|
c. |
E = |
|
d. |
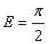
E = -3 |
|
e. 828u203i |
E = 4 |
ANS: B
93. Fie ecuatia
atunci:
|
a. |
|
|
b. |
|
|
c. |
|
|
d. |
|
|
e. 828u203i |
|
ANS: D
94. Solutia problemei :
Este:
|
a. |
P(1,2); |
|
b. |
Q(2,1) |
|
c. |
L(-1,-2) |
|
d. |
S(-2,-1) |
|
e. 828u203i |
T(3,4) |
ANS: D
95. Solutia problemei:
Este:
|
a. |
|
|
b. | |
|
c. |
|
|
d. |
|
|
e. 828u203i |
|
ANS: A
96. Solutia problemei de extrem:

Este:
|
a. |
|
|
b. |
|
|
c. |
|
|
d. |
|
|
e. 828u203i |
|
ANS: A
97. Minimul local al functiei f(x,y,z) = x3 + y2 + z2 +12xy + 2z este;
|
a. | |
|
b. | |
|
c. | |
|
d. | |
|
e. 828u203i |
ANS: A
98. Solutia problemei de extrem:

Este:
|
a. | |
|
b. |
|
|
c. |
|
|
d. |
|
|
e. 828u203i |
|
ANS: A
99. Triunghiul OAB definit de axele de coordonate ox, oy si de dreapta x+y = 1 este dat: Punctul din interiorul triunghiului dat încât suma distantelor la vârfurile sale este minima este:
|
a. |
|
|
b. |
|
|
c. |
|
|
d. |
|
|
e. 828u203i |
ANS: A
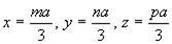
100. Fie a > 0 un numar dat si m,n,p numere naturale date. 828u203i Numerele reale x,y,z astfel încât
x + y + z = a având proprietatea ca xn + ym = p are valoarea minima sunt:
|
a. |
x = ma, y=na, z=pa |
|
b. |
|
|
c. |
x = m+n+p, y = am+n+p, z = m+an+p |
|
d. |
|
|
e. 828u203i |
|
ANS: E
|