Tranzistorul MOSFET
tranzistorul: tensiunea bazei trebuie mentinuta ridicata pe tot intervalul pe care tranzistorul este in conductie.
GTO: are nevoie de impulsuri de comanda atat pentru intrarea in conductie, cat si pentru blocare.
utilizand traductor de turatie,
calculand turatia pe baza marimilor de natura electrica ale masinii.
Cele doua metode se pot folosi atat la controlul scalar cat si la controlul vectorial, dar in cel de-al doilea caz se raspunsul dinamic este mai bun.
Interesul pentru controlul de tip sensorless (fara traductor de turatie) a aparut din considerente practice, unde se cere un control de foarte buna calitate, dar traductorul de turatie ori este greu de utilizat, din motive tehnice, sau este prea scump. Controlul masinii asincrone de tip sensorless reprezinta un domeniu de cercetare de actualitate.
Controlul scalar
Controlul scalar utilzeaza amplitudinea tensiunii statorice Us =2/3|us| si frecventa statorica fs ca si marimi de intrare, si da rezultate bune in regim stationar si regim tranzitoriu lent. Strategia se bazeaza pe variatia tensiunii statorice Us si a frecventei statorice fs dupa o functie Us = f(fs), astfel incat cuplul disponibil maxim sa fie mare (si aproape constant) pentru toata gama de valori a pulsatiei statorice ωes.
In regim stationar fluxul rotoric are amplitudinea
![]()
![]()
La frecvente joase, rezistenta statorica are o influenta importanta asupra curentului statoric si conduce la diminuarea cuplului maxim (care depinde de curentul statoric), cu efecte negative asupra functionarii motorului. Efectul rezistentei statorice asupra cuplui masinii poate fi contracarat prin cresterea tensiunii statorice, dar rezulta o ecuatie neliniara, greu de implementat.
De aceea, amplitudinea tensiunii statorice este definita de relatia 12. Aceasta solutie aproximativa nu furnizeaza un cuplu maxim perfect constant, dar restrictioneaza variatia lui intr-o plaja ingusta.
![]()
![]()
![]()
Turatii peste valoarea nominala a frecventei pot fi obtinute
marind frecventa statorica, dar in acest caz tensiunea statorica este mentinuta
Controlul vectorial
Strategiile bazate pe control vectorial utilizeaza modelul masinii asincrone descris pe baza fazorilor spatiali, pentru a comanda corect turatia si cuplul atat in regim stationar cat si in regim tranzitoriu rapid.
Performantele dinamice obtinute prin utilizarea strategiilor bazate pe control vectorial egaleaza performantele dinamice ale actionarilor motoarelor de curent continuu.
In categoria strategiilor bazate pe control vectorial intra:
metoda orientarii dupa camp,
controlul direct al cuplului (DTC)
La randul ei metoda orientarii dupa camp poate fi:
cu orientare dupa fluxul rotoric,
cu orientare dupa fluxul din intrefier
cu orientare dupa fluxul statoric.
In fiecare dintre cele trei cazuri, axa reala a sistemului de referinta (axa d) este orientata dupa directia indicata de fluxul magnetic corespunzator.
Orientarea dupa fluxul rotoric are cea mai simpla schema de control si genereaza raspuns tranzitoriu foarte rapid.
Orientarea dupa fluxul rotoric
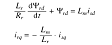
In cazul orientarii dupa fluxul magnetic rotoric, vectorul acestui flux are partea imaginara zero, si in acest caz expresia cuplului devine:
![]()

![]()
Orientarea dupa fluxul statoric si cel din intrefier
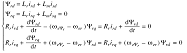
In acest caz ecuatiile motorului asincron pot fi scrise sub forma:

Controlul direct al cuplului
In cazul masinii alimentate prin intermediul unui invertor PWM vectorul fluxului rotoric Ψr este mai filtrat decat cel al fluxului statoric si de aceea fazorul fluxului rotoric se roteste mai uniform. Rotirea fazorului spatial al fluxului statoric, dictata de tensiunea statorica, este discontinua dar viteza medie este aceeasi cu a fazorului fluxului rotoric in regim stationar. Controlul direct al cuplului se bazeaza pe relatia 10.c). In consecinta,
cuplul este controlat prin modificarea unghiului δ dintre cei doi fazori de flux. Orice implementarea a controlului de tip DTC contine o bucla de control a fluxului si respectiv una de control a cuplului. Valoarea de referinta a cuplului este controlata de un regulator de turatie, in timp ce fluxul de referinta este detreminat in functie de turatia de referinta ωref.
Scheme de control vectorial de tip "sensorless"
Metodele de estimare a turatiei pentru motoarele asincrone se bazeaza pe posibilitatea de a calcula turatia rotorului in functie de curentii si tensiunile statorice. In acest fel traductorul de turatie (ca element fizic) este inlocuit de un modul de tip software sau hardware care realizeaza calculele necesare. Relatia dintre tensiune si curent este influentata atat de turatia motorului cat si de parametrii infasurarilor. Acesti parametrii se modifica in timpul functionarii motorului datorita temperaturii si saturatiei magnetice. In consecinta, procedeul de estimare a parametrilor in timp real trebuie sa fie implementat impreuna cu algoritmii de estimarea a turatiei pentru asigura rezultate corecte in conditii diferite de functionare. Metode matematice complexe s-au elaborat pentru a integra estimarea turatiei cu procesul de estimare in timp real a parametrilor, si pentru a obtine acuratete ridicata si independenta de modificarea parametrilor. Aceste metode combina principiul clasic al orientarii dupa camp cu filtrele Kalman extinse, observatorii Luenberger, retelele neuronale si logica fuzzy. O abordare diferita utilizeaza efectele saturarii rotorului asupra curentilor si tensiunilor statorice sau efectele parazite care provin din structura discreta a infasurarii rotorului colivie. In aceste doua cazuri, curentii statorici contin armonici care depind de turatia rotorica asa incat transformata Fourier este implicata in calculul turatiei. Majoritatea metodelor sunt mai precise la turatii ridicate decat la turatii joase. Ca rezultat, cea mai mica turatie la care sistemul lucreaza corect reprezinta un indicator de performanta ridicat.
Metoda orientarii naturale dupa camp (NFO), inventata si patentata de compania suedeza NFO Control AB este una dintre cele mai simple si mai eficiente strategii de comanda de tip sensorless .
NFO deriva din controlul orientat dupa fluxul statoric si poate fi implementata atat pe sistemele cu traductor de turatie cat si pe cele fara traductor de turatie. Cel mai bine metoda este pusa in valoarea la functionarea de tip sensorless. Esenta acestui tip de control consta in aceea ca amplitudinea fluxului statoric nu este calculata prin integrare, ca in cazul orientarii dupa fluxul statoric. Fluxul este setat in bucla deschisa ca o marime de referinta, si poate fi modi ficat in caz de slabire de camp
|