PROCESE SI INSTALATII INDUSTRIALE DE USCARE
Generalitati
Procesul de uscare se refera la indepartarea apei(umiditatii) de la suprafata si din interiorul corpurilor umede.in studiul proceselor.de uscare umiditatea materialului se exprima prin raportul intre masa de apa continuta in material si masa cor 919h78j pului uscat:
U=Ma/Musc. (kg umiditate/kg mat.uscat),unde
Ma este masa de apa din material (kg)
Musc este masa corpului uscat (kg)
U este umiditatea aerului (kg/kg)
Cel mai cunoscut si raspandit procedeu de eliminare a umiditatii din material este uscarea convective.Este asa datorita simplitatii procesului si a multiplelor posibilitati de a obtine o calitatii bune a uscariiintr-un timp scurt.
Uscare cu aer si gaze de ardere
Principiul de functionare al instatlatiilor de uscare cu aer sau amestec de aer-gaze consta in preluarea unei cantitati de umiditate de catre ag.termic de la mat.supus uscarii dupa care urmeaza indepartarea totala sau partiala din uscator a ag.termic.
Aerul rece preluat din mediul ambiant de catre ventilatorul 3 este incalzit in bateria de incalzire si circula in contracurent cu materialul supus uscarii absorbint o parte din umiditatea materialului dupa care e eliminate din uscator.Uneori aerul de uscare se incalzeste suplimentar in camera de uscare cu ajutorul unei surse suplimentare de caldura 2 ce are fluxul de caldura Qs.Din bilantul material se poate stabili consumul:
Ma1*x1+Mm1*U1= Ma2*x2+Mm2*U2
Umiditatea evacuate va fi:
U=Ma*(x2-x1)
Consumul specific de aer este :
l= Ma/ U=1/(x2-x1) (kg aer/kg umiditate)
Bilantul termic teroretic se stabileste in ipoteza lipsei proceselor de caldura in mediul inconjurator a egalitatii temperaturii de intrare si iesire a materialului supus uscarii si lipsei incalzirii suplimentare in camera de uscare : tm1=tm2,Qs=0, Qext.=0
Caldura necesara incalzirii aerului este :
Q= Ma*(i1-i0)
Bilantul termic teoretic in camera de uscare este:
Ma1*i1= Ma2*i2
Daca Ma1= Ma2= Ma rezulta ca i1=i2 adica procesul de uscare se desf. La entalpie cst.
Consumul specific de caldura este:
q=Q/ ΔU=(Ma*(i1-i0))/ ΔU=l*(i1-i0) sau q=(i1-i0)/ (x2-x1).(kJ/kg umiditate)
Sunt instalatii de uscare in care ag. termic este un amestec de aer si gaze de ardere. Temp. t1 a amestecului este stabilita in conditii tehnologice . Cu o valoare stabilita experimental se calculeaza val. Excesului de aer si continutul de umiditate al amestecului la intrare in camerele de uscare.
Calculul termic al instal.de uscare de tip convectiv in functionarea reala.
Acest calcul are scop stabilirea consumului de ag. termic si de caldura in stransa dependenta cu tehnologia uscarii param. de functionare si tipul instalatiei. Spre deosebire de uscatorul teoretic,la cel real apar surse suplimentare de caldura Qs si pierderi .
Pierderile de caldura prin incalzirea materialului supus uscarii intre temp. de intrare-iesire tm1 si tm2:
Mm1 ,Mm2 sunt debitele masice de material la intrare si iesire
cm este caldura specifica a materialului (kj/kg*k)
capa este caldura specifica a materialului (kj/kg*k)
U este diferenta de umiditate intre valoarea initiala si finala raportata la timpul de uscare (kg/s)
Pierderile de caldura prin incalzirea utilajului de transport al materilului supus uscarii:
Bilantul termic pt.camera de uscare este:
Pt. un kg de umiditate preluata de ag.de uscare bilantul este:
pierderea specifica de caldura =Qm/ U=pierderea specifica de caldura a materialului supus uscarii
qtr=Qtr/ U=pierderea specifica de caldura a utilajului de transport
qext=Qext/ U= pierderea specifica de caldura spre mediul ambient.
Tinanad cont de expresia pierderii de caldura raportat la materialul uscat care iese din material:
q= qs+capa*tm1-( q'm +qtr +qext) atunci ec. bilantului termic va fi:
INSTALATII DE USCARE
Ecuatia bilantului termic pentru camera de uscare este:
Ma*i +Qs=Qm+Qtr+Qext+Ma*i [W] sau
Ma(i -i )=Qs-(Qm+Qtr+Qext
iar pentru 1 kg de umiditate preluat de agentul de uscare se poate scrie:
, adica :
l(i -i )=qs-(qm+qtr+qext [kJ/kg] in care s-au introdus notatiile:
→consumul specific de aer a
instalatiei [kg aer/kg umid]
→consumul specific suplimentar de caldura [kJ/kg]
→ pierderea
specifica de caldura a materialului supus uscarii [kJ/kg]
![]()
→consumul de caldura pentru incalzirea
instalatiei de transport
![]()
→pierderea de caldura specifica catre
mediul exterior al camerei de uscare
Tinand cont de expresia relatiei lui qm ecuatia bilantului termic specific se scrie:
l(i i )=qS+capa*tm1-
sau l(i i )=qS+capa*tm1-(q'm+qtr+qext
unde q'm
→
consumul specifica de caldura pentru incalzirea materialului in procesul de
uscare [kJ/kg]
Se poate face notatia:
Δq=qs+capa*tm1-(q'm+qtr+qext
Atunci expresia bilantului termic specific va fi:
l(i -i )=Δq [kJ/kg]
In desfasurarea procesului de uscare pot apare 3 situatii:
a) q>0 adica caldura introdusa suplimentar si cu materialul depasesc suma pierderilor
i >i -entalpia aerului la iesirea din instalatie este mai mare decat la intrarea in procesul real
D este > decat in cazul procesului teoretic tC , adica tD>tC in procesul real si xD>xC
i <i , adica entalpia aerului la iesire este mai mica decat la intrarea in procesul real, adica tD=t <tC si xD<xC
b=l(i -i ) [kJ/kg]
s+capa*tm1-(q'm+qtr+qext
s=
+q'm+qtr+qext-capa*tm1 [kJ/kg]
atunci CONSUMUL TOTAL va fi: qT=qb+qs
● Debitul masic de material rezultat in urma uscarii este:
m2=Mm1- ΔU [kg/s] sau [kg/h]
a=l* ΔU [kg/h]
7.4.-Instalatii
de uscare cu recirculare
La acest tip de inst de uscare procesul de uscare se efectueaza cu recircularea partiala a agentului de uscare. La iesirea din uscator curentul de aer sau gaze se imparte in 2, o parte se elimina in atmosfera, iar restul reintra in uscator prin bateria de incalzire sau chiar direct in uscator.
n=Mar Ma n-factor de recirculare
Mar- debit de aer recirculat
Ma - debit masic aer ce intra in camera de uscare
[kJ/kg] ![]()

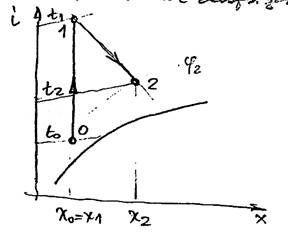
Procesul de uscare teoretic e reprezentat prin conturul AMB C
Consumul de aer aspirat din exterior:
[kg aer/kg umiditate]
Consumul de aer recirculat:
-io) [kJ/kg]
La acest tip de uscator avem urmatoarele avantaje:
a) diferente mici de temp intre intrarea si iesirea agentului de uscare
b) cresterea vitezei de deplasare a agentului termic prin uscator
c) miscarea consumului de caldura pentru aceleasi valori ale temperaturii aerului la intrarea si iesirea din instalatie
Instalatia de uscare in circ inchis
motoventilator
confuzor
baterie de incalzire
carucior
camera de uscare
conducta de recirculare
racitor (condensator)
A -B - incalzire in bateria 3
B -C uscarea in camera de uscare
C -F -racirea aerului in condensator
F -A -pe curba φ=100 are loc condensarea vaporilor de apa din aerul recirculat
● Entalpia aerului la iesirea din bateria principala 3 este data de o relatie semienpirica:
i =1.006*t +X *(2500-1.863*t
● Umiditatea ce se elimina
din material:
[kg/h]
● Debitul specific de
aer:
[kg aer/kg umid]
● Debitul total de aer : Ma=L=l*ΔU [kg/h] ??????
●Pierderea specifica de caldura cu incalzirea materialului supus uscarii:
![]()
Mm2=Mm1
U Mm2-debitul masic de material uscat
● Pierderea specifica de caldura cu incalzirea mijlocului de transport:
[kJ/kg]
● Pierderea specifica de caldura catre mediu ext:
[kJ/kg]
k-coeficientul global de transfer de caldura
S-suprafata desfasurata a camerei de uscare
tm-diferenta medie logaritmica de temp. intre interiorul si exteriorul camerei de uscare
Daca se introduce si bateria de caldura secundara atunci
● Consumul specific de caldura cu baterie secundara este:
Qs=l*(i -i )-capa*tm1+(qm+qtr+qext) [kJ/kg]
● Consumul specific de caldura in bateria principala este:
qp=l*(i -io) [kJ/kg]
● Consumul specific total de caldura din instalatie :
qT= qp+qs [kJ/kg]
● Consumul total de caldura:
QT= qT*ΔU [kJ/h] ; [kW]
● Fluxul de caldura preluat de condesatorul 7:
Qc=Ma*(i -i )=L(i -i ) [kW]
● Debitul apei de racire de la condensator:
mc=Qc/(capa*Δtapa) =
[kg/s] ;[kg/h]
|