ALTE DOCUMENTE
|
|||||||||
eforturi unitare în barele drepte solicitate la încovoiere
Sa se determine grinda din figura 1, daca a = 150 N/mm2.

![]()

Se adopta t = 6 mm.
2. Sa se verifice grinda di 222p152c n figura 2, daca a = 150 N/mm2.
![]()
Rezolvare
![]()
![]()
,
grinda rezista.
Figura 2
3. Sa se determine sarcina capabila la grinda din figura 3, daca l = 1,2 m, a = 150 N/mm2.
Rezolvare
![]()
![]()
![]()
Figura 3
4. Sa se traseze diagrama de variatie a tensiunilor normale în sectinea cea mai solicitata a grinzii din figura 3.

Rezolvare
Coordonatele centrului de greutate al sectiunii, momentele de inertie principale si directiile principale sunt:
ZG = 46,5 mm; yG = 35 mm;
Iy = I1 = 6,62 · 106 mm4 ; Iz = I2 = 1,12 · 106 mm4 ;
Momentul încovoietor M face cu axa principala Oy unghiul
Coordonatele punctelor a si b (cele mai departate de axa neutra) în sistemul yOz se determina în functie de coordonatele din sistemul y′Oz′ .Astfel,
za =za'· cos - ya'· sin = -46,5 cos 16° - (-35) sin 16° = -35,05 mm;
ya = za' sin + ya' cos = -46,46 mm
Tensiunea din punctul a este
![]()
În mod analog rezulta
![]()
5. Sa se calculeze tensiunea normala maxima la grinda din fig. 5, daca l = 1 m, b = 30 mm, h = 2,4 b, P = 1,5 kN.

Figura 5
Rezolvare
Axa neutra are ecuatia

Înlocuind N = 60 P, My = -1,152 Pl, Mz = -0,3 Pl, A = 2,4 b2, Iy = 1,152 b4, Iz = 0,2 b4, se obtine ecuatia axei neutre în sectiunea din încastrare
-2,4 lz + 3,6 ly + 60 b2 = 0,
ale carei taieturi sunt:
![]()
Tensiunea maxima apare în punctul I (de coordonate z1 = -1 b si y1 = 0,5 b) si are valoarea
![]()
Sa se traseze diagrama de variatie a tensiunilor normale în sectiunea barei din figura 6.

Rezolvare
A = 69 · 12 + 8 ·90 = 1440 mm2
![]()
![]()
![]()
z 0 = -19,5 mm; y 0 = -30 mm.
Axa neutra a sectiunii are ecuatia,
![]()
iar taieturile sunt: z = 50,95 mm; y = 5,09 mm
Tensiunile extreme (în punctele a si b) sunt:

b = -62,6 N/mm2.
7. Sa se traseze diagrama de variatie a tensiunilor tangentiale la sectiunea din figura 7.
Rezolvare
![]()
![]()
![]()
![]()

7. Sa se afle sageata v3 la bara din figura 8.
Rezolvare
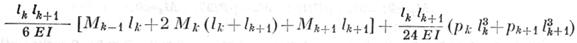
Cele doua intervale sunt determinate de punctele 1, 2, 3. Se foloseste relatia (*), în care se înlocuiesc:
vk -1 = v1 = 0; vk = v2 = 0; vk + 1 = v3; lk = l1; lk + 1 = a; Mk - 1 = M1 = 0
Mk = M2 = -Pa; Mk + 1 = Ma = 0; pk = p2 = p; pk + 1 = pa = 0
de unde:
Figura 8 Figura 9
8. Sa se determine sagetile v2 si v3 la bara cu moment de inertie constant din figura 9.
Rezolvare
Se aplica ecuatia (**), succesiv pentru intervalele 1-2-3 si 2-3-4. În prealabil s-au determinat reactiunile, care dau momentele încovoietoare
M1 = 0; M2 = pl2/18; M3 = pl2/27; M4 = 0.
![]()
Rezolvarea acestui sistem da solutiile:
|