Autovehiculele trebuie sa inmagazineze suficienta energie electrica pentru indeplini un numar de cerinte impus. Curentul furnizat trebuie sa asigure pornirea si functionarea vehiculului in orice conditii de timp. Operarea componentelor care solicita energie electrica in conditii de stationare poate face la un moment dat imposibila pornirea motorului. Bateria, starterul, alternatorul si sistemul electric privit in ansamblu, trebuie proiectate pentru diverse situatii si solicitari care insa sa nu afecteze operatiile elementare de pornire, functionare si stationare ale vehiculului. Criteriul de proiectare pentru un sistem optimal sunt: dimensiuni compacte, greutate redusa si consum redus de combustibil. Cel mai important criteriu ar fi consumul redus.
Dintre toate componente dintr-un vehicul, bateriile sunt probabil cele mai dificile pentru a fi intelese si modelate. In functie de curentul produs de alternator bateria absoarbe sau suplimenteaza acest curent. In ambele moduri de lucru bateriile sufera procese electrochimice complexe, care sunt dificile pentru a fi modelate. Astfel, comportarea electrica a unei astfel de baterii este o functie neliniara de o varietate de parametri. Pentru un model dinamic de baterie trebuie ales un compromis pentru a include toate efectelor semnificative.
In ultima perioada s-a acordat o atentie tot mai mare pentru modelarea si simularea bateriei in scopul exploatarii corecte si dezvoltarilor ulterioare in special pentru construirea de vehicule electrice si vehicule hibride. O corecta intelegere a bateriei din punct de vedere al performantelor, sigurantei, longevitatii sunt critice pentru aplicatii. Folosirea metodelor traditionale de testare pentru evaluarea caracteristicilor bateriei si obtinerea de performante superioare in conditii de operare complexe presupune timp si in cele mai multe cazuri este aproape imposibil. Pentru a prezice performantele baterie s-a incercat modelarea matematica. Nici unul dintre aceste modele nu are o acuratete completa si nici nu ia in considerare toti factorii de care depind performantele bateriei. Factorii care afecteaza comportamentul bateriei sunt:
Starea de incarcare - State of charge (SOC)
Capacitatea de stocare a baterie
Rata de incarcare/ descarcare
Temperatura
Varsta - durata de viata
Obiectivele acestor modelari este realizarea unor modele de baterie cu caracteristici cat mai apropiate de comportamentul unei bateri reale si adaugarea la standardele curente a informatiilor care permit extinderea cerintelor si necesitatilor automobilelor moderne. Ce se urmareste in principal este un model care sa permita o mai buna intelegere a comportamentului dinamic al bateriei in aplicatii.
Rezistenta interna (IR) masurata in miliohmi, este rezistenta totala in curent continuu a bateriei care este incarcata si in stare de functionare. Acest test este facut la 25 grade Celsius si consta in descarcarea bateriei timp de 1 minut la valoarea curentului de descarcare dupa 3 secunde de la inceperea procesului de descarcare si masurarea tensiunii dupa 3 secunde. A doua masuratoare se face dupa un timp de 3 minute masurand valoarea tensiunii. Rezistenta se calculeaza ca fiind dV/dI ( Volti /amperi ) [1],[2].
Rezistenta interna a acidului si a electrozilor: marime care ar trebui furnizata de producator. Este obtinuta prin masuratori experimentale la 25 grade Celsius si reprezinta rezistenta ionilor (elementul acid) si rezistenta electrozilor bateriei. Aceasta marime se foloseste in scopul de a separa fiecare componenta ce alcatuieste rezistenta interna a bateriei si deci pentru a nu se neglija astfel comportarea in functie de temperatura.
Capacitatea bateriei: Capacitatea bateriei este calculata folosind relatia lui Peukert C= In*t unde C si n sunt contante pentru fiecare model de baterie.
Tensiunea de incarcare si OCV / RSOC (Tensiunea in circuit deschis / Starea de incarcare relativa): pentru proiectare o problema dificila consta in determinarea starii de incarcare relativa (RSOC). Pentru aceasta sunt necesare doua caracteristici:
Tensiunea la borne in circuit deschis OCV (static)
Caracteristica OCV / RSOC
Prima caracteristica se obtine respectand standardul SAE J(537). Bateria este lasata sa stea 24 ore apoi se descarca cu un curent constant de 25 amperi pentru 5 minute. Tensiunea la borne este masurata dupa 30 minute.
A doua caracteristica se obtine descarcand bateria 20 ore : in procente de 10% din capacitate un interval de o ora si se lasa apoi bateria 1 ora deconectata dupa care de reia descarcarea. Tensiune la borne se masoara la inceputul fiecarei descarcari, dupa astfel 1 ora de deconectare pentru eliminarea proceselor tranzitorii ce apar la descarcare. Se traseaza graficul dar panta se calculeaza pentru capacitatea bateriei intre 40% si 80%. [fig. 1.1
Figura 1.1. Tensiunea in circuit deschis OCV / Starea de incarcare relativa RSOC
Tensiunea cinetica: aceasta reprezinta caderea de tensiune pe baterie necesara pentru a se forma purtatorii din acid. Procesul de formare a purtatorilor depinde in foarte mare masura si de tensiunea de incarcare.
Constanta de timp termica: aceasta marime determina incalzirea bateriei in functie de curentul care circula prin baterie. Aceasta constanta nu se bazeaza pe miscarea aerului din jurul bateriei.
Scopul determinarii acestor marimi este acela de a modela cat mai corect bateria in functie de elementele care ii influenteaza comportamentul.
Figura 1.2. Modelarea bateriei modelul real vs. modelul propus experimental
Pornind de la aceste marimi s-a propus introducerea unui cuvant care sa caracterizeze bateria si care sa fie adaugat la capacitatea bateriei. Cuvantul ar fi de forma PTGXNRY4 unde:
P capacitatea baterie (60 Amperi-ora)
T panta Peukert (1,25 min / amperi)
G tensiunea de incarcare a bateriei (13,21 V)
X OCV / %SOC (0,14 V/ % SOC)
N rezistenta interna initiala (7 mW
R raportul rezistenta ionilor / rezistenta electrozilor (0,56)
Y tensiunea cinetica (0,28 volti)
constanta termica de timp (1,5 ore)
Aceste litere sunt propuse spre standardizare si ele sunt prezentate in Anexa 1-1.
Scopul introducerii acestor elemente este acela de a crea un model cat mai apropiat de modelul real si posibilitatea de a simula comportamentul bateriei in teste. Aceste teste presupun o flexibilitate foarte mare deoarece si distantele si traseele de test pot fi diferite deci comportamentul autovehiculului este posibil sa fie diferit. Se urmareste de asemenea si o optimizare a performantelor automobilului, in functie de starea de incarcare a bateriei, emisiile de gaze si economia de combustibil.
Cel mai simplu model este bazat doar pe proprietatile electrochimice. Sunt ignorate efectele termodinamice si efectele de suprafata. Aceste modele sunt folosite doar pentru a studiul energiei stocate si nu modeleaza alte fenomene cum ar fi de exemplu rata de incarcare sau tensiunea la borne in functie de curentul de sarcina. De asemenea nu includ nici efectele datorate temperaturii sau varstei.
Propriu zis prin acest model se incearca sa se masoare starea de incarcare a unei baterii (SOC), care este o marime relativa a capacitatii bateriei si care se caracterizeaza prin cantitatea de Amperi-ora extrasi din baterie dar nu caracterizeaza comportarea dinamica a bateriei.
Valoarea starii de incarcare a bateriei se poate determina teoretic folosind urmatoarea formula:
Studiile efectuate au demonstrat ca tensiunea la bornele bateriei poate fi caracterizata de starea de incarcare a unei baterii (SOC). Figura de mai jos este concludenta si a fost obtinuta experimental.
Figura 1.3 Tensiunea la borne in circuit deschis OCV/ de starea de incarcare SOC
Initial modelarea bateriei se baza pe doua tabele unul in care se aflau date despre tensiunea la borne in circuit deschis in functie de starea de incarcare si al doilea cu rezistenta interna in functie de starea de incarcare. Modelul de asemenea presupunea rezistenta de incarcare ca fiind egala cu rezistenta de descarcare. Practic aceste presupuneri nu sunt intemeiate deoarece bateria are o comportare mai buna la valori mari ale stari de incarcare (unde rezistenta de descarcare este mica) fata de valorile mici ale stari de incarcare unde curentul de incarcare are valori mai mari.
In concluzie este important sa se determine puterea livrata sau energia furnizata de baterie in oricare din momentele in care este folosita.
Relatia lui Peukert este o formula pentru calculul capacitatii unei baterii. Conform acestei relatii capacitatea bateriei scade odata cu cresterea curentului de descarcare. Presupunerea facuta este aceea ca descarcarea sa fie efectuata la un curent constant in timp. [1]
Unde: I = curent de descarcare [amperi]
n = constanta a bateriei (n =1,35 tipic pentru bateriile cu plumb)
Ti = timpul de descarcare la curentul I [secunde]
Folosind aceasta relatie si considerand faptul ca produsul I*T reprezinta de fapt o rata de descarcare, obtinem o ecuatie modificata care leaga rata de descarcare de curentul de descarcare.
Daca scriem ecuatia lui Peukert modificata astfel pentru doua momente distincte care corespund la curenti de descarcare I1 si I2 si la doua rate de descarcare K1 si K2 iar apoi facem raportul celor doua relatii se obtine:
Unde: K = Rata de descarcare (Ah)
Plecand de la relatia (1.3) se poate deduce o noua formula pentru calculul starii de incarcare (SOC) la curent de descarcare constant.
In cazul in care rata de descarcare nu este constanta ar fi necesara ecuatia (1.3) care modificata va duce la o forma la care evaluarea sa se efectueze pe cuante mai mici de timp:
In ecuatia de mai sus se presupune ca se pot masura K1,I1 si I2 adica pentru o rata de descarcare se cunoaste valoarea curentului de descarcare si putem evalua diferenta starii de incarcare ce apare la modificarea curentului de descarcare de la rata I1 la rata I2.
Modelul Shepherd este poate cel mai cunoscut si probabil cel mai adesea folosit in modelarile bateriei si in modelarile vehiculelor electrice hibride. Acest model descrie procesele electrochimice in termeni de tensiune si curent. Este folosit in stransa legatura ecuatia lui Peukert pentru a obtine tensiunea bateriei si starea de incarcare. [2]
Unde
Et = tensiunea la bornele bateriei [volti]
Eo = tensiunea in circuit deschis la bornele bateriei cand bateria este complet incarcata [volti]
Ri = rezistenta interna a bateriei [ohmi]
Ki = rezistenta de polarizare [ohmi]
Q = capacitatea bateriei [amperi-ora]
I = curent instantaneu [amperi]
f = reprezinta fractiunea extrasa din baterie (capacitatea extrasa din baterie raportata la capacitatea Q0 a bateriei incarcate complet).
Daca bateria este incarcata complet atunci f ar tinde la zero si avem rezistenta de polarizare mare. Daca bateria este descarcata atunci f creste si atunci termenul din ecuatie care modeleaza rezistenta de polarizare scade.
Shepherd s-a bazat in cercetarile efectuate pe curenti de descarcare constanti dar de valori mici. Ecuatia lui a cauta sa gaseasca punctul minim de descarcare (de la care valoarea tensiunii la borne scade foarte rapid). Unnewehr si Nasar propun modificarea ecuatiei anterioare.
In cazul bateriei in circuit deschis sau fara sarcina tensiunea la borne se scrie mai simplu:
Unnewehr [3] si Nasar au definit rezistenta interna echivalenta:
Unde:
Ro = rezistenta interna a bateriei complet incarcata
KR = constanta experimentala
Aceasta ecuatie incearca o modelare a rezistentei
interne Ri
in functie de starea de incarcare
SOC.
Combinand aceasta ecuatie cu cea a puterilor P=Et*Idesc, se poate crea o noua relatie pentru calcularea
curentului de descarcare:
Ecuatia de gradul doi are urmatoarea forma:
Din cele doua solutii dar va fi aleasa doar solutia de valoare mai mica:

Figura 1.4 Modelul circuitului echivalent al bateriei pentru descarcare
In cazul in care bateria se incarca circuitul echivalent este dat in figura de mai jos:
Ecuatia circuitului este in acest caz de forma urmatoare:
inmultind ambii termeni cu I si combinand ecuatia puterilor se obtine:
Ecuatia de gradul doi are urmatoarea forma:
Pentru curentul de incarcare se obtine urmatoarea solutie:

Figura 1.5. Modelul circuitului echivalent al bateriei pentru incarcare
Se poate demonstra ca puterea maxima pe rezistenta de sarcina se obtine pentru circuitul echivalent al bateriei atunci cand valoarea rezistentei de sarcina este egala cu valoarea rezistentei interne. Pornim de la relatia (1.11) si inlocuim in aceasta valoarea curentului I.

Se pune conditia ca derivata sa fie nula pentru putere maxima si se obtine:
Pentru ca derivata sa fie nula trebuie indeplinita conditia
Valoarea maxima a puterii se obtine inlocuind in relatia (1.18) valoarea rezistentei de sarcina:
Acest model descris in [4],[5] consta intr-o sursa de tensiune in serie cu o rezistenta (asimilata ca rezistenta interna) si totul in paralel cu o combinatie serie rezistenta - condensator (modelul pentru supratensiune). Acest model nu este foarte corect deoarece elementele ce il compun iau alte valori in procesul de incarcare sau descarcare si depind direct de starea bateriei.
Acest model este o modificare neliniara a modelului anterior [6]. Circuitul echivalent are 5 sectiuni:
Supratensiunea este modelata de un circuit format dintr-un condensator si o rezistenta in paralel, iar acest circuit este inseriat cu Cb si Rp. Rezistenta in aceasta retea, R1, este modelata ca o rezistenta ce poate lua doua valori in functie de modul de lucru al baterie
Rezistenta interna este modelata de R1 si cele 2 diode in paralel si o rezistenta suplimentara Rs, care este in serie cu grupurile R1-C1 si Rp- Cb. Rezistenta interna este considerata deci a fi suma dintre R1 si Rs. Rs reprezinta electrolitul, placile, si rezistenta fluidului in vreme R1 reprezinta rezistenta datorata difuziei electrolitului. Ca si R1, Rs este modelata ca fiind formata din doua diode in paralel cu doua rezistente pentru a modela variatiilor datorate incarcarii si descarcarii.
Modelul este neliniar in sensul ca elementele Cb, Rs, Rp si R1 nu sunt constante dar ar trebui modelate in functie de tensiunea bateriei. Alt factor care ar trebui specificat este acela ca Rp are o dependenta de temperatura. Doar C1 este constant.
Figura 1.6. Modelul neliniar al bateriei - circuitul echivalent
Pentru a determina dependenta
de temperatura a rezistentei si a condensatorului s-au facut teste
experimentale iar rezultatele a fost introdus in formule de forma urmatoare :
Unde
K = constanta (factor de multiplicare)
W = factor de material
Vm= nivelul tensiunii la borne
Voc = tensiunea in circuit deschis
F = flatness factor
Si
relatia pentru coeficientul de variatie cu temperatura al rezistentei Rp , unde
Acest
model a fost verificat experimental si se apropie de modelul real pentru bateriile
cu plumb si cele cu Nickel - Cadmiu.
Acest model fundamentat in [7] este bazat pe modelul static care descrie tensiunea la borne ca functie de curentul de incarcare/descarcare. In acest model se mai iau in considerare si efectul polarizarii. Cele 3 ecuatii care descriu acest model sunt:
Unde:
Rint = rezistenta interna a bateriei [ohmi]
Cp = capacitate de polarizare
Epc = tensiunea pe condensatorul de polarizare
Voc = tensiunea in circuit deschis [volti]
Rb = rezistenta terminalului [ohmi]
Etb = tensiunea la bornele bateriei
Ci = capacitate incipienta a terminalului
Itb = curent de descarcare al bateriei [amperi
K = constanta de baterie
SOC = starea de incarcare
Pentru bateriile cu plumb Powell si colaboratorii in [8] au obtinut o relatie empirica pentru ultima ecuatie:
Cu toate ca avem foarte multe modele pentru bateriile conventionale, nu s-au luat in calcul toti factorii care afecteaza performantele bateriei. Doar in ultima perioada de timp s-a incercat sa se considere o serie de factori cum ar fi temperatura, varsta si ciclul de incarcare descarcare folosit.
Impactul temperaturii asupra capacitatii bateriei poate fi explicat foarte usor folosind modelul electrochimic al bateriei. Cu cat temperatura creste vascozitatea electrolitului scade, ceea ce permite o crestere a difuziei ionilor si astfel asta duce la cresterea capacitatii bateriei. Dupa cresterea peste o valoare de varf electrozii bateriei incep sa se corodeze, deci se reduce aria activa a electrodului si rezultatul este scaderea capacitatii bateriei. Un model care sa ia in considerare aceasta dependenta a fost descris in [10] si porneste de la ecuatia generala a bateriei folosita de Unnewhr si Nasar in [3]:
Unde:
Coeficientul de temperatura á variaza de la un model de baterie la altul si poate fi determinat empiric din experimente. Acest coeficient este dependent de patratul temperaturii.

Figura 1.7. Influenta temperaturii asupra capacitati bateriei
Starea de incarcare influenteaza cel mai mult performantele bateriei. Tensiunea in circuit deschis Voc in general descreste neliniar odata cu scaderea SOC Rezistenta interna Ri descreste usor pe masura cresterii SOC la nivele mici (< 0.3 din valoarea maxima a lui SOC), si apoi ramane constanta pana la valori de 0.6 din SOC. De la acest punct va creste foarte rapid.
Relatia dintre Ri si SOC a fost observata si descrisa de Ekdunke in [12].
Facinelli a folosit o relatie liniara intre Voc si Ri El a folosit curbe diferite pentru incarcare si descarcare [13].

Figura 1.8. Influenta starii de incarcare asupra capacitati bateriei
Coroziunea este o alta caracteristica care scade performantele bateriei in timp. Acest efect a fost modelat in 1993 de Roan ca fiind un proces liniar. De exemplu daca bateria dupa o functionare de 5 ani pierde 15% din capacitate putem face presupunerea ca aceasta baterie pierde pe luna 0,25% din capacitate. (0.25% = 15% / 60 luni).

Figura 1.9 Influenta varstei asupra capacitati bateriei
Inginerii au creat multe circuite echivalente care sa modeleze baterie. Capacitatea de a stoca energie este asimilata in toate modelele cu un condensator (modelele Kleckner si Zimmerman-Peterson )[3].
Alte modele folosesc un condensator in paralel cu o sursa de tensiune inseriata cu o rezistenta (reprezentand rezistenta interna) cu rolul de a limita curentul de incarcare a bateriei si care altfel nu ar putea fi modelat. [4]
In aceste modele curentul total este calculat ca fiind suma dintre curentul sursei si curentul din condensator. Tensiunea bateriei in functie de curent sunt date sub forma de tabele obtinute experimental.
Modelul THEVENIN descris in [5] consta intr-o sursa de tensiune (Voc in serie cu o rezistenta (asimilata ca rezistenta interna) si totul in paralel cu o combinatie serie rezistenta - condensator. Acest model nu este foarte corect deoarece elementele ce il compun iau alte valori in procesul de incarcare sau descarcare si depind direct de starea bateriei.
Modelul neliniar care presupune adaugarea de neliniaritati la modelul prezentat anterior a fost testat cu rezultate satisfacatoare pentru bateriile cu plumb si cele cu Nickel - Cadmiu.
Problema cea mai importanta a fost insa dezvoltarea de modele pretabile pentru a putea fi simulate cu ajutorul calculatorului. Pentru inceput a fost suficienta utilizarea de tabele cu performantele bateriei folosite pentru a estima valorile parametrilor in functie de o gama larga de conditii de lucru. In analiza vehiculelor hibride de exemplu ( Hybrid Electric Vehicle Analysis HEVA) , NASA Lewis Research Center folosesc grafice cu starea de incarcare SOC in functie de tensiunea la borne Voc si SOC in functie de rezistenta interna. S-a folosit si varianta cu o SOC in functie de starea de incarcare sau descarcare deoarece rezistenta interna difera de la o stare la alta [9].
Modelul RC propus spre studiu este o varianta a modelului neliniar in care bateria este modelata de un condensator de valoare foarte mare in serie cu o rezistenta, care reprezinta rezistenta interna a bateriei si in paralel cu un grup rezistenta condensator legate in serie pentru a modela elementele de suprafata. La acest grup se mai inseriaza o rezistenta pentru a modela rezistenta de contact si neliniaritatile introduse de temperatura. Circuitul este reprezentat in figura de mai jos:

Fig. 1.10. Modelul RC pentru o baterie
In actualul sistem electric de 12 V bateria reprezinta un compromis intre doua cerinte foarte importante. Pentru start este nevoie de un curent mare de pornire a motorului (cu valori de 300 - 500 A) ceea ce duce la caderi de tensiune semnificative (importante pentru circuitele electronice din automobil cum ar fi microcontrolerele) si a doua cerinta: in functionarea propriu zisa in care nu se solicita un curent mare.
Bateria are in componenta un bloc de stocare a energiei. Acesta este un bloc care reprezinta bateria ca o sursa capabila sa inmagazineze energie pentru vehiculul modelat. Cel mai simplu de modelat acest bloc ar fi un condensator de capacitate mare. Dezavantajul major este acela ca se impun limitari din punct de vedere al puterilor si tensiunilor furnizate de baterie si acest considerent presupune si o logica asociata acestui condensator. Deocamdata neglijam logica si urmarim doar deducerea ecuatiilor de functionare ale baterie.
Bateriei se pot asocia 3 stari posibile de functionare:
de incarcare
de depozitare
de descarcare
Un circuit echivalent care sa reprezinte aceste stari este prezentat in figura de mai jos:

Figura 1.11. Circuitul echivalent al bateriei -model
propus pentru studiu teoretic
Considerand circuitul echivalent al bateriei reprezentat ca in figura 1.21, curentul prin baterie poate fi scris ca o suma a curentilor prin cele doua condensatoare C si C1 condensatoare.
Curentul prin condensator este dat de urmatoarea ecuatie:
unde: C - capacitatea condensatorului, u - tensiunea pe condensator.
Inlocuind in expresia 1.27 curentul prin circuitul echivalent al baterie are urmatoarea expresie:
Pentru starea de incarcare avem urmatorul circuit echivalent:

Figura 1.12. Circuitul echivalent al bateriei pentru incarcare
Ecuatia pentru circuitul de mai sus este urmatoarea:
daca scriem ecuatiile pentru cele 2 ramuri ale bateriei obtinem urmatoarele 2 expresii:
si
Scriind expresia tensiuni la bornele bateriei uB pentru cele doua ramuri obtinem urmatoarele doua ecuatii:
din cele doua ecuatii de mai sus se poate obtine valoare
functie de
,
si
.
de unde se deduc expresiile pentru
si
:
Inlocuind in ecuatia (1.31 ) rezultatul obtinut in (1.36)
efectuand calcule se va obtine expresia
exprimata ca functie de parametri
si
.
Inlocuind in ecuatia (1.32) expresia
dedusa in (1.37):
(1.40)
efectuand calcule se va obtine expresia
exprimata ca functie de parametri
si
.
Sistemul de ecuatii ce descrie starea de incarcare este dat de cele doua ecuatii deduse:
(1.42)
(1.43)
In acest caz tensiunea pe bornele bateriei se obtine inlocuind (1.42) in (1.33):
efectuand calculele vom obtine expresia tensiunii de baterie functie de cele doua componente.
In acest caz cele doua ecuatii se modifica deoarece tensiunea E devine nula. Sistemul de ecuatii ce determina aceasta stare va fi urmatorul:
tensiunea la bornele bateriei este in acest caz obtinuta prin inlocuirea (1.46) in (1.33):
efectuand calculele vom obtine expresia tensiunii de baterie functie de cele doua componente.
In acest caz cele doua ecuatii deduse la paragraful 1.3.2. se modifica deoarece tensiunea E devine nula iar rezistenta de incarcare Ra va fi inlocuita de rezistenta de descarcare Rd. Sistemul de ecuatii ce determina aceasta stare va fi urmatorul:
Circuitul echivalent pentru acest caz este urmatorul:

Figura 1. 13. Circuitul echivalent al bateriei pentru descarcare
tensiunea la bornele bateriei este in acest caz obtinuta prin inlocuirea (1.50) in (1.33):
Condensatorul C (notat C in figura 1.10) este foarte mare si reprezinta capacitatea bateriei suficiente pentru a stoca toate sarcinile electrolitului. Condensatorul electric C1 este mic si in special reprezinta efectele de suprafata. Limitarea comportamentului bateriei pentru a livra curent este bazata pe difuzia materialului si reactiile chimice.
Tensiunile masurate in circuit deschis la starea de incarcare (SOC) 0 % si la 100 % au fost folosite impreuna cu valoarea curentului ce il genereaza bateria (capacitatea bateriei in Ah) pentru a determina energia ce poate fi inmagazinata in condensator.
(1.55)
Folosind datele experimentale obtinute sintetizate in figura de mai jos, obtinute experimental pentru o baterie de 55 Ah si inlocuind in relatia de mai sus obtinem:
Figura 1.14. Tensiunea la borne in circuit deschis fata de starea de incarcare
efectuand inlocuirile vom obtine:
(1.56)
Condensatorul C1 modeleaza efectul de suprafata (notat Cc in figura 1.20) Pentru a determina valoarea celor trei rezistoare o relatie de legatura intre rezistenta termica Rt si cea a condensatorului Rc trebuie sa existe. Presupunerea facuta este aceea ca Re si Rc au acelasi ordin de marime iar Rt sa fie jumatate din valoarea acestui ordin de marime. Aceasta relatie a fost presupusa pe baza observatiilor atunci cand s-a facut modelarea. Valoarea acestei rezistente s-a determinat pe baza valorilor experimentale obtinute pentru fiecare stare de incarcare a bateriei (SOC).

Figura 1.15. Diagrama experimentala pentru determinarea
valorilor rezistentelor si a condensatorului de suprafata
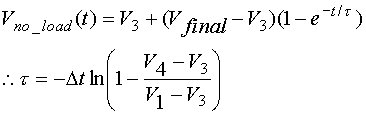
Valoarea initiala pentru condensatorul electric de suprafata C1 rezulta din constanta de timp observata pentru o baterie fara sarcina. Raspunsul de tensiune intre tensiune V3 si V4 este de forma exponentiala. Constanta de timp τ se deduce din ecuatia aproximativa urmatoare:
(1.57)
Inlocuind in formula de mai sus obtinem:
(1.58)
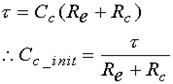
Folosind constanta de timp t asociata cu Cc se poate estima valoarea initiala a acestei capacitati:
(1.59)
Inlocuind in formula de mai sus obtinem:
(1.60)
Diferenta fata de cazul anterior analizat este inlocuirea sursei de tensiune cu o sursa de curent constant. Figura corespunzatoare acestui circuit este urmatoarea:

Figura 1.16. Circuitul de incarcare al bateriei la curent constant
Ecuatiile care se scriu in cazul acestui circuit sunt :
(1.61)
unde : uB reprezinta tensiunea bateriei
(1.62)
si
(1.63)
sunt curentii prin cele doua ramuri ale bateriei.
Inlocuind (1.62) si (1.63) in (1.61) se obtine urmatorul sistem de ecuatii:
determinantii caracteristici pentru rezolvarea sistemului de ecuatii de mai sus sunt:
si
iar determinantul sistemului este:
solutiile sistemului sunt:
(1.69)
si ,
(1.70)
Tensiunea bateriei se calculeaza ca fiind suma dintre tensiunea pe condensator si tensiunea pe rezistenta aferenta.
(1.71)
(1.72)
In acest regim se deschide comutatorul si curentul Ii devine nul. Figura corespunzatoare acestui circuit este urmatoarea:
Figura 1.17. Circuitul echivalent in regimul stationar
Sistemul de ecuatii este in acest caz urmatorul:
tensiunea bateriei se calculata pentru acest regim este:
efectuand calculele rezulta :
Se observa ca acest caz este identic cu cel de la punctul anterior pentru regimul stationar.
In acest regim figura corespunzatoare este prezentata mai jos.

Figura 1.18. Circuitul echivalent pentru descarcare
Ecuatiile care se scriu pentru fiecare latura a acestui circuit sunt:
in aceste
ecuatii
si
reprezinta
curentii prin cele doua condensatoare.
Sistemul de ecuatii corespunzator descarcarii la curent constant este:
determinantii caracteristici pentru rezolvarea sistemului de ecuatii de mai sus sunt:
si
iar solutiile sistemului sunt:
tensiunea bateriei se calculata pentru acest regim este:
Pentru a analiza acestui circuit am recurs la scrierea ecuatiilor diferentiale si rezolvarea acestora pornind de la conditii initiale nule (anexa 1.xx).
Generalitatea ecuatiilor de stare permite utilizarea acestei metode si pentru analiza circuitelor electronice de putere. Principiul de baza al acestei metode consta in posibilitatea descrierii complete a comportarii unui sistem cu vector de stare [X], pe baza ecuatiilor diferentiale ce descriu sistemul, cunoscand un sistem de marimi de intrare. Starea sistemului se considera a fi o informatie minima asupra sistemului la un moment dat, care impreuna cu valorile marimilor de intrare la acelasi moment permite determinarea evolutiei ulterioare a sistemului. Reprezentarea prin variabile de stare este mai corecta deoarece reprezentarea unei functii de transfer poate "ascunde" anumite aspecte.
Un sistem electronic de putere poate fi descris de ecuatii de stare avand forma:
(1.86)
unde:
- [U] - m*1 este vectorul ce reprezinta cele m intrari (ca surse independente)
- [Y] - p*1 este vectorul ce reprezinta cele p iesiri (tensiuni sau curenti de interes)
- [X] - n*1 vector continand un set de n variabile independente, considerate ca variabile de stare. [X] se numeste vectorul de stare. Numarul de variabile de stare corespunde, in general, ordinul sistemului.
- [A], [B], [C], [D] - matrice cu elemente reale denumite matricele ecuatiilor de stare. Prima ecuatie reprezinta un set de ecuatii diferentiale denumite ecuatii de stare in forma canonica. A doua relatie se numeste ecuatia de iesire. Marele avantaj al acestei metode a ecuatiilor de stare consta in usurinta cu care se pot rezolva prin metode numerice. Aceasta metoda poate fi extinsa cu usurinta pentru analiza sistemelor neliniare.
Programele dezvoltate pe baza ecuatiilor de stare trebuie sa rezolve urmatoarele probleme:
- formularea ecuatiilor de stare pe baza cunoasterii topologiei circuitului;
- rezolvarea ecuatiilor de stare prin mijloace numerice.
Se poate ajunge la o ecuatie diferentiala de ordinul intai doar in conditiile in care se elimina ca variabile curentii prin capacitati si tensiunile pe inductante.
Pasul de integrare utilizat in rezolvarea ecuatiilor, notat in general cu h, este determinat de structura matricei [A], care variaza de la o stare a circuitului la urmatoarea in functie de starea de conductie a dispozitivelor electronice de putere. Deci pentru fiecare faza de functionare exista un pas de integrare specific.
Rezolvarea formala a ecuatiei (1.86) determina o solutie de forma x=exp.(At)-U, unde A si U sunt matricele ecuatiei de stare. Bineinteles pentru o singura ecuatie de stare matricea A devine un singur element (coeficient) iar daca sunt mai multe variabile de stare, va exista de fapt un sistem de ecuatii diferentiale. Pentru calculul numeric se face aproximarea exp.(At)=1+At. La trecerea de la o stare la alta cu un pas de integrare hT avem x(t+hT)= exp.(aijhT)*x(t), de unde se impune conditia |aijhT|<<1. Dac[ A este o matrice avand elementele aij, se va alege pasul cel mai mic dintre valorile rezultate de la fiecare ecuatie diferentiala.[1-alexa]
Mai mult, acesti pasi de integrare pot avea valori foarte diferite. La trecerea de la un pas de integrare la urmatorul se pot pierde momentele de timp corespunzatoare comutatiei dispozitivelor. Ca urmare, de mai multe ori, se prefera inserarea unor stari corespunzatoare comutatiilor, stari caracterizate de alte valori ale pasilor de integrare. De mentionat ca la realizarea unui program pe calculator, se includ si subrutinele care sa permita determinarea conditiilor de blocare a dispozitivelor prin anularea curentului prin acestea. Practic se urmareste valoarea curentilor buclelor pe care sunt plasate dispozitivele respective, depistandu-se momentele de anulare ale acestora.
Pentru a efectua simulari am folosit programul MatLab. Am ales pentru componentele ce modeleaza bateria valorile masurate experimental mai sus si am construit o interfata grafica in care sa se poata modifica valorile componentelor pentru a trasa graficele curentilor si tensiunilor.
In aceste aplicatii se porneste de la scrierea ecuatiilor pentru fiecare stare: de incarcare, descarcare sau stationare a bateriei si se rezolva sistemul pornind de la conditii initiale nule. Am ales cele doua variante de circuit prezentate in paragrafele 1.3.1 incarcare la tensiune constanta ti descarcare pe o rezistenta Rd si 1.3.6. incarcare si descarcare la curent constant.
Figura de mai jos arata valorile pentru circuitul testat:
Figura 1.19. Circuitul
propus pentru implementare
Pentru o buna intelegere a modului de lucru al programului se prezinta diagrama programului:

Figura 1.20. Diagrama programului
In figurile de mai jos sunt prezentate rezultatele experimentale obtinute prin simulare.

Figura 1.21. Interfata si rezultatele simularii pentru regimul tranzitoriu

Figura 1.22. Interfata si rezultatele simularii pentru regimul tranzitoriu

Figura 1.23. Interfata si rezultatele simularii pentru regimul tranzitoriu cu valori pentru parametri obtinuti exp.

Figura 1.24. Interfata si rezultatele simularii pentru regimul permanent cu valori pentru parametri obtinuti exp.
Al doilea set de rezultate obtinute prin simulare sunt pentru cazul incarcari si descarcari la curent constant. Rezultatele obtinute sunt prezentate in figurile de mai jos.

Figura 1.25. Interfata si rezultatele simularii pentru regimul tranzitoriu Incarcare la curent constant .

Figura 1.26. Interfata si rezultatele simularii pentru regimul tranzitoriu

Figura 1.27. Interfata si rezultatele simularii pentru regimul tranzitoriu cu valori pentru parametri obtinuti exp.

Figura 1.28. Interfata si rezultatele simularii pentru regimul permanent cu valori pentru parametri obtinuti exp.
Pentru a efectua simulari am folosit programul MatLab. Am ales pentru componentele ce modeleaza bateria valorile masurate experimental mai sus si am construit o interfata grafica in care sa se poata modifica valorile c
In prezent cercetarea urmareste o noua abordare pentru evaluarea vehiculelor traditionale precum si dezvoltarea celor electrice sau hibride prin integrarea simularilor pe calculator si testarilor de vehicule in conditii reale de functionare pentru a obtine comportarea reala a bateriilor cu acid, cele cu Ni-Mh sau Li-Ion. Cu ajutorul acestor teste combinate cu simularile pe calculator se pot face previziuni despre comportamentul sistemului electric al automobilului si se vor oferi informatii specifice necesare pentru dezvoltarea de noi capabilitati:
Permite prin masurarea conditiilor interne a baterie imbunatatirea caracteristicilor acesteia folosind materiale mai performante
Scurtarea ciclului de dezvoltarea de noi baterii prin posibilitatea proiectantilor de a evalua alternativele inainte de a concepe un nou prototip de baterie
Permite o previziune corecta a starii de incarcare a bateriei in functie si de conditiile de teren, distanta si profil al drumului parcurs de automobil
Crearea de moi modele de baterii pentru simularile ulterioare
Dezvoltarea de metode moderne pentru construirea de incarcatoare rapide si sisteme de management ale sistemului electric al vehiculului folosind microcontrolere.
Obiectivele acestor modelari este realizarea unor modele de baterie cu caracteristici cat mai apropiate de comportamentul unei bateri reale astfel incat industria de automobile sa dezvolte noi aplicatii si solutii in timp cat mai scurt.
Astazi modelarea bateriei se bazeaza pe testele si masuratorile experimentale care au definit o multitudine de parametrii care caracterizeaza functiile bateriei si asigura performante mai bune pentru automobilele moderne.
Obiectivul principal al acestor modelari este adaugarea la standardele curente a informatiilor care permit extinderea cerintelor si necesitatilor automobilelor moderne. Ce se urmareste in principal este un model care sa permita o mai buna intelegere a comportamentului dinamic al bateriei in aplicatii. Acest model a fost initial gandit pentru bateria cu acid dar s-a incercat extinderea modelelor pentru toate tipurile de bateri.
Consider ca acest capitol din teza de fata are o contributie in prezentarea unitara a problemelor importante de masurare, prelucrare si estimare a performantelor bateriei. Chiar daca nu abordeaza detaliat decat o parte dintre modele, ea poate constitui un punct de plecare pentru cercetarile ulterioare. In ordinea aparitiei in capitol:
1. prezentarea marimilor cele mai importante pentru estimarea performantelor bateriei;
2. tratarea detaliata a celor mai semnificative modele de baterie folosite pe plan mondial. Nu am gasit nici o lucrare de referinta care sa trateze subiectul in detaliu. Informatiile adunate provin din articole, carti si documentatii de firma;
3. Analiza matematica a modelului RC pentru incarcare la tensiune contanta si descarcare pe sarcina rezistiva. Am scris sistemul de ecuatii pentru cazurile posibile de functionare: incarcare descarcare si stationare;
4. Analiza matematica a modelului RC pentru incarcare si descarcare la curent contant. Am scris sistemul de ecuatii pentru cazurile posibile de functionare: incarcare descarcare si stationare.
5. Realizarea programelor de simulare sub forma unor interfete scrise in MATLAB care permit modificarea parametrilor bateriei si estimarea formei de unda a curentilor si tensiunilor. Consider personal, foarte utile aceste interfete deoarece prin realizarea de masuratori experimentale si introducerea parametrilor obtinuti se pot estima performantele bateriei;
6. Realizarea de masuratori experimentale pentru verificarea modelului pe loturi de baterii produse de producatorul ROMBAT S.A. Bistrita.
A prezice performantele bateriei fara a o descarca este de mult timp o problema importanta a constructorilor de baterii. Testarea presupune mai multe cicluri de incarcare descarcare fiecare dintre acestea are o durata semnificativa.
Conductanta bateriei [1-8] si impedanta [8-9] s-au dovedit a fi utile in anticiparea performantelor si a capacitatii bateriei. In orice caz atat conductanta cat si impedanta nu sunt constanta daca se masoara la frecvente diferita.
Este foarte important pentru anticiparea performantelor bateriei sa fie posibil sa reducem toti factorii care influenteaza performantele la un numar mai mic de parametri dar care ca poata fi mai usor de masurat, sau evaluat.
O metoda de analiza a impedantei si a conductantei este analiza raspunsului in frecventa a bateriei "Digital Frequency Response Analysis" (DFRA), care combinata cu o noua tehnica de masurare discreta "Discrete Frequency Immittance Spectroscopy" (DFIS), poate masura parametri care nu erau disponibili pana acum. Bateria este incarcata o perioada determinata de timp cu un curent alternativ de frecventa precizata si apoi impedanta si admitanta este determinata folosind metoda DFRA.
Printr-un numar determinat de masurari discrete si combinand valorile masurate folosind DFIS, se vor determina componentele celui de-al doilea element al modelului echivalent al bateriei.
Aceasta tehnica va avea foarte multa aplicabilitate in constructia bateriilor, controlul calitatii, instalarea si intretinerea bateriei, incarcarea bateriilor (folosind incarcatoare rapide) si in cercetarile din domeniul electrochimic.
Digital Frequency Response Analysis (DFRA)
Este descris pe larg in patentele U.S. Patents 6,002,238 si 6,172,483. In figura 31 se prezinta arhitectura DFRA:

Figura 1.29. Arhitectura DFRA
In arhitectura prezentata in figura de mai sus un curent de sarcina este injectat in sarcina de procesorul DFRA pentru a produce un impuls curent i(t) la frecventa fk.
Acest impuls de curent trece prin baterie intre punctele A si B. Punctele C si D sunt cuplate capacitiv si ele vor masura variatia de tensiune pe celula/baterie si pe care o notam v(t)
Urmatorul bloc este un bloc de amplificare a semnalelor. Unul dintre semnale este proportional cu curentul prin baterie i(t) , celalalt este proportional cu variatia de tensiune pe baterie. Cele 2 semnale sunt multiplexate si trecute printr-un filtru trece banda. La iesirea din filtru cele 2 semnale sunt citite de convertorul A/D la M momente de-a lungul perioadei Tk= 1/fk.
Aceste 2 semnale digitale cu banda limitata sunt trecute prin procesorul DFRA. Procesorul DFRA achizitioneaza datele pe o durata de N perioade si foloseste cele MxN probe digitale ale fiecarui semnal pentru a evalua imitanta (conductanta si admitanta) celulei(bateriei) la frecventa fk.
Un analizor de raspuns in frecventa (FRA) realizeaza integrarea semnalului.
Folosind aceasta noua tehnica impedanta bateriei poate fi masurata cu precizie de 0.1%.
Spectrul Admitantei
Spectrul masurat al partii imaginare si complexe al admitantei Y= 1/Z=G+ jB pentru o baterie tipica de 12 V este prezentat in figurile de mai jos.

Figura 1.30. Spectrul Admitantei pentru o baterie de 12 V
Informatii importante despre baterie sunt exprimate in aceste figuri. Observam comportamentul bateriei: pana la frecvente de 250 Hz (B<0) este inductiv, dupa care devine capacitiv (B>0).
Discrete Frequency Immittance Spectroscopy (DFIS)
DFIS este mai bine cunoscut ca spectroscop de impedanta electochimic "electrochemical impedance spectroscopy" (EIS) [11,12]. Este descris pe larg in patentele U.S. Patents 6,037,777. In figura 33 se prezinta arhitectura DFIS impreuna cu circuitul de masurare a imitantei:

Figura 1.31. Arhitectura DFIS
Controlerul DFIS comanda circuitul DFRA pentru a determina partea reala si imaginara a imitantei la frecvente discrete fk si incrementeaza k pina cand k = n.
Din rezultatul obtinut de 2n masuratori procesorul calculeaza direct valorile celor 2n elemente ale circuitului echivalent al bateriei prezentat in figura de mai jos:

Figura 1.32. Circuit echivalent al bateriei propus
Rezultatul calculului DFIS c n = 2 a sunt date in
figura 1.32. Datele de intrare pentru calcul sunt date in figura 36 la
frecventele f1 = 5
Hz si f2 =
1000 Hz. Cele doua
constante de timp sunt notate
si
.

Figura 1.33. Circuit echivalent al bateriei calculat
Folosind metodele analitice de calcul admitanta complexa a circuitului din figura 35 este calculata in functie de frecventa. Figura 1.34 arata rezultatele acestor calcule si datele obtinute experimental, trasate pe aceeasi figura.

Figura 1.34. Componenta reala si imaginara a admitantei : calculate si masurate exp. (n=2)
Asa cum se anticipa curbele experimentale si cele teoretice coincid exact in cele doua puncte discrete de masurare 5 Hz si1000 Hz. Exista o diferenta destul de semnificativa intre marimile calculate si cele masurate.
O alta masuratoare cu DFIS s-a facut pentru n = 3 si frecventele f1 = 5 Hz si f2 =70 Hz si f3 = 1000 Hz. Figura 1.35 arata rezultatele acestor calcule si datele obtinute experimental, trasate pe aceeasi figura.

Figura 1.35. Componenta reala si imaginara a admitantei : calculate si masurate exp. (n=3)
Se observa din figurile de mai sus ca atat curbele experimentale cat si cele teoretice coincid in punctele de masurare. Si in afara acestor frecvente se poate vedea ca aproximarea este suficient de exacta. Deci se poate concluziona ca cele 6 elemente ce modeleaza bateria se comporta foarte bine in domeniul de valori de la 5 Hz la 1000 Hz.
Concluziile masuratorilor experimentale
Rezultatele urmatoare sunt obtinute dupa masuratori folosind sistemul DFRA/DFIS si baterii cu plumb intr-un program experimental facut de firma Midtronics, Inc. S-au facut n = 3 masuratori la frecventele : frecventele f1 = 5 Hz si f2 =50 Hz si f3 = 500 Hz.
In figura de mai jos sau reprezentat variatia celor trei constante de timp in functie de sarcina extrasa. S-a folosit o baterie de 55 Ah asi s-au extras sarcini in pasi de 4,6Ah.
Ce concluzie se poate trage din aceste figuri: aceea ca aceste constante sunt separate ca valori pe toata durata descarcarii. Acest lucru a fost valabil pentru toate tipurile de baterii studiate.

Figura 1.37. Constantele de timp si Capacitatea C2 in functie de Amp-ora extrasi din baterie
Figura 1.37 arata capacitatea C2 in farazi in conditiile in care am folosit o baterie de 60Ah si au fost extrase sarcini in pasi de 6 Ah. Se observa ca C2 scade monoton odata cu sarcina extrasa.
Aceasta sugereaza ca C2 poate fi folosit pentru a determina capacitatea absoluta a bateriei.
Conductanta G3 este desenata in functie de amperi-ora extrasi dintr-o baterie de 60 Ah.
Observam ca G3 se apropie de zero (observatie R3 = 1/G3 ) atat la capacitate maxima cat si la descarcare completa; maximul lui G3 se obtine foarte aproape de 50% din starea de incarcare. Aceasta observatie ne duce la concluzia urmatoarei relatii empirice:
G3 = K(G1)(SOC)(1 - SOC)
unde SOC ia valori intre 0,93 si 0,22. Acest rezultat este tipic pentru toate bateriile testate si poate fi folosit ca o metoda noua pentru determinarea SOC.

Figura 38. Capacitatea C2 si conductanta G3 in functie de Amperi-ora extrasi din baterie
Interpretare
Rezistenta R1 se presupune ca modeleaza curentul indus datorat diferentelor de potential dintre conectorii metalici, placi si electrolit. G1 este legat de curentul de test indus. Inductanta L1 descrie efectul de stocare a sarcinilor in campul magnetic. Nu a fost observata nici o legatura intre componentele electrochimice si L1.
Circuitul G3-C3 se presupune ca descrie
procesele chimice la borna negativa. Aceasta presupunere se
bazeaza pe valorile componentei
3 datorate si variatiei de temperatura. Circuitul G2-C2
se presupune ca descrie procesele electrice la borna negativa si din
rezultatele experimentale ar fi un condensator cu doua straturi.
In aceasta interpretare variatia capacitatii lui C2 incarcare descrie modificarea suprafetei placilor (sitelor) de plumb. Acest condensator este compus de fapt din doua condensatoare deoarece sunt 2 borne metalice si el modeleaza toate efectele chimice care sunt suma efectelor la cele doua borne si toate diferentele de potential datorate proceselor electrice. [28-32]
Placa negativa influenteaza foarte tare proprietatile bateriei. Asta deoarece cimpul electric ajuta migratia ionilor negativi. Reactiile electrochimice de la borna pozitiva sunt limitate in jurul electrodului si sunt mult mai lente decat la borna negativa.
[1] Bumby, J. R., P. H. Clarke, and I. Forster, U of Durham (UK), 'Computer modelling of the automotive energy requirements for internal combustion engine and battery electric-powered vehicle', IEE Proceedings, Vol 132, Pt. A, No. 5, Sept 1985, pp. 265-279)
[2] Moore, Stephen and Merhdad Eshani, Texas A&M, 'An Empirically Based Electrosource Horizon Lead-Acid Battery Model', Strategies in Electric and Hybrid Vehicle Design, SP-1156, 1996, pp.135-138
[3] Unnewehr, L. E. and Nasar, S. A., Electric Vehicle Technology, John Wiley, pp. 81-91, 1982)
[4] Dobner, Donald J. and Edward J. Woods, GM Research Laboratories, 'An Electric Vehicle Dynamic Simulation', 1982, pp. 103-115).
[5] Salameh, Ziyad M., Margaret A. Casacca and William A. Lynch, U of Lowell, 'A Mathematical Model for Lead-Acid Batteries', IEEE Transactions on Energy Conversions, Vol. 7, No. 1, March 1992, pp. 93-97)
[6] Salameh et al 1992 and Appelbaum, J and Weiss, R., 'Estimation of Battery Charge in Photovoltaic Systems', 16th IEEE Photovoltaic Specialists Conference, pp. 513-518, 1982).
[7] Bailey, K. E. and B. K. Powell, Ford Research Laboratories, 'A Hybrid Electric Vehicle Powertrain Dynamic Model', Proceedings of the American Control Conference, 1995, pp. 1677-1682)
[8] Powell, B. K., K. E. Bailey, and S. R. Cikanek, Ford Research Laboratories, 'Dynamic Modeling and Control of Hybrid Electric Vehicle Powertrain Systems', IEEE Control Systems, Oct 1998, pp. 17-33)
[9] Merkle, Matthew A., 1997, 'Variable Bus Voltage Modeling for Series Hybrid Electric Vehicle Simulation', Master's Thesis, Virginia Tech.
[10] Roan, Vernon P. and Anand Raman, U of Florida, 'An Approach to Incorporating Age and Electrolyte Temperature Effects on Performance Simulation of Electric/Hybrid Vehicle batteries', American Chemical Society, 1993, pp. 2.229-2.237)
[11] Valvo, Michael, et al, 'Development and Application of an Improved Equivalent Circuit Model of a Lead Acid Battery', 1996 31st Intersociety Energy Conversion Engineering Conference (IECEC), Volume 2, 1996)
[12] Ekdunge, Per, 'A simplified model of the lead/acid battery', Jornal of Power Sources, Vol 46, pp. 251-262, 1993) and at Virginia Tech (Merkle, 1997).
[13] Facinelli, W. A., 'Modeling and Simulation of Lead-Acid Batteries for Photocoltaic Systems', 1983 18st Intersociety Energy Conversion Engineering Conference (IECEC), Volume 4, 1983)
[14] K. S. Champlin, "Dynamic Method for Storage Battery Diagnostic Testing", 1975 SAE Off-Highway Meeting, Milwaukee WI, (Sept 8-11, 1975), Paper 750758.
[15] D. O. Feder, T. G. Croda, K. S. Champlin, and M. J. Hlavac, "Field and Laboratory Studies to Assess the State of Health of Valve-Regulated Lead Acid Batteries. Part I - Conductance/Capacity Correlation Studies", Intelec 92, pp. 218-233.
[16] M. J. Hlavec, D. O. Feder, T. G. Croda, and K. S. Champlin, "Field and Laboratory Studies to Assess the State-of-Health of Valve-Regulated Lead acid and Other Battery Technologies. Part II - Further Conductance/Capacity Correlation Studies", Intelec 93, pp. 375-383.
[17] D. O. Feder and M. J. Hlavec, "Analysis and Interpretation of Conductance Measurements Used to Assess the State-of-Health of Valve-Regulated Lead Acid Batteries. Part III - Analytical Techniques", Intelec 94, pp. 282-291.
[18] M. J. Hlavec and D. O. Feder, "VRLA Battery Monitoring Using Conductance Technology. Part IV - On Line State of Health Monitoring and Thermal Runaway Detection/Prevention", Intelec 95, pp. 284-291.
[19] M. J. Hlavec and D. O. Feder, "VRLA Conductance Monitoring. Part V - Strategies for VRLA Battery Testing and Monitoring in Telecom Operating Environments", Intelec 96, pp. 632-639.
[20] D. C. Cox, D. O. Feder, M. E. Troy, M. J. Hlavec, J. Dunn, and W. J. Popp, "Midpoint Conductance Technology Used in Telecommunication Stationary Standby Battery Applications", Intelec 97, pp. 695-702.
[21] M. Kniveton and A. I. Harrison, "Impedance/Conductance Measurements as an Aid to Determining Replacement Strategies", Intelec 98, pp. 297-301.
[22] G. J. Markle, "Ac Impedance Testing For Valve Regulated Cells", Intelec 92, pp. 212-217.
[23] See, e. g., H. Allison, "Frequency Response Analyzer", U. S. Patent 4,322,806, Mar. 30, 1982. See also website: www.solartron.com.
[24] D. Robinson, "Electrochemical Impedance Spectroscopy in Battery Development and Testing", Batteries International, (April 97), pp. 59 - 63.
[25] See, e.g., J. Ross MacDonald, Impedance Spectroscopy, J. Wiley and Sons, Inc. (1987)
[26] See, e. g., A. J. Bard and L. R. Faulkner, Electrochemical Methods, J. Wiley and Sons, Inc, (1980), pp. 60,633.
[27] A. K. Shukla, V. G. Kumar, N. Munichandraiah, T. S. Srinath, "A Method to Monitor Valve-Regulated Lead Acid Cells", Journal of Power Sources, 74, (1998), pp. 234-239.
[28] K. S. Champlin, "Dynamic Method for Storage Battery Diagnostic Testing", 1975 SAE Off-Highway Meeting, Milwaukee WI, (Sept 8-11, 1975), Paper 750758.
[29] D. O. Feder, T. G. Croda, K. S. Champlin, and M. J. Hlavac, "Field and Laboratory Studies to Assess the State of Health of Valve-Regulated Lead Acid Batteries. Part I - Conductance/Capacity Correlation Studies", Intelec 92, pp. 218-233.
[30] M. J. Hlavec and D. O. Feder, "VRLA Battery Monitoring Using Conductance Technology. Part IV - On Line State of Health Monitoring and Thermal Runaway Detection/Prevention", Intelec 95, pp. 284-291.
[31] M. J. Hlavec and D. O. Feder, "VRLA Conductance Monitoring. Part V - Strategies for VRLA Battery Testing and Monitoring in Telecom Operating Environments", Intelec 96, pp. 632-639.
[32] D. C. Cox, D. O. Feder, M. E. Troy, M. J. Hlavec, J. Dunn, and W. J. Popp, "Midpoint Conductance Technology Used in Telecommunication Stationary Standby Battery Applications", Intelec 97, pp. 695-702.
[33] M. Kniveton and A. I. Harrison, "Impedance/Conductance Measurements as an Aid to Determining Replacement Strategies", Intelec 98, pp. 297-301.
[34] G. J. Markle, "Ac Impedance Testing For Valve Regulated Cells", Intelec 92, pp. 212-217.
1. Emilian Ceuca: "New developements in battery chargers" Acta Universitatis Apulensis, Mathematics-Informatics, No. 3/2002, pag 35-43.
2. Emilian Ceuca, Ioan Ileana: "Representation of electronic control unit impedances in the simulation of RF current absortion by a vehicle wiring harness", Acta Universitatis Apulensis, Mathematics-Informatics, No. 3/2002, pag 45-53.
3. Emilian Ceuca: "Dual voltage in automotive and implications of electrical load with this voltage", Acta Universitatis Apulensis, Mathematics-Informatics, ISSN 1582-5329, No. 4/2002, pag 45-57.
4. Emilian Ceuca, Serban Lungu, Gabriel Chindris: "Integration of 14 V DC Electrical Load in New cars With 42 VDC Bus", Proceedings of the 8-th International Conference "SIITME 2002', 19-22 September 2002 pag 235-241, Cluj Napoca, Romania
5. Ceuca Emilian, Joldes Remus, Ileana Ioan: "Integrarea sarcinilor electrice de 14 V in autoturismele moderne", Lucrarile stiintifice ale Simpozionului International "Universitaria ROPET 2002', Inginerie Electrica 3, ISBN 973-8435-23-4, 17-19 Octombrie 2002, Petrosani, pag. 151-156.
6. Ceuca Emilian, Ileana Ioan: "New developments in battery chargers", Lucrarile stiintifice ale Simpozionului International "Universitaria ROPET 2002', Inginerie Electrica 3, ISBN 973-8435-23-4, 17-19 Octombrie 2002, Petrosani, pag. 157-160.
7. Emilian Ceuca, Remus Joldes, Ioan Ileana: "Integration of 14 V Electrical Components with 42V Bus", microCAD 2003 International Scientific Conference, Miskolc, Hungary, 6-7 March 2003, ISBN 963- 661-547 - 0, Section J, Electrotechnics and Electronics, pag. 19-24.
8. Ceuca Emilian, Lungu Stefan, Ileana Ioan: "Simulation of a New Methods in Battery Modelling", Proceedings of the 9th International Conference on Soft Computing "MENDEL 2003', June 4-6, 2003, Brno, Czech Republic, pag. 279-284.
9. Emilian Ceuca, Remus Joldes, si Ioan Ileana: Dual Voltage in Automotive and Loads Implication, autori: Emilian Ceuca, Remus Joldes, si Ioan Ileana, lucrare acceptata in volumul 12/2003 nr.1 al Revistei Automation Computers Applied Mathematics (ACAM) Cluj-Napoca.
10. Ceuca Emilian, Serban Lungu, Ileana Ioan: "The Simulation of Vehicle Wiring Harness in Automotive", Proceedings of International Carpathian Control Conference (ICCC'2003), pag. 245-248, ISBN 80-7099-509-2.
11. Ioan Ileana, Corneliu Ovidiu Iancu, Emilian Ceuca, Corina Rotar: "On the Using of CGH for Artificial Neurons Interconnection", PROCEEDINGS OF SPIE, 2003, Volume 5227, ISSN 0277-786X, ISBN 0-8194-5100-2, pag. 170-177
12. Ceuca Emilian, Lungu Stefan, Ileana Ioan: "Technologies and new methods for lighting system of road vehicles", PROCEEDINGS OF SPIE, 2003, Volume 5227, ISSN 0277-786X, ISBN 0-8194-5100-2, pag. 308-311.
13. Emilian Ceuca, Serban Lungu si Remus Joldes: VRLA Battery Modelling and Simulation with Mathlab, lucrare publicata in Proceeding of the Twelfth IASTED International Conference on Applied Simulation and Modelling, Marbella September 3-5 2003 Spain, ISBN 0 88986 384 9, ISSN 1021 8181, pag. 217 - 221, 2003.
14. Emilian Ceuca, Serban Lungu: "Simulation of Power Electrical Circuits of Automotive", Acta Universitatis Apulensis, Mathematics-Informatics, ISSN 1582-5329, No. 7/2004, pag 229-243.
Introducere 1
1.2. Stadiul cunoasterii 1
1.2.1 Marimi care caracterizeaza bateria 2
1.2.2. Modelul electrochimic al bateriei 4
1.2.3. Relatia lui Peukert 5
1.2.4. Modelul SHEPHERD (Modelul Rint) 6
1.2.5. Modelul THEVENIN al circuitului echivalent al bateriei 8
1.2.6. Modelul neliniar al circuitului echivalent al bateriei 8
1.2.7. Modelul LUMPED al circuitului echivalent al bateriei (liniar dependent de SOC) 10
1.2.8. Impactul temperaturii asupra capacitati 10
1.2.9. Starea de incarcare 11
1.2.10. Varsta bateriei 12
1.3. Circuitul echivalent al bateriei - model matematic propus spre simulare ( Modelul RC) 13
1.3.1. Modelul RC - circuit echivalent propus , pentru incarcare la tensiune constanta 13
1.3.2. Modelul RC - modelarea matematica a circuitului de incarcare a bateriei 15
1.3.3. Modelul RC - modelarea matematica a circuitului de depozitare a bateriei 18
1.3.4. Modelul RC - modelarea matematica a circuitului de descarcare a bateriei 18
1.3.5. Modelul RC - Determinarea a capacitatii echivalente C 19
1.3.5. Modelul RC - Determinarea a capacitatii echivalente C - pentru modelarea proceselor de suprafata 20
1.3.6. Modelul RC - modelarea matematica a circuitului de incarcare la curent constant 22
1.3.7. Modelul RC - modelarea matematica a circuitului pentru regim stationar (depozitarea bateriei) 24
1.3.6. Modelul RC - modelarea matematica a circuitului pentru descarcare la curent constant 25
1.4. Rezultatele experimentale ale modelarii si simularii 27
1.4.1. Metode de a scrie ecuatiile de stare 27
1.4.2. Pasul de integrare 27
1.4.3. Rezultate experimentale 28
1.5. Concluzii, contributii personale si directii de dezvoltare 31
1.5.1. Concluzii 31
1.5.2. Contributii personale 31
1.5.3. Directii de continuare a cercetarii 32
1.6. Bibliografie 37
1.6.1. Articole publicate de autor 38
|