LUCRAREA NR. 1
MĂSURĂRI DE REZISTENTE CU PUNTEA WHEATSTONE
Principiul lucrarii:
Puntea Wheatstone este un montaj electric care permite masurarea cu precizie a rezistentelor prin metode de comparatie cu rezistente etalon.
O punte Wheatstone consta, în esenta, dintr-o retea electrica completa, pur rezistivâ, alcatiuta din patru laturi si patru noduri, alimentata în curent continuu. Plasând rezistenta de masurat într-una din laturi, iar în celelalte trei/ezistente de comparatie cunoscute, tensiunea între doua noduri neadiacente unei aceleiasi kîuri depinde de rezistentele retelei si poate fi utilizata pentru determinarea rezistentei necunoscute.
Fig. 1 - Schema de principiu a puntii Wheatstone
Schema de principiu a puntii Wheatstone este prezentata în Fig. 1, în care:
a, b - rezistente de precizie ridicata care pot fi modificate în trepte zecimale; la uncie punti montate (asamblate) se modifica direct (in trepte zecimale) raponul a/b;
R - rezistenta de precizie ridicata din care se asigura echilibrarea puntii, alcatuita din înscrierea mai multor rezistente deeadice variabile, cu treapta minima de variatie 0,010-1 Q;
X - rezistenta de masurat;
DN - detector de nul(galvanomctru);
E - sursa de alimentare cu tensiune continua;
Rh - reostat dereglaj.
Se pot pune în evidenta, pe structura din Fig 1, doua diagonale cu roluri functionale diferite:
AB - diagonala de alimentare, în care este plasata sursa de tensiune continua;
CD - diagonala de masurare, in care se afla conectat aparatul de masurat (galvanometrul), care indica tensiunea UCD, între nodurile C si D (respectiv curentul Ig generat de aceasta).
Pentru protectia galvanometralui, în serie cu acesta se prevede rezistenta Rp, care poate fi scoasa din circuit prin apasarea butonului cu revenire BR.
Puntea Wheatstone poate lucra In regim echilibrat sau dezechilibrat; echilibrarea se poate realiza manual (de catre operator) sau automat - prin reactie -pe baza informatiei furnizate de valoarea tensiunii de dezechilibru UCD în cadrul lucrarii se va studia puntea Wheatstone lucrând în regim echilibrat, cu echilibrare manuala:
1.1. Functionarea puntii Wheatstone în regim echilibrat
Pentru anumite valori ale rezistentelor din laturile (bratele) puntii, tensiunea UCD, si respectiv, curentul Ig se anuleaza. Aceasta situatie corespunde regimului echilibrat al puntii si prezinta avantajul ca permite determinarea valorii rezistentei de masurat X numai în functie de valorile rezistentelor a, b si R din celelalte laturi, fara a depinde de elementele digonalei de alimentare si diagonalei de masurare. Într-adevar, pentru Ig=0, trbuie îndeplinite conditiile:
aI1 = bl (1)
XI1=RI2 (2)
de unde rezulta:
X=a/b*R (3)
Masurarea rezistentelor cu puntea Wheatstone îh regim echilibrat consta deci,, în modificarea valorilor rezistentelor de comparatie a, b, R pâna ce se obtine indicatia Ig = 0 la aparatul de masurat. Asadar masurarea se face printr-o metoda de zero, deci aparatul de masurat trebuie sa fie un detector de nul (aparat demare sensibilitate care nu necesita o scara gradata extinsa, el fiind utilizat numai pentru a sesiza anularea curentului prin diagonala de masurare).
Datorita simplitatii relatiei (2) de determinare a rezistentei X, cat si a preciziei ridicate de masurare (dependenta fn exclusivitate de precizia rezistentelor de comparatie), puntea Wheatstone în regim echilibrat reprezinta unul din cele mai utilizate mijloace de masurare a rezistentelor.
În cazurile în care rezistentele din laturile puntii nu satisfac relatia (2), deci tensiunea UCD≠0, puntea Wheatstone se afla în regim dezechilibrat. Curentul prin diagonala de masurare Ig este dat de relatia (3), dedusa prin aplicarea legilor Kirchhoff:
(4)
în care:
Rs - rezistenta diagonalei de alimentare;
Rb - rezistenta diagonalei de masurare.
Se poate constata ca în regim dezechilibrat rezistentele a, b, R, RD, Rs, precum si tensiunea E fiind fixate, lg depinde numai de rezistenta X si printr-o adecvata a scarii aparatului de masurat (care numai este detector de nul), se poate citi direct valoarea rezistentei de masurat
Este evident ca la efectuarea masurarilor în regim dezechilibrat, precizia este mai redusa, intervenind in plus erorile introduse de aparatul de masurat, de rezistentele celor doua diagonale si de variatiile tensiunii sursei de alimentare.
Relatia (3) permite efectuarea unei analize pe baza careia sa se poata deduce atât modalitatile de echilibrare sistematica a puntii, cât si de exprimare a indicatorilordc calitate ai masurarilor cu puntea Wheatstone.
Se remarca usor câ punând în relatia (3) conditia Ig=0 se obtine imediat relatia (2).
Domeniul de masurare; conform relatiei (2), limitele superioara si inferioara ale rezistentelor ce pot fi masurate cu puntile Wheatstone uzuale se pot determina, teoretic cu relatiile:
Domeniul practic de masurare cu aceste punti este însa mai restrâns, îndeosebi în ceea ce priveste limita inferioara care nu poate fi mai mica de 1Ω (întrucât rezistentele de contact si cele ale firelor de legatura devin comparabile cu rezistenta de masurat); pentru X>106Ω sensibilitatea puntii scade considerabil. Rezulta câ, pentru asigurarea calitatii masurarii, domeniul practic de utilizare a puntii Wheatstone este 1Ω≤X≤105Ω .
11. Chestiuni de studiat;
2.1.Se vor masura rezistentele etalon de 10Ω, 100 10110t1919k 937;, 1000Ω si 10000Ω pe diverse rapoarte a/b, stabi!indu-sc raportul cel mai convenabil pentru fiecare din valorile mentionate.
2.2.Se vor efectua masurari asupra unui set de 5 rezistente industriale de valoare necunoscuta.
2.3.Pentru un lot de 5 rezistente industriale de valoare cunoscuta se va verifica incadrarca în clasele de tolerante standardizate.
2.4.Se vor masura rezistentele interne ale unui muitimetru (pozitionat pe V c.c.) pe toate scarile acestuia si se vor compara cu valorile înscrise pe scala.
III. Schemele de montaj si modul de lucru:
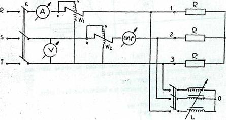
NOTA: În continuare se descriu schemele de montaj si modul de lucru bazate pe utilizarea puntii Wheatstone tip RWh 2.1a (INMB); pentru alte tipuri de punti montajele si operatiile de efectuat sunt similare, deosebirile fiind sesizate la performantele acestora si amplasarea diferita a elementelor de reglaj.
Pentru toate punctele prevazute la chestiuni de studiat se executa montajul din Fig.2.
în care:
SA- sursa de c.c. externa de alimentare a puntii Wheatstone fixata initial, înainte de conectarea la bornele B, pe baza indicatiei volumului V sau a elementelor sale de reglaj, la valoarea de 6 V;
DN - detector de nul (galvanometru) cu sensibilitatea de curent S1≥106 pentru asigurarea unui regim tranzitoriu minim acului (spotului) galvanometrului, în paralel cu acesta s-a prevazut rezistenta Rexd egala cu rezistenta critica exterioara a galvanometrului utilizat;
X - rezistenta necunoscuta (de masurat).
Fig. 2 Schema montajului pentru masurarea rezistentelor cu puntea Wheatstone
OBSERVATII IMPORTANTE
A. înainte de cuplarea sursei SA în circuitul puntii Wheatstone, sau la schimbarea rezistentei de masurat X, ambele taste "BRUT" si "FIN", prin care se
introduce în circuit detectorul de nul (galvanometru), trebuie obligatoriu sa fie de presate!
B. Pentru a asigura manevrarea optima a rezistentei de echilibrare R, printr-o polartare adecvata a puntii, este necesara o etapa pregatitoare, care se efectueaza astfel:
- se conecteaza la bornele rezistentei Rt o rezistenta etalon de IOQ;
- se fixeaza R pe valoarea I2Q;
- se apasa tasta "BRUT" urmar induse deviatia galvanometrului; daca deviatia acestuia este spre stânga se vor inversa conexiunile sursei SA la bornele punfii (sau se va apasa butonul de inversare al polaritatii BP existent pe panoul frontal al puntii Wheatstone tip RWh 2.1a.); aceasta configuratie va ramane nemodificata pe perioada efectuarii tuturor determinarilor deoarece, atunci când deviatia galvanometrului este spre dreapta rezulta ca (a/b)R>X si în consecinta R trebuie micsorata pentru asigurarea echilibrarii puntii, iar când deviatia este spre stânga rezulta ca (a/b)R<XsJ deci R trebuie marita.
ATENŢIE! Orice determinare, care îheepe dupa ce îh prealabil s-a conectat sursa SA în circuitul puntii Wheatstone, iar rezistenta X s-a fixat la bornele R^, presupun mai întâi apasarea tastei "BRUT" si manevrarea rezistentei de echilibrare R pâna la aducerea indicatiei galvanometrului la zero, si apoi apasarea tastei "FINM manevrând rezistenta R din ploturile cele mai putin semnificative pentru aducerea indicatiei galvanometrului la zero.
3.1.Pentru efectuarea determinarilor, conform punctului 2.1. de la chestiuni de studiat, se conecteaza la punte prima dintre rezistentele etalon indicate. Deoarece valorile rezistentelor de masurat sunt cunoscute, se vor alege pentru masurare toate rapoartele a/b care fac posibila masurarea, tinând seama de caracteristicile puntii, pentru indcplinirea relatiei (2).
Masurarile se vor face, utilizând pe rând toate aceste rapoarte, procedându-se în felul urmator:
- se fixeaza raportul a/b si rezistenta R la o valoare convenabila;
- se apasa tasta "BRUT" si se cautâ ca prin manevrarea lui R sâ se aduca indicatia detectorului de nul la zero;
- echilibrarea astfel obtinuta este apoi verificata, prin apasarea tastei "FIN", manevrandu-sc eventual rangurile zecimale inferioare ale rezistentei R.
Daca sunt situatii m care pe pozitia "FIN", nu se poate obtine o echilibrare perfecta, se trece la determinarea rezistentei necunoscute prin interpolare. Pentru aceasta, cu tasta "FIN" apasata, se dau din rangul cel mai putin semnificativ a! rezistentei R, doua valori R, si R2 care sa produca deviatii de 3-5 diviziuni ale spotului galvanometrului, la stânga, respectiv la dreapta lui zero.
Pentru fiecare rezistenta etalon masurata se va indica raportul a/b optim din punct de vedere al posibilitatii de utilizare a cât mai multor decade ale rezistentei R.
Rezultatele masuratorilor se trec intr-un tabel conform modelului prezentat în paragraful IV.
3.2.Pentru masurarea unei rezistente industriale necunoscute, conform punctului 2.4. al chestiunilor de studiat, se va proceda îh felul urmator:
- se conecteaza rezistenta necunoscuta Ia bornele Rx;
- se fixeaza raportul a/b=l, se da lui R valoarea maxima, testându-se directia în care deviaza spotul galvanometrului, prin apasarea tastei "BRUT" (testarea presupune apasarea tastei respective, fara însa a o mentine fn aceasta pozitie). Se * modifica apoi R, la valoarea 1Q si se testeaza din nou directia în care deviaza / spotul galvanometrului la apasarea "BRUT". Daca:
a) în cele doua situatii deviatiile sunt la dreapta, rezulta ca valorile (a/bJR^, (a/b)lQ, sunt mai mari decât X si ca atare, raportul a/b trebuie scazut (IO*1, IO"2), reluându-se toata operatia de la început, pâna se ajunge la situatia c);
b) în cele doua situatii deviatiile sunt la stânga, rezulta ca valorile (a/b)RmiK, (a/b)lQ, sunt mai mici decât X si ca atare, raportul a/b trebuie marit, reluându-se toata operata de la început, pâna se ajunge la situatia c);
c) îh cele doua situatii se obtin deviatii în sensuri contrare, rezulta câ raportul a/b ales, corelat cu valorile lui R, permite masurarea rezistentei necunoscute X.
în aceasta situatie, tinând seama ca, deviatiile la dreapta se obtin pentru raportul (a/b)Rmax>X, se cauta echilibrarea puntii, scazând rezistenta R de la valoarea maxima. Odata terminata echilibrarea pe pozitia "BRUT", se reface echilibrarea pe pozitia "FIN".
In urma acestei operatii se obtine o prima valoare a rezistentei necunoscute, v Pentru ca masurarea sa se faca in conditii de maxima precizie, trebuie facuta toata operatia, stabilind acum raportul a/b optim pentru rezistenta de masurat (vezi punctul 3.1.).
Rezultatele vor fi trecute într-un tabel conform modelului prezentat fn paragraful IV.
3.3.Opcratiile de masurare pentru lotul de rezistente industriale cunoscute la t care trebuie determinate tolerantele, se vor efectua similar ca la punctul 3.1., iarf rezultatele se vor prezenta într-un tabel conform modelului din paragraful IV.
3.4.Pentru masurarea rezistentei interne a unui multimetru, conform punctului 2.6. al chestiunilor de studiat, se conecteaza la bornele Rx ale puntii multimctrul MAVO-35 pozitionat pe V c.c, având rezistenta interna normata : (20KQ/V) indicata pe scala acestuia. Pe baza acestor indicatii se stabileste raportul a/b optim si se procedeaza la masurarea rezistentei interne, conform celor aratate la punctul 3.1. (pentru aceste valori ale rezistentelor la borne cuprinse în domeniul de masurare al puntii).
Rezultatele vor fi trecute într-un tabel conform modelului prezentat în paragraful IV.
IV. Rezultate experimentale:
4.1.Rezultatele experimentale obtinute la masurarea rezistentelor etalon, conform punctelor 2.1. ale chestiunilor de studiat, se vor prezenta într-un tabel de forma:
REΩ
a/b
RΩ
XΩ
RΩ
Observatii
unde:
RE - rezistenta etalon masurata de puntea Wheatstone;
a/b - raportul fixat la puntea Wheatstone;
R - valoarea rezistentei de echilibrare citita pe punte;
R2 - valoarea rezistentei de echilibrare citita pe punte îh cazul interpolarii, careia li corespunde deviatia stânga at;
Ri - valoarea rezistentei de echilibrare citita pe punte îh cazul interpolarii, careia îi corespunde deviatia dreapta a2
X - valoarea calculata a rezistentei conform relatiei (2);
R - valoarea calculata a rezistentei de interpolare conform relatiei (6).
4.2.Rezultatele experimentale ootinute la masurarea rezistentelor industriale, conform punctelor 2.4. si 2.5. ale chestiunilor de studiat, se vor trece in tabelul 2 ., în care:
Tn - toleranta fnscrisa pa rezistenta industriala;
a/b - raportul dedus (ales) la puntea Wheatstone;
R - valoarea rezistentei de echilibrare;
X - valoarea calculata a rezistentei industriale conform relatiei (2);
Nr. crt.
Ta %
a/b
R Ω
X Ω
зrn %
Observatii
Rl
R2
[%] - eroarea relativa procentuala calculata pentru rezistenta industriala pe baza dctenninariicu puntea Whcatstonc, unde Rn reprezinta valoarea inscriptionata de fabricant pe aceasta.
La rubrica numarul curent, în ca/ul rezistentelor industriale necunoscute se va trece numarul inscriptionat pe fiecare (de pe montajul cu rezistente), iar în cazul celor marcate valoarea lor nominala R".
4.3.Rezultatele experimentale obtinute la masurarea rezistentelor Ia borne a unui multimetru, conform punctului 2.6. al chestiunilor de studiat, se vor prezenta într-un tabel de forma:
Tabel 3 . (model)
|
Domeniul MAVO-35 |
rv Ω/V |
Rbc |
a/b |
R Ω |
X Ω |
Observatii |
|
0-1 V |
|
|
|
|
|
|
|
0-2.5 V |
|
|
|
|
|
|
|
0-10 V |
|
|
|
|
|
|
|
0-25 V |
|
|
|
|
|
|
în care:
rv - rezistenta interna normata (Q/V) a aparatului;
Rbc - rezistenta la borne calculata pe domeniu! respectiv;
a/b - raportul optim ales la puntea Wheatstone;
R - valoarea rezistentei de echilibrare;
X - valoarea calculata a rezistentei conform relatiei (2), care reprezinta rezistenta la borne a aparatului (determinata cu puntea Wheatstone) pe domeniul respectiv.
La rubrica observatii se vor face aprecieri privind comparatia dintre Rbc si X.
LUCRAREA NR. 2
MĂSURAREA REZISTENŢELOR PRIN METODE INDUSTRI
1.Generalitati
Rezistenta este o marime fizica a caret masurare se face într-un larg interval valoric, de la 10-8 Ω (rezistente de contact) pâna la 1018 Ω (rezistentele unor izolatii de buna calitate), în gama frecventelor de Ia O (c.c.) pâna la sute de megahertzi.
Rezistenta se poate masura fie în c.c, fie în ca., si în consecinta s-a dezvoltat o mare varietate de metode de masurare în functie de intervalul valoric, frecventa, eroare admisibila, cerinte impuse modului de afisare (analogic sau digital).
Alegerea unei anumite metode este conditionata th principal de ordinul de marime prezumat pentru rezistenta si de precizia impusa masurarii.
In c.c. rezistenta unui receptor pasiv este definita ca raportul dintre tensiunea la bornele sale si curentul care îl strabate:
R=U/I (1)
În c.a., rezistenta unui receptor pasiv este definita ca raportul dintre puterea activa consumata de receptor si patrarul valorii efective a curentului alternativ care-l strabate:
R=P/I2 (2)
Rezistenta în c.c. a unui receptor este constanta; în ca. rezistenta variaza în functie de frecventa tensiunii de alimentare, ca o consecinta a efectului pe!icu!ar a pierderilor prin curenti turbionari si prin histerezis.
In ca. masurarea rezistentei se va face printr-o metoda indirecta: se determina uterea consumata de receptor cu wattmetrul, iar cu ampennetrul se masoara valoarea fcctiya a curentului care strabate rezistenta.
Limita superioara de frecventa a aparatelor trebuie sa fie mni mare dc-cat
(frecventa la care se mâsoara rezistenta.
Metodele industriale de masurare a rezistentelor sunt: metoda substitutiei,metoda rezistentei aditionale, metoda voltmctrului, metoda ampermetnilui si volmetrului.
1 .Metoda substitutiei:
Metoda substitutiei csîe o metoda directa de masurare a rezistentelor folosind un singur aparat indicator: ampennetrul (miliampcrrnctrul) sau voltmelmj. Precizia de (masurare a rezistentei Rx este independenta de clasa de precizie a aparatului utilizat.

Schemele din figura 1, rezistenta necunoscuta R se monteaza in paralel cu o rezistenta etalon de comparatie Rc reglabila, de valoare cunoscuta (rezistenta în decade).
Metoda implica doua masurari succesive si anume: comutatorul K închis, K, pe pozitia "a", se introduce h circuit rezistenta necunoscuta R, si se citeste indicatia aparatului (A sau V). Se comuta K, pe pozitia "b", introducând în circuit rezistenta etalon Rc, care se regleaza pâna se obtine aceeasi indicatie a aparatului. Cei doi curenti sau tensiuni fiind egali (egale), rezulta ca valoarea marimii de masurat R, este egala cu valoarea marimii reglate Rc.
Precizia de masurare depinde de precizia cu care se cunoaste Rc si de stabilitatea sursei de tensiune.
2. Metoda voltmetrului:
Metoda voltmetrului se utilizeaza pentru masurarea rezistentelor foarte mari, comparabile cu rezistenta intema a voltmetrului care se utilizeaza (fig-3)-
Când comutatorul K este pe pozitia 1, voltmetrul V cu rezistenta interna R, va masura tensiunea Uo, la bornele sursei (E=2-4 V).
Se comuta K pe pozitia 2, voltmetrul indicând tensiunea Ux. Având rezistenta interioara R,, a voltmetrului, masurând tensiunile Uo si Ux, se determina rezistenta necunoscuta R;
k->1: I0=E/Rv U0=I0*Rv
k->2: Ix=E/(Rx+Rv) Ux=Ix*Rv
Uo/Ux=(Rx+Rv)/Rv
3.Metoda ampermetrului si volmetrului
Aceasta metoda de masurare a rezistentei este o metoda indirecta. Ampennetrui si voltmetrul utilizat trebuie sâ fie de precizie ridicata.
Dupa modul de legare a voltmctrului fata de ampernictru se disting: montajul amonte (figA) si montajul aval (fig.5).
Notând cu U si I indicatiile voltmetrului si ampermetrului cu relatja R=U/I se comite eroarea sistematica de metoda ce trebuie corectata.
a) Montaj aval - relatia corecta de calcul se stabileste tinând seama de curentul ce trece prin voltmetru:

I=Iv+Ix
Ix=I-Iv=I-U/Rv
Rx=U/Ix
Eroarea relativa de metoda în montajul aval este negativa si aratat mai mica cu cât rezistenta Rx de masurat este mai mica decât rezistenta R, a voîtmetrului.
In concluzie, pentru masurarea unei rezistente mici se va adopta montaju! aval, iar pentru o rezistenta mare - montajul amonte.
b) Montai amonte: - relatia de calcul se stabileste tinând seama de caderea de tensiune pe rezistenta ampermetrului.
Eroarea relativa de metoda (n montaj amonte este pozitiva si cu atât mai mica cu cat rezistenta de masurat R, este mai mare decât rezistenta interna R, a ampermetniîui. Schema de montaj pentru metoda voltampcrmctricâ este urmatoarea:
Semnificatia elementelor prezentate în schema de masurare a rezistentelor prin metoda voltampermetrica este urmatoarea:
V - voltmetru;
A - ampermetru;
K - comutator cu doua pozitii pentru realizarea montajelor amonte (K pe pozitia 1) si aval (K pe pozitia 2);
Rx - rezistenta necunoscuta.
5. Modul de lucru si chestiuni de studiat:
a) Se realizeaza montajul din fig.f ), facându-se masurari conform descrierii de la punctul I.
b) Se realizeaza montajul din fîg-3), se alimenteaza cu o tensiune continua de 4V. Se citesc tensiunile U" când K este pe pozitia 1 si Ux când K este pe pozitia 2. Se trec în tabel si se determina rezistenta R, (care va fi o rezistenta în decade, de 10.0000)
Metoda voltmetrului
|
Nr. Crt. |
Cv V/div |
av div |
U0 V |
Ux V |
Rv |
Rx |
Observatii |
|
|
|
|
|
|
|
|
|
|
|
|
|
|
|
|
|
|
c) Se realizeaza montajul din fig.6). Se alimenteaza pe rând, cu tensiunile alternative: 127V si 220V. Se fac citirile aparatelor (Ampermetru si Voltmetru) pentru montajul amonte (cu K pe pozitia 1) si aval (cu K pe pozitia 2), trecându-se în tabel. Cunoscându-se RA siRv se determina Rx.
|
Felul montajului |
CA A/div |
αA div |
I A |
Cv A/div |
αv div |
U V |
RA |
Rx |
ΔRX |
Observatii |
|
amonte |
|
|
|
|
|
|
|
|
|
|
|
aval |
|
|
|
|
|
|
|
|
|
|
LUCRAREA NR. 3
MĂSURAREA DE REZISTENŢE, INDUCTANŢE
sI CAPACITĂŢI CU PUNTEA RLC
1.Principiul lucrarii:
Puntile RLC sunt instrumente electronice destinate masurarii rezistentelor, capacitatilor precum si altor marimi caracteristice acestora (unghiul de pierderi la condensatoare, factorul de calitate la bobine etc).
Din punct de vedere constructiv, puntile RLC cuprind o schema de masurare fn care se introduce impedanta necunoscuta (rezistenta, inductanta sau condensator) si o serie de blocuri electronice care asigura prelucrarea si afisarea informatiei primite de la schema de masurare; de asemenea, în structura puntii intra sursele de alimentare necesare atât alimentarii schemei de masurare cat si blocurilor electronice. "

Fig.1 Fig.2
In general schema de masurare este o punte de impedante cu structura din Fig. 1., în care una din impedante reprezinta clementul necunoscut Zs (de masurat). Impcdantele Z^, Z^, Z, sunt de valori cunoscute si pot fi variate astfel încât din manevrarea lor, sâ se obtina echilibrarea puntii (sesizata de detectorul de nul DN).
Conditia generala de echilibrare a unei astfel de punti rlc:
Z1Z3=Z2Z4
Ţinând scama ca impedantele pot fi puse sub forma:
Zi=Ri+jXi, i=1,2,3.x
unde:
Ri - este partea reala a impedantei;
Xi - este partea imaginara a impedantei.
Rezulta ca relatia generala conduce la conditiile de echilibru:
R1R3-X1X3=R2RX-X2XX
R1X3 - R3X1 = R2RX - RXX2
In functie de pozitia unor comutatoare (existente pe panou! frontal a! aparatului), puntea RLC poate avea una din structurile:
- punte Wheatstone pentru masurarea rezistentelor,
- punte Wien pentru masurarea capacitatilor si a unghiului de pierderi la condensatoare;
- punte Maxwell pentru masurarea inductivitâtilor si a factorului de calitate la inductante.
Atunci când impedanta necunoscuta 2 este o rezistenta, schema de masurare devine o punte Wheatstone, ca în Fig. 2. Din conditia de echilibru rezulta:
Rx=(R1/R2)*R3
astfel ca, pentru un anumit raport R1/R2, echilibrarea se asigura prin varierea rezistentei R pâna când detectorul de nul DN indica zero. La aceasta structura alimentarea puntii se face în c.c, iar detectorul de nul este de asemenea de c.c.
Daca impedanta necunoscuta Zx este un condensator, schema de masurare devine o punte Wien, destinata masurarii capacitatii si unghiului de pierderi pentru condensatoare cu pierderi mici (Fig. .3.a), respectiv pentru condensatoare cu pierderi mari (Fig. 3b).
Conditiile de echilibru pentru puntea Wien din Fig. 3.a sunt:
Rx=(R1/R2)*R3
Cx=(R2/R1)*C3

Fig.3,a) Fif.3.b)
Fig 3. Schema tic masurare a puntii RLC (punic Wicn)pcnlru condensatoare cu
pierderi mici (a), respectiv pentru condensatoare cu pierderi mari (B) Pentru C, si R, fixate, echilibrarea puntii presupune mai întâi varierea rezistentei R. pâna când detectorul de nul DN indica o valoare minima, urmata de varierea rezistemei R, pana la atingerea zero pe DN (în realitate se repeta succesiunea de echilibrare prin modificarea rezistentelor R, si R, pana la obtinerea pe DN a unui minim minimorum).
Rezulta ca pentru echilibrarea puntii, rezistenta variabila R, ofera informatii despre valoarea capacitatii necunoscute C\ si in consecinta, poate fi gradata direct în unitati de capacitate (Farazi); similar, rezistenta variabila R, poate fi gradata în valori a!e tangentei unghiului de pierderi (tg5).
Analog, pentru schena punti» Wien de masurare a condensatoarelor cu pierderi mari din Fig. 3:b, rezulta aceleasi conditii de echilibru descrise de relatiile (5), iar:
Atât la echilibrarea puntii, cat si la gradarea rezistentelor variabile R: si R, se realizeaza similar metodologiei expuse la condensatoare cu pierderi mici.
Fig.4 Schema de masurare a puntii Rl.C (punte Maxwell) pentru inductante
Daca impedanta necunoscuta Zs este o inductantâ, schema de masurare devine o punte Maxwell (Fig. .4.), în care s-a considerat cazul echivalarii inductantei prin inductivitatca proprie Lvîn scrie cu rezistenta ohmica Rv Conditiile de echilibru sunt:
Rx=(R1/R2)*R3
Lx=R1*R2*C2
Pentru C2 si R1 fixate echilibrarea puntii presupune mai întâi, varierea rezistentei Rz. pâna detectorul de nul DN arata zero (în realitate, metodologia de echilibrare urmeaza succesiunea expusa pentru cazul masurarii condensatoarelor).
Rezulta ca, prin echilibrarea puntii rezistenta variabila R, oferâ infonnatii despre valoarea inductant.ci necunoscute Lx si in consecinta, poate fi gradata direct în Henry, iar rezistenta variabila R, poate fi gradata m valori ale factorului de calitate
Similar modelului serie adoptat pentru inductante (Fig .4.), se analizeaza modelul paralel (Rx // LK), metodologia de echilibrare si gradare a rezistentelor fiind aceeasi.
II. Chestiuni de studiat:
2.1 .Se vor masura 5 rezistente etalon de 1 Ω, 10 Ω, 100 Ω, 1000 Ω, 10000 Ω.
2.2.Se vor masura 5 rezistente industriale de valori si tolerante cunoscute si se va verifica încadrarea în clasa de toleranta.
2.3.Se vor masura 5 valori (câte una pentru fiecare rang zecimal) ale unei cutii decadice de capacitati de precizie.
2.4.Se vor masura 5 condensatoare industriale de valori si tolerante cunoscute si se va verifica încardarea In clasa de toleranta.
2.5.Se vor masura 5 valori (câte una pentru fiecare rang zecimal) ale unei cutii decadice de inductairje de precizie.
Toate masurarile specificate la punctele 2.1'. - 2.5. vor fi efectuate, mai întâi cu o punte RLC analogica, si apoi cu o punte RLC numerica.
III. Schemele de montaj si modul de lucru:
NOTA: In continuare se descrie modul de lucru bazat pe utilizarea puntii RLC tip h-0704 (l.H.M.i); pentru alte tipuri de punti operatiile sunt similare, deosebirile fiind sesizate la performantele acestora si amplasarea diferita a elementelor de
Schema de montaj propriu-zisa consta in conectarea impedantei necunoscute (de masurat), prin fire scurte si groase, la bornele de acces al puntii RLC.
3.1.Pentru masurarea rezistentelor etalon, conform punctului 2.1. al chestiunilor de studiat, se va proceda în felul urmator:
- se reduce la minimum sensibilitatea detectorului de nul din potentiometrul 12;
- se pune comutatorul de functiuni 4 pe pozitia "R";
- se conecteaza" rezistenta de masurat la bornele B, - B: prin fire scurte si groase;
- se creste încet sensibilitatea pana rând acul detectorului de nul 11 se afla aproximativ la jumatatea scalei;
- cu comutatorul de game 3 se cauta gama optima de masurare (aceea pentru care acu! instrumentului deviaza la minim - catre capatul din stânga al scalei);
- se creste treptat sensibilitatea reglând pozitia acului indicator al lui DN aproximativ la jumatatea scalei si se echilibreaza puntea numai cu ajutorul reductorului 2.
Rezultatele experimentale vor fi trecute într-un tabel de forma:
Tabelul 1 (model):
|
Re Ω |
% Cre |
Gama de masurare a puntii |
Rcitit |
εRabamax |
Rmax Ω |
ΔR Ω |
Observatii |
|
|
|
|
|
|
|
|
|
|
|
|
|
|
|
|
|
|
|
|
|
|
|
|
|
|
|
în care:
RE - rezistenta etalon masurata cu puntea RLC;
Cre - clasa de precizie a rezistentei etalon;
Rcitit - rezistenta citita pe punte conform relatiei (10);
εRabamax - eroarea absoluta maxima calculata conform precizarilor facute
la puntea RLC tip E-0704;
Rmax - rezistenta masurata cu puntea RLC, calculata conform relatiei (11); AR - eroarea absoluta de masurare cu puntea RLC, calculata conform relatiei
In rubrica "Gama de masurare a puntii" se vor trece limita inferioara, respectiv superioara, a domeniului asa cum rezulta din relatia (10), tu care 1, (indicatia de pe cadranul 1) are valoarea minima I, respectiv maxima 10.
La rubrica "Observatii" se va specifica daca valorile rezistentelor etalon masurate cu puntea îndeplinesc conditiile de eroare evidentiate de relatia (12).
3.2.Pentru masurarea rezistentelor industriale, conform pinctului 2.2. al
chestiunilor de studiat, se va proceda similar ca lax punctul 3.1.
Tabelul 2. (model)
|
Nr. crt. |
Rn Ω |
T % |
Gama de masurare a puntii |
Rcitit Ω |
εRabamax |
Rmax Ω |
εR |
Observatii |
|
|
|
|
|
|
|
|
|
|
|
|
|
|
|
|
|
|
|
|
|
|
|
|
|
|
|
|
|
|
În care semnificatiile notatiilor din tabel au fost precizate la relatia (13), sau se gasesc întocmai comentate în tabelul 6.1.
La rubrica "Observatii" se va specifica daca valorile rezistentelor industriale masurate cu puntea îndeplinesc conditiile de toleranta conform relatiei (13).
3.3.Pentru masurarea capacitatilor de precizie, conform punctului 2.3. al chestiunilor de studiat, se procedeaza în modul urmator:
- se reduce Ia minimum sensibilitatea din potentiometrul (12);
- se pune comutatorul de functiuni 4 pe pozitia "C";
- se conecteaza capacitatea de masurat !a bornele B,-B2 prin fire scurte, groase si neecranate;
- se creste încet sensibilitatea pânâ când acu! indicator a! detectorului DN se afla aproximativ la jumatatea scalei si din comutatorul de domeniu 3 se cauti gama de masurare optima (vezi punctul 3.1.);
- se echilibreaza treptat puntea cu ajutorul reductorului 2 si a potentiometrului 6 (compensare);
- la terminarea echilibrarii se citeste valoarea indicata de punte, similar ca la masurarile de rezistente (vezi relatia (10)).
Rezultatele experimentale se vor trece într-un tabel de forma:
|
CE F |
CC1 |
Gama de masurare a puntii |
Ccitit F |
εCabsmax |
Cmax F |
ΔC F |
Observatii |
|
1 nF |
|
|
|
|
|
|
|
|
10 nF |
|
|
|
|
|
|
|
|
|
|
|
|
|
|
|
|
in care:
CE - valoarea capacitatii etalon fixata pe cutia decadica de capacitati;
Cce - clasa de precizie a capacitatii etalon;
Ccitit - capacitatea citita pe punte conform relatiei (10);
εCabsmax - capacitatea masurata cu puntea RLC calculata conform relatiei (14);
ΔC - eroarea absoluta de masurare cu puntea RLC, calculata conform relatiei (15). Precizarile facute la tabelul 1. referitoare la rubriciile "Gama de masurare a puntii" si "Observatii" se respecta întocmai si la tabelul 3.
PARTICULARITĂŢI CONSTRUCTIVE '
1) Constructia speciala a puntii RLC tip E-0704 face ca masurarile de capacitati cuprinse între 10 pF si ijiF sa se faca utilizând un oscilator intern de l KHz., pe când capacitatile cuprinse intre 1 jiF si 1000 ^F sunt masurate utilizând un oscilator de 50 KHz.; conectarea celor doua oscilatoare se face automat âup'a pozitia comutatorului de game 3.
2) La masurarea unor capacitati mai mici de 5000 pF, trebuie tinut seama de capacitatea parazita a bornelor de contact; în aceasta situatie:
3.4.Pentru masurarea condesatoareîor industriale, conform punctului 2.4. al chestiunilor de studiat, se va proceda similar ca la punctul 3.3.
Tabelul ,4. (model)
|
Nr. crt. |
Cn F |
T |
Gama de masura a puntii |
Ccitit F |
εCabsmax F |
Cmax F |
εC (%) |
Observatii |
|
|
|
|
|
|
|
|
|
|
|
|
|
|
|
|
|
|
|
|
|
|
|
|
|
|
|
|
|
|
în care semnificatiile notatilor din tabel au fost precizate la relatia (17), sau se regasesc întocmai comentate la tabelul 3..
La rubrica "Observatii" se va consemna daca valorile condensatoarelor industriale masurate cu puntea îndeplinesc conditiile de toleranta conform relatiei (17).
3.5. Pentru masurarea inductantelor de precizie, conform punctului 2.5. al chestiunilor de studiat, se procedeaza în felul urmator
- se reduce la minimum sensibilitatea din potentjometrul 12;
- se trece comutatorul de functiuni 4 pe pozitia "L";
- se conecteaza inductanta de masurat la bornele B1-B2 cu fire scurte, groase si neecranate;
- se creste sensibilitatea si din comutatorul de domeniu 3 se cautâ gama optima de masurare (vezi punctul 3.1.); ■
- se echilibreaza treptat puntea cu ajutorul reductorului 2 si al potentiometrelor 7 si 8 (compensare Q brut si fin); valoarea citita la terminarea echilibrarii se obtine conform relatiei (10).
Rezultatele experimentale se vor trece într-un tabel de forma:
Tabelul 5, (model)
|
fHJ |
Cle |
Gama de masurare a puntii |
Lccitit [H] |
εLabsmax % |
Lmax [H] |
ΔL [H| |
Observatii |
|
1 mH |
|
|
|
|
|
|
|
|
10 mH |
|
|
|
|
|
|
|
|
|
|
|
|
|
|
|
|
in care:
Lc - valoarea inductantei etalon fixata pe cutia decadica de inductante;
Cle - clasa de precizie a inductantei etalon;
Lcitit - inductanta citita pe punte confonn relatiei (10);
Precizarile facute la tabelul . 1. referitoare Ia rubricile "Gama de masurare a puntii" si "Observatii" se respecta întocmai si la tabelul .5. Daca masurarile sunt efectuate cu alte tipuri de punti, care au prevazute indicatii cantitative pentru unghiul de pierderi la condesatoare (tgS) si factorul de calitate (QJ al inductantelor (cum este cazul puntii RLC tip 3.1), si tabelele de reztdtate experimentale se vor prevedea rubrici suplimentare pentru aceste marimi masurate.
Toate determinarile experimentale efectuate, conform punctelor 2.1. - 2.5. ale chestiunilor de studiat, cu puntea RLC analogica, se vor repeta întocmai cu puntea RLC numerica; rezultatele obtinute se vor trece în aceleasi tabele (în continuare), A demarcându-se cele doua categorii de masurari printr-o specificare adecvata.
IV. Observatii si concluzii:
In referat se vor trage concluzii privind domeniile de utilizare ale puntilor
RLC folosite, precum si asupra calitatilor lor ca instrumente de masurat.
Se vor face aprecieri privind precizia masurarilor efectuate cu puntiile RLC; în acest sens determinarile se vor compara d.p.d.v. al calitani masurarilor si usurintei de obtinere a rezultatului cu alte modalitati de masurare a marimilor respective.
LUCRAREA NR. 4
MĂSURAREA REZISTENŢELOR, INDUCTANŢELOR sI
CAPACITĂŢILOR ÎN CURENT ALTERNATIV CU AMPERMETRUL,
VOLTMETRUL sI WATTMETRUL
1.Principiul lucrarii:
Parametrii electrici R, X si Z reprezinta marimi care caracterizeaza proprietatile unor elemente de circuit (rezistoare, bobine, condensatoarele a disipa sau absorbi energie electromagnetica sub diferite forme (caldura, energie electrica sau magnetica) si în cantitati ce depind de constructia elementului, de curentul electric ce 11 parcurge (frecventa, amplitudinea, forma), precum si de alti factori de mediu (presiune, temperatura).
O metoda indirecta de masurare a parametrilor R, X si Z este metoda industriala prin care se masoara curentul absorbit, tensiunea la borne si puterea consumata de impedantâ.
Metodele industriale de masurare a parametrilor R, X si Z, fiind metode indirecte, au o precizie de masurare relativ mica, din cauza consumului de putere a! instrumentelor, dar sunt situatii când nu se pot utiliza alte metode mai exacte (metode de piuite) pentru ca ar modifica regimul de lucru al impedantei de masuraî sau în cazul în care elementele de circuit (de exemplu consumatori de energie electrica) nu po$ fi scoase din instalatie sau trebuie controlate în timpul functionarii lor.
Cele trei instrumente de masurat se pot îega în circuit în montaj amonte (Fig. î.a) si în montaj aval (Fig. 1 .b) W

Fig. 1.a Fig.l.b
Având indicatiile ccior trei aparate, se pot determina R, X si Z:
Daca x, este reaclanta de masurat a iniei bobine care are inductanta l si considerând frecventa f = 50Hz, se obtine:
Daca se masoara capacitatea unui condesator, cunoscând ca reaclanta. a condensatorului, masurata în ohmi este:
Tangenta unghiului de pierderi dieîectrice poate fi determinata din indicatiile celor îrei aparate de misura, conform schemelor din Fig. 1 .a si Fs'g.l.b.
Considerând schema echivalenta a condensatorului fn paralel cu pier-dbile (f ;'g.2.a) si diagrama vectoriala corespunzatoare ei (Fig.2.b) se obtine:
Astfel, montajul amonte (Fig. 1.a) trebuie utilizat .în cazui în care schema'de mSsurat are sarcina R sau X mai mare decât suma rezistentelor bobinei de curent a wa'Hmetruhii (rOT) ti a ampermetrului (rA), deoarece în acest caz, caderile de tensiimc pe aceste bobine vor fi mici si se poate considera ca Uj=U.
Montajul aval (Fig.l.b) se utilizeaza in cazurile când rezistenta ,R sau X este mica fn comparatie cu valoarea rezistentelor bobinelor de tensiune a wailoieîruhsi (R.J si n voîtmelralut (RJ.
în acest caz, suma curentilor Iw t- 1Ą va Ti mica in comparatie cu ciaenful î ni receptorului si se va putea admite 1,=I.
În cazul montajului aval, tensiunea U masurata de voltmetru este tensiunea masurata la bornele rezistentei R sau X, iar bobinei de tensiune a wattmetrului i se aplica aceeasi tensiune.
Chestiuni de studiat, si modul de lucru:

W - wattmetru electrodinamic;
V - voltmetru electromagnetic
A - ampermetru electromagnetic;
K1 - întrerupator la tablou;
K - comutator cu doua pozitii;
Z - sarcina (rezistenta, condensator, bobina)
3.Model de lucru
- Se realizeaza schema de montaj si se circuitele de tensiune ale aparatelor corespunzator tensiunii aplicate:
- Comutatorul K pe pozitia 1 - se realizeaza montajul amonte (adica cele doua bobine de tensiune sunt legate înaintea bobinelor de curent) si se citesc cele trei aparate;
- Comutatorul K pe pozitia 2 - se realizeaza montajul aval si se fac citirile aparatelor. Datele citite si cele calculate se trec în tabelul de date;
- Se vor calcula R, X, Z cu formulele din tabelul 1.
Tabel de date: Tabel 2
|
Montaj |
Sarcina de masurat |
Cw W/div |
αw div |
Pw |
Cv V/di v |
αv div |
U V |
CA A/div |
αA |
I A |
R |
Xl |
L H |
Xc |
C F |
tgφ |
Obs |
|
amonte |
|
|
|
|
|
|
|
|
|
|
|
|
|
|
|
|
|
|
aval |
|
|
|
|
|
|
|
|
|
|
|
|
|
|
|
|
|
LUCRAREA NR. 5
MĂSURAREA PUTERII IN CIRCUITE DE C.C. sI ÎN
CIRCUITE DE C.A. MONOFAZAT
1 .Masurarea puterii în circuite de c.c.:
Puterea absorbita de un receptor, conectat fntr-un circuit de c.c, se defineste ca produsul fntre tensiunea la bornele sale UR si curentul pe care îl absoarbe de la sursa de alimentare, IR:
PR=URIR (1)
Puterea debitata de un generator se defineste ca produs între tensiunea la bornele sale Uo si curentul debitat, Io:
Po=UoIo (2)
Din definitiile puterilor absorbite de un receptor (consumator) si debitata de un generator (sursa), rezulta metodele de masurare a puterii în c.c:
a) metoda indirecta cu ampermetrul si voltmetrul;
b) metoda directa cu wattmetrul.
1.1.Metoda indirecta cu ampermetrul si voltmetrul (metoda voltampermetricâ) Pentru determinarea puterii consumate de receptor sau debitata de sursa, in c.c. se utilizeaza doua aparate magnetoelectrice: un ampermetru si un volîmetru. Dupa modul de conectare al voltmetmlui fata de ampermetru, se disting: montajul amonte (fig.l.a.) când voltmetrul este legat în circuit înaintea ampermetruîui si montaj aval (fig. l.b.) când voitmetrul este legat fn circuit dupa ampermetru.
Daca se noteaza cu U si I, indicatiile voltmetrului, respectiv ampermetruiui, cu Rv si RA rezistentele interioare a!e voltmetrului respectiv ampermetruiui, expresiile puterii consumate de receptor, respectiv debitate de generator sunt:
Fig.l.a. Fig.l.b.
1Montajul amonte (fig. 1 .a.)
- puterea consumata de receptor PR este: PR=UR*IR=I(U-IRa)=U*I-Ra*I2
IR=I; U=I*RA+UR=UA+UR
- putere debitata de sursa;
- eroarea absoluta de metoda:
- pentru receptor;
- pentru sursa (generator);
- eroarea relativa:
- pentru receptor;
- pentru generator;
- puterea consumata de receptor;
- puterea debitata de sursa: PR=U0I0=I(U+RIA)=UI+RAI2
U0=I ; U0=U+I*RA
1.1.2. Montajul aval (Fig.l.b.)
- puterea consumata de receptor PR=UR*IR=U(I-U/Rv)=UI-U2/Rv; U=UR
- puterea debitata de sursa: P0=U0I0=I(U+IRA)=UI+I2RA; I0=I; I0=U+IRA
Se constata ca puterea consumata de receptor PR si puterea debitata de generator sunt date de produsul indicatiilor ampermetrului si voltmetrului, din care se scad sau se aduna puterile consumate de aparatele de masura (PA=RA*I2 si PV=U2/Rv).
In general, aceste consumuri fiind mici, se pot neglija, si puterea se calculeaza cu relatia: Pm=UI.
Obs. 1, Eroarea relativa de metoda la masurarea puterii consumate de receptor PR în montaj amonte este cu atât mai mica, cu cât caderea de tensiune pe ampermetrul (UA=RAI) este mai mica decât caderea de tensiune pe receptorul R; montajul este adecvat pentru masurarea receptoarelor de puteri mari.
Obs,2. Eroarea relativa de metoda la masurarea puterii consumate de receptor PR în montaj aval este cu atât mai mica, cu cât curentul prin voltmetru: IV=U/RV este mai mic decât curentul I din circuit, deci cu cât rezistenta Rv a voltmetrului este mai mare decât rezistenta receptorului R; montajul este adecvat pentru masurarea consumului de putere al receptoarelor cu rezistenta mica, deci a puterilor mici. Indiferent de nivelul de conectare al aparatelor, între puterile Po - generata de sursa; PR - consumata de receptor si puterea absorbita de aparate PA si Pv, exista relatia: PG= PR + PA + Pv.
2.Metoda directa de masurare a puterii cu wattmetrul
Masurarea puterii în circuitele de c.c, cu ajutorul wattmetrului se executa în mod analog cu masurarea puterii active în circuitele de ca., expusa în paragraful 3.
3.Masurarea puterii în circuite monofazate de ca.
Presupunând un dipol electric având aplicata la borne tensiunea u si fiind parcurs de curentul I, puterea instantanee la borne este data de relatia:
p=ui
Puterea instantanee este primita sau cedata, dupa cum sensurile tensiunii la borne u si curentul i, se asociaza dupa regula de la receptoare sau generatoare.
Puterea activa consumata de un receptor sau debitata de un generator se defineste ca valoarea medie a puterii instantanee luata pe o perioada.
Puterea aparenta S este produsul valorilor efective ale tensiunii si curentului:
S=UI
Puterea reactiva:
Q=UI sin φ
In circuitele de ca. monofazat, puterea activa se masoara cu ajutorul wattmetrelor electrodinamice sau feromagnetice are bobina fixa legata în serie in circuitul de masurare si dimensionata astfel meat sa permita trecerea curentului 1 absorbit de receptor; bobina mobila este montata în serie cu o rezistenta aditionala, la bornele ci aplicându-se tensiunea U (Fig.2.)
Fig.2.
Deviatia a a wattmetrului este proportionala cu puterea activa data de tensiunea aplicata circuitului de tensiune si curentul ce parcurge bobina de curent a wattmetrului.
Pentru ca indicatia wattmetrului sa fie obtinuta în sensul normal al scarii sale, când P>0, trebuie respectata polaritatea bornelor aparatului. In acest scop, începuturile bobinelor de curent si de tensiune sunt marcate cu un semn distinctiv (asterix, sageata, litera, etc).
Indicatia wattmetrului depinzând de unghiul de defazaj prin factorul de putere cos <p, rezulta ca pentru valori ale unghiului (p cuprinse între -90" si +90°, deviatia este în sensul normal al scarii. Deviatia devine negativa pentru unghiuri ce depasesc 90° indiferent în ce sens, ceea ce se întâmpla la alimentarea circuitelor wattmetrului cu surse diferite (ex: la utilizarea lor în circuitele trifazate); pentru a se obtine deviatia în sensul normal a scarii se inverseaza polaritatea la unul din circuitele wattmetrului (se schimba cu 180° faza curentului fie în bobina de curent fie în bobina de tensiune), citirea respectiva luându-se cu semnul minus.
Determinarea puterii masurate de wattmetru se face pe baza relatiei: P=Cw*αw, unde Cw este constanta wattmetrului, iar αw este numarul de diviziuni citite în momentul masurarii.
Constanta wattmetrului se determina pe baza valorilor nominale ale curentului, tensiunii si factorului de putere, de obicei egal cu unitatea, valori pentru care deviatia V a trebuie sa rezulte egala cu deviatia maxima.
Circuitele de curent si de tensiune ale wattmetrului sunt dimensionate pentru anumite valori nominale ale curentului si tensiunii. Extinderea domeniului de masurare a bobinei de tensiune se realizeaza pâna la tensiuni de 600V prin montarea în circuitul de tensiune al wattmetrului a unor rezistente aditionale. Pentru tensiuni mai mari de 600V, se utilizeaza transformatoare de masura de tensiune. Circuitele de curent ale wattmetrelor sunt dimensionate, în general pentru curenti pâna la 5A.
Pentru curenti mai mari de 5A, extinderea domeniului de masura a circuitului de curent se realizeaza prin transformatoare de masura de curent.
Datorita dependentei deviatiei wattmetrului de factorul de putere cos <p, se poate întâmpla, în cazul unei folosiri neatente în montajele de laborator, ca circuitele de curent si de tensiune sâ fie supraîncarcate si totusi deviatia sa nu depaseasca valoarea sa maxima (o^).
De aceea, se recomanda sa se foloseasca în acelasi montaj cu wattmetrul, un ampermetru si un voltmetru pentru urmarirea în permanenta a marimilor din circuit: curent si tensiune, care nu trebuie sa depaseasca limita superioara a intervalului de masurare al circuitelor wattmetrului.
Masurarea puterii active în circuitele monofazate se realizeaza cu ajutorul wattmetrului legat în montaj amonte (fig.3.) si în montaj aval (fig.4.). Se masoara puterea activa P consumata de receptorul Z, utilizându-se urmatoarele notatii:
Pw - indicatia wattmetrului;
I - valoarea efectiva a curentului indicat de ampermetru;
U - valoarea efectiva a tensiunii masurate de voltmetru;
Rv - rezistenta interna a voltmetrului;
RA - rezistenta interna a ampermetrului;
Rw - rezistenta circuitului de tensiune a wattmetrului;
rw - rezistenta bobinei de curent a Wattmetrului.

Scheme de lucru si aparate folosite
Montajul 1: pentru masurarea puterii în c.c. cu ampermetru si voltmetrul
A-ampermetru 5A;
V-voltmetru,
R- rezistenta
K-întrerupator cu doua pozitii
Montajul 2: pentru masurarea puterii active în circuite monofazate de ca.
A - ampermetru 5A;
V - voltmetru - 300V;
W - wattmetru - Ia=5A; U60V;
Ra - rezistenta aditionala;
B - bobina cu miez de fier;
K1 - întrerupator cu 2 pozitii;
K2 - întrerupator cu I pozitii;
K - întrerupator de tablou.
Modul de lucru si chestiuni de studiat
Se realizeaza montajul (1) pentru masurarea puterii în c.c. prin metoda ampermetrului si voltmetrului. Se alimenteaza' montajul cu tensiune continua.
Se citesc indicatiile ampermetrului si voltmetrului pentru montajul amonte (K, pe pozitia 1) si citirile se trec în tabelul de mai jos. Se comuta K, pe pozitia (2) - montaj aval si se citesc indicatiile ampermetrului si voltmetrului, citiri care se trec în tabel, facându-se apoi calculele conform relatiilor din lucrare.
|
Nr crt. |
A |
V |
Felul montajului |
PR |
ΔP |
Δr |
Observatii |
||||
|
CA |
αA |
|
Cv |
αv |
U |
||||||
|
|
|
|
|
|
|
|
amonte |
|
|
|
RA= |
|
|
|
|
|
|
|
|
aval |
|
|
|
RV= |
Se realizeaza montajul din fig 6, alimentând montajul cu tensiune alternativa monofazata (220V; 127V). Pentru prima masuratoare K2 deschis. Se citesc ampermetrul, voltmetrul si wattmetrul cu K, pe pozitia 1 (montaj amonte) si citirile se trec în tabel. Se comuta K, pe pozitia 2 (montaj aval) si se citesc cele trei aparate, indicatiile fiind trecute în tabel. Apoi se închide si K2, introducându-se în circuit si bobina în paralel cu rezistenta, facându-se citiri pentru montaj amonte si aval.
|
Nr |
Felul |
A |
V |
W |
s |
Q |
Cos φ |
Obs |
||||||
|
crt |
Montajului |
CA |
αA |
I |
Cv |
αv |
U |
Cw |
αw |
P |
VA |
VAR |
|
|
|
|
|
|
|
|
|
|
|
|
|
|
|
|
|
|
|
|
|
|
|
|
|
|
|
|
|
|
|
|
|
|
LUCRAREA NR. 6
MĂSURAREA PUTERI ACTIVE
ÎN CIRCUITE DE CURENT ALTERNATIV TRIFAZAT
CU TREI CONDUCTOARE PRIN METODA
CELOR DOUĂ WATTMETRE
I. Principiul lucrarii
1.1. Circuit trifazat cu montaj în triunghi.
Notam cu I1, I2, I3, valorile instantanee ale curentilor de linie; I12, I23, I31 curentii în laturile triunghiului si U12, U23, U31 valorile instantanee ale tensiunilor.
Puterea instantanee consumata de receptor se determina cu suma puterilor instantanee consumate pe fiecare faza:
Deoarece un wattmetru electrodinamic masoara în curent alternativ o marime de forma: U*I*cosφ; unde U este tensiunea aplicata bornei de tensiune. I este curentul ce parcurge bobina de curent, iar φ este unghiul de defazaj între U si I. Rezulta ca puterea activa se poate masura cu doua wattmetre montate ca în fig 1 indiferent de încarcarea fazelor.

Fig.1
In cazul încarcarii uniforme a sistemului trifazat se obtine diagrama vectoriala din fig.2.t iar puterea totala a circuitului va fi:

In cazul unei încarcari pur active indicatiile celor doua wattmetre sunt identice.
În cazul în care φ=60° indicatia wattmetrului cu bobina de curent pe faza 2 este nula, puterea întregului circuit fiind data de primul wattmetru. În practica, acest punct, (φ=60°) se numeste "punct de întâlnire".
Daca (φ>60°) wattmetrul doi va devia în sens contrar. Pentru a aduce deviatia în cadrul scarii aparatului, trebuie sa se inverseze bornele bobinei de curent, pentru ca între începuturile bobinei de tensiune si bobinei de curent sa nu apara tensiuni mai mari. În acest fel se schimba cu 1800 faza curentului în bobina de curent, iar indicatia wattmetrului se va nota cu minus.
Daca fazele unui sistem trifazat sunt încarcate uniform, se poate determina si puterea reactiva Q a sistemului facând diferenta indicatiilor celor dona wattmetre si înmultind cu 3.
1.2.Circuit trifazat cu montaj în stea fara fir de nul
Puterea instantanee a întregului circuit este:
P=p1+p2+p3= U1I1+U2I2 + U3I3
Puterea activa consumata în circuit se poate exprima sub forma, iar schema de montaj cu faza de referinta 3 si diagrama fazoriala corespunzatoare sunt prezentate în Fig. 3.

Fig.3
Daca în expresia puterii instantanee se înlocuiesc pe rând curentii ii si iZ se obtin alte doua scheme de montaj, în care fazele de referinta sunt faza 1 respectiv faza 2.
Deci metoda celor doua wattmetre se poate utiliza în circuite lari fir de nul. indiferent de felul conexiunii (stea sau triunghi) si indiferent de încarcarea fazelor.
Din indicatiile celor doua wattmetre se poate determina puterea reactiva Q a sistemului si factorul de putere cos<p.
Pentru PW1 =. 0 , tp - 60° capacitiv.
2. Schema de montaj si aparatele utilizate:
Fig.4.
unde: R - rezistente; :
L - inductanta trifazata variabila;
A - ampermetru 5A;
V - voltmetru 300V;
Cos φ - cosfimetru monofazat.
W1W2 - wattmetre electrodinamice sau ferodinamice;
K - întrerupator trifazat;
K1 - heblu trifazat.
3. Chestiuni de studiat:
3.1. Se va efectua o masuratoare a puterii pentru o sarcina activa echilibrata, verificându-se:
3.2. Se vor efectua 3 masuratori în cazul unei sarcini echilibrate pentru anumite cazuri. Determinându-se sub punctele prevazute la punctul 3.1.
4. Modul de lucru:
a) Se realizeaza schema de lucru din Fig.4" alimentarea cu tensiune facându-se cu tensiune de linie de 380 V / 50 Hz întrerupatoarele K si K1, fiind deschise. Se închide K si se fac citirile aparatelor, observându-se ca Pw1=Pw2 (pentru un sistem simetric si echilibrat).
b) Se închide apoi K1 introducându-se în circuit si inductanta trifazata, facându-se citirile corespunzatoare celor trei cazuri. Datele obtinute se trec în tabelul de date:
|
Nr |
|
A |
|
V |
W |
|
|
|
W |
|
P |
S |
Q |
Cos φ |
Cos φ |
|
|||
|
crt |
CA A/div |
A |
I |
Cv |
v |
U |
Cw1 div |
w1 |
Rw1 |
Cw2 div |
w2 |
Rw2 |
W |
VA |
VAR |
Mas. |
calc. |
|
|
|
|
|
|
|
|
|
|
|
|
|
|
|
|
|
|
|
|
|
|
|
|
|
|
|
|
|
|
|
|
|
|
|
|
|
|
|
|
|
|
|
|
|