ALTE DOCUMENTE |
Siruri
Marginea superioara si marginea inferioara a unei submultimi a lui R
Majorant , minorant pentru o multime
Fie A o multime nevida a lui R
Def. Fie A
R.Un numar a
R se numeste majorant pentru multimea A , daca pentru orice x
A , x
a. Un numar b
R se numeste minorant pentru multimea A , daca pentru orice x
A , b
x.
Def.Fie
A
R.Multimea A se spune ca este majorata daca are cel putin un
majorant.Multimea A se numeste minorata daca are cel putin un minorant.
Def.
Fie A
R.Multimea A este marginita daca este atat minorata cat si
majorata.
Propozitie. Fie A
R.Multimea A este marginita
, astfel incat
.
Def.Numarul
M
R se numeste margine
superioara (supremum) a multimi A daca si numai daca au loc relatiile :
1) M este un majorant
pentru A (x
M ,
)
2) M este cel mai mic
majorant a lui A , in sensul ca pentru orice
exista un
astfel incat
.
Notam marginea superioara cu sup A = M
Propozitie. Fie A
R.Multimea A admite o margine superioara
A este majorata.In plus marginea superioara este unica.
Def.Numarul
m
R se numeste margine
inferioara (infimum) a multimi A daca si numai daca au loc relatiile :
1) m este un minorant
pentru A (x
m ,
)
2) m este cel mai mare
minorant a lui A , in sensul ca pentru orice
exista un
astfel incat
.
Notam marginea inferioara cu inf A = m
Propozitie. Fie A
R.Multimea A admite o margine inferioara
A este minorata.In plus marginea inferioara este unica.
Observatii.Daca sup A = M
A , atunci M se numeste cel mai mare element a lui A si se
noteaza cu M = max A. Daca inf A = m
A , atunci m se numeste cel mai mic element a lui A si se
noteaza cu m = min A.
Definirea unui sir
Def.Se
numeste sir de numere reale orice functie x : N - A
R , unde A este o submultime finita a lui N.
Modalitati de definire a unui sir
- Printr-o regula de calcul
- Prin mai multe reguli de calcul
- Printr-o relatie de recurenta
Siruri marginite
Def.Se
spune ca sirul (xn) este marginit superior (majorat) daca exista b
R astfel incat xn
b
n.
Obs.1)Numarul
b din definitie se numeste majorant pentru termenii sirului si orice b'
b este de asemenea un majorant pentru termenii sirului.
2)Sirul (xn) este marginit superior
Mx este o multime majorata.
3)Sirul (xn) nu este marginit superior daca
b
R ,
xn (un
termen , cel putin) astfel incat xn > b.
Def.
Se spune ca sirul (xn) este marginit inferior (minorat) daca exista
a
R astfel incat a
xn
n.
Obs.1)Numarul
a din definitie se numeste minorant pentru termenii sirului si orice numar a'
a este de
asemenea un minorant pentru termenii
sirului.
2)Sirul (xn) este marginit inferior
Mx este o multime minorata.
3)Sirul (xn) nu este marginit inferior daca
a
R ,
xn (un
termen , cel putin) astfel incat xn < a.
Def.Se
spune ca sirul (xn) este marginit daca exista numerele reale a , b
R astfel incat a
xn
b
n.
Obs.Deci
un sir (xn) este marginit
(xn) este amrginit atat inferior cat si
superior.Prin urmare exista un interval inchis [a , b] , a ,b
R in care sa se afle toti termenii sirului.
Propozitie.Sirul (xn) este marginit
, astfel incat
.
Def.Un sir care nu este marginit se numeste nemarginit.
Siruri monotone
Def.Se
spune ca sirul (xn)n
0 este :
Un sir care este strict crescator sau strict descrescator se numeste strict monoton.
Obs.Intr-un sir strict crescator orice termen este strict mai mare decat precedentul , iar intr-un sir descrescator orice termen este strict mai mic decat precedentul.
Def.Se
spune ca sirul (xn)n
0 este :
Un sir care este crescator sau descrescator se numeste monoton.Intr-un sir crescator orice tremen este mai mare sau egal cu precedentul , iar intr-un sir descrescator orice termen este mai mic sau egal cu precedentul.
Obs.Un sir crescator este marginit inferior de primul termen x0 iar un sir descrescator este marginit superior de primul termen x0.
Pentru a stabili monotonia unui sir se face diferenta a doi termeni
consecutivi oarecare an+1 - an , sau in cazul in care
termenii sunt pozitivi se face catul a doi termeni consecutivi
.Avem rezultatele:
Daca
Daca (an > 0)
< 1
n , atunci sirul este strict
descrescator
> 1
n , atunci sirul este strict
crescator
1
n , atunci sirul este descrescator
![]()
1
n , atunci sirul este crescator
< 1
n , atunci sirul este strict
descrescator
Vecinatati pe axa reala
Notiunea de vecinatate
Fie a
R si V
R
Def.Multimea
V se numeste vecinatate a lui a daca exista
,
astfel incat a
.
Deci pe R orice multime care contine un interval deschis in care se afla punctul a este o vecinatate pentru a.Evident pentru a exista o infinitate de vecinatati.
Se noteaza prin Va multimea tuturor vecinatatilor punctului a.
Proprietati:
- a
V ![]()
(orice vecinatate isi
contine punctul)
- daca V
, iar
atunci U![]()
- daca V1 ,V2
Va , atunci V1
V2
Va (intersectia a doua vecinatati ale lui a este o
vecinatate a lui a)
De asemenea daca x1 , x2
R , x1
x2 , atunci exista V1![]()
, V2 ![]()
, astfel incat V1
V2 =
(proprietatea de separare pentru R).
Sistem fundamental de vecinatati
Def.Multimea Wa
Va se numeste sistem fundamental de
vecinatati pentru a
astfel incat
.
Siruri convergente
Definitia limitei unui sir
Def.Se spune ca un numar real x este limita unui sir (xn) (sau ca sirul (xn) converge la x) daca orice vecinatate a lui x contine toti termenii sirului , exceptand , eventual un numar finit de termeni , sau echivalent : in afara oricarei vecinatati a lui x se afla (cel mult) un numar finit de termeni ai sirului.
Sirurile care au limita se numesc siruri convergente.Un sir care nu este convergent se numeste divergent (se mai spune ca un astfel de sir diverge)
Teorema de convergenta cu ![]()
Th.Sirul xn este convergent la x daca si numai daca oricare
ar fi numarul pozitiv
se poate gasi un rang
(care depinde de
) , astfel incat pentru orice n
, sa avem |xn
- x| <
.
Notiunea de subsir al unui sir
Lema.Fie k : N
N o functie strict crescatoare.Atunci kn
n ,
.
Def.Se numeste
subsir al sirului x: N
R orice compunere x
k , a lui x cu un sir strict crescator
k : N
N.
Th.Orice subsir al unui sir convergent este de asemenea convergent si are aceeasi limita.
Corolar.Daca sirul (xn)
contine doua subsiruri convergente (
) , (
) cu
, atunci (xn ) este divergent.
Th. lui Bolzano -
Weierstrass.Din orice sir marginit (xn) se poate extrage un sir
convergent (
).
Proprietatile limitei unui sir
P1) Un sir convergent are o singura limita
P2) Prin schimbarea ordinii termenilor unui sir convergent , se obtine tot un sir convergent catre aceeasi limita.
P3) Prin adaugarea sau inlaturarea unui numar finit de termeni , un sir convergent ramane convergent catre aceeasi limita.
P4) Sirul xn
x daca si numai daca
exista M > 0 astfel incat
si
n
sa avem
|xn - x|
<
M.
P5)Orice sir convergent este marginit.
Corolar.Daca (xn) este nemarginit , atunci el este divergent.
Siruri convergente la zero
Proprietati
P1)Daca sirul (xn)
de numere strict pozitive este strict crescator si nemarginit , atunci ![]()
0.
In general , daca a
> 1 , atunci
.Punand
si deci
.
P2)Daca
,
si
* atunci
1)
(suma a doua siruri convergente la zero este un sir
convergent la zero)
2)
(produsul dintre o constanta si un sir convergent la zero
este un sir convergent la zero)
3)
(produsul a doua siruri convergente la zero este un sir
convergent al zero)
P3)Produsul dintre un sir marginit si un sir convergent lazero este un sir convergent la zero.
P4)
Criteriul majorarii
Th.(Criteriul
majorarii).Daca
,
si
, atunci
.
Corolar 1 .Daca
si
, atunci
.
Corolar 2. Daca
si
, atunci
.
Operatii cu siruri convergente
Def.Se numeste suma ,
produsul , catul a doua siruri
urmatoarele siruri:

Def.Se numeste
produsul dintre o constanta
si un sir
sirul: ![]()
iar prin
sirul modulelor :
![]()
Th.1)Limita sumei este egala cu suma limitelor
2)O constanta iese in afara limitei
3)Limita produsului este egala cu produsul limitelor
4)Limita catului este egala cu catul limitelor
5)Limita modulului este egala cu modulul limitei
6)Limita exponentului se distribuie si bazei si exponentului.
7)Limita radicalului este egala cu radicalul limitei
8)limita logaritmului este egala cu logaritmul limitei
Trecerea la limita in inegalitati
Th.Daca
sunt doua siruri
convergente si daca ![]()
(sau
dat) , atunci
.
Criteriul "clestelui"
Th.Fie
trei siruri ce
satisfac conditiile:
1)
(sau
dat)
2)![]()
Atunci sirul
este convergent la aceeasi limita a.
Teorema de convergenta a sirurilor monotoane si marginite
Th.(Weierstrass).Orice sir marginit si monoton este convergent.
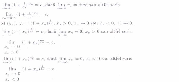
Definitia numarului irational e
![]()
![]()















![]()



|