Matematica in Sport
Desi nu intotdeauna
realizate, matematica joaca un rol
foarte important in sport.
Fie ca discutarea unei statistici jucatori, o formula autocare pentru elaborarea anumiti jucatori, sau chiar un scor
judecatori pentru un atlet special, matematica sunt implicate. Chiar si concepte, cum ar fi probabilitatea
unei atlet special sau echipa castigatoare,
un caz simplu
de probabilitate, si intretine echipamentele sunt matematice in natura.
Sa incepem prin a uita la aruncat de o minge de baschet. Acum, putem folosi
ecuatia

![]()
pentru a ajuta la figure afara viteza la care un jucator de baschet trebuie sa arunce mingea pentru
ca aceasta sa aterizeze perfect in cos Cand
fotografiati o minge
de baschet pe care doriti mingea a lovit cos de la cat mai aproape
de dreapta un unghi in care este posibil
acest motiv, majoritatea jucatorilor incercarea de a trage mingea de la un unghi de 45 Pentru a gasi viteza la care un jucator ar trebui sa
arunce mingea pentru a face cos am dori sa gaseasca
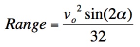
gama de minge atunci cand este
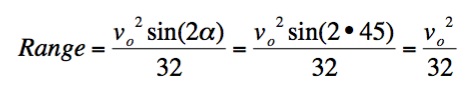
aruncat la un unghi de 45 o. formula pentru gama de mingea este

![]()
Dar, deoarece unghiul la care mingea este aruncat este de 45 o, am

![]()
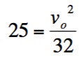
Acum, daca un
jucator este de a trage cu un punct impuscat 3, atunci el este de aproximativ 25 metri de la cos. Daca ne uitam
la graficul functiei gama putem
face o idee cat de greu jucatorul trebuie sa arunce mingea
pentru a face o 3 puncte impuscat.

Deci, prin rezolvarea
formula stiind ca
raza de actiune a impuscat trebuie sa fie de 25 de metri ne-am

![]()
![]()
![]()
Deci, in scopul
de a face impuscat punctul
3, jucatorul trebuie sa arunce mingea la aproximativ 28 metri pe secunda,
19 mph.
Acum sa ne
uitam la aruncarea si lovirea de o minge de baseball.. Ulcior vrea sa
arunce mingea, astfel incat el va scoate aluatul
Daca sa arunce este prea
mare sau mica, atunci este o bila
si mai bine,
are cel putin trei mai multe
oportunitati de a lovi
mingea. In mod similar atunci cand aluat
mingea, el vrea sa loveasca
mingea, astfel incat acesta va
fi la fel de departe de oricare dintre ceilalti jucatori in care este posibil, daca
nu in afara
campului mingea in sine. jucatori
trebuie sa ia in considerare
viteza si inaltimea de minge pentru a se asigura ca acestea vor arunca sau
a lovit-o in mod corespunzator. Aici este ecuatia
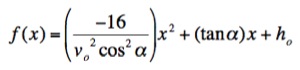
de miscare pentru a gasi proiectil de o minge de baseball se va deplasa:

in cazul in
care toate distantele sunt masurate in picioare, o h este inaltimea de la
care mingea este aruncat, α este unghiul la care mingea este aruncat, o v este viteza la care mingea este aruncat,
si x este distanta pe care calatorii mingea. Putem gasi distanta ca
mingea se va deplasa prin a spune

Acum, un aluat ar fi mai in cauza cu o gama de minge, care doresc aceasta sa calatoreasca destul de departe sa-l permite cel putin sa-l la prima baza in conditii de siguranta. Sa ne uitam la graficele de mai multe din gama cu diferite α si un o v fixe si h o.

Graficul negru este atunci cand α = 30 graficul albastru atunci
cand α = 45 precum si graficul de rosu cand α = 60 Deci, putem vedea din grafic, un unghi
de 45 o va trimite mingea
mai departe. Deci un aluat ar
dori pentru a lovi mingea cat
mai aproape la un unghi de 45 ° in care este posibil, in
timp ce un ulcior, care este mult mai preocupat
de mingea sa orientat catre modelul cale, ar
vrea sa arunce mingea, astfel incat bila
astfel incat sa calatoreasca
cat mai aproape
de o linie dreapta posibil.
Acum, sa spunem ca acesta este de aproximativ 420 de metri de la placa de acasa la marginea unui teren de baseball. Aluat vrea pentru
a lovi mingea destul de greu, astfel incat acesta
se va deplasa
din domeniu, peste picior perete 7 aproximativ la partea din spate a
Extravilane. In cazul in aluat
mingea la un unghi de 40 iar mingea este
de aproximativ 5 metri in aer, atunci
cand a lovit, cat de greu trebuie
sa a lovit mingea cu scopul de a avea un succes acasa? Amintiti-va,
ca, in ecuatia de proiectie, f
(x) este o inaltime
de minge, asa ca acum avem

![]()
![]()
![]()
![]()
Prin urmare, avem
ca aluatul trebuie sa mingea la aproximativ
118 metri pe secunda, care este de aproximativ 81 mph, in scopul de a lovit o alerga de start, atunci cand mingea la un unghi de 40
Am putea privi, de asemenea, la un sport, cum ar fi de bowling care multi oameni considera a fi destul de simplista greva. Cu toate acestea, trebuie sa ia
in considerare unghiul de minge si viteza cu care mingea este aruncat
la incercarea de a obtine
o. Cale de bowling minge, aruncat in linie
dreapta, poate fi reprezentat prin urmatoarea ecuatie:

![]()
VO in cazul in care este viteza mingea, t este timpul in secunde
pe care calatoreste mingea, R este o
Acum, lungimea unei benzi
suflare este
de aproximativ 60 de metri.
Sa spunem ca frecarea cauzata de bile de bowling pe
suprafata pata de
banda de bowling este de aproximativ 0,3 si mingea este laminate la aproximativ 15 km / h, sau 22 de metri pe secunda.
Acum, daca am Graficul aceasta ecuatie avem
Deci, putem vedea
ca mingea de bowling, aruncat in cazul
in care la 15 km / h, ar trebui sa
faca tot drumul pana pe banda
de bowling.
Matematica este,
de asemenea, utilizat in clasament jucatori
si determinarea scenarii playoff. Din ceva la fel de simplu ca utilizarea unei matrice la formulele folosite pentru a determina de jucatori sau echipe de statistica,
matematica este
o parte integranta a acestui sistem. De exemplu, in cadrul
Jocurilor Olimpice, cea mai mare de sport au jucatori trage numere pentru a vedea care vor fi concurente impotriva Daca exista k 2 concurentilor apoi toti sportivii participa la prima runda de joc, daca nu, atunci unii
dintre participanti intra in a doua runda de joc numar de sportivi a inceput in timpul a doua
runda de joc va fi
k - n 2, unde n este numarul
de concurenti. Rankings sunt,
de asemenea, un aspect
important al sportului. in sport, cum ar fi tenis, cand
atletii de rating, un estimatorul
integranta este utilizat, care se bazeaza pe o performanta jucatori intr-o serie de meciuri de peste o anumita perioada de timp. Chiar si curse de cai foloseste
matematica pentru a clasifica cai bazat
pe cat de bine au efectuat in ultimele meciuri,
iar aceste clasamente intra in determinarea valorii unui cal atunci cand un pariu este
plasat. Matematica este foarte
raspandita in
sport, din cele mai complexe formule pentru cele mai
simple idei, cum ar fi pariuri.
|