
1. Teorie
Colorantii sunt substante organice naturale sau sintetice colorate, care absorb lumina in domeniul vizibil al spectrului si au proprietatea de a colora corpurile pe care sunt aplicate(fibre textile, piele, hartie, etc.), rezista in timp la lumina, spalare, frecare. Culoarea substantelor se datoreaza prezentei in molecula a unor grupe de atomi, numite grupe cromofore sau cromofori, care absorb selective diferite radiatii ale luminii, fiecarui cromofor corespunzandu-i una sau mai multe benzi de absorbtie in spectrul vizibil.
cromofori se numesc cromogene si sunt colorate. Pentru ca o substanta sa devina si mai colorata, trebuie sa contina in molecula, pe langa cromofori, si alte grupe, numite auxocrome.
Principalele grupe auxocrome sunt:
a)grupa amino -NH2
b)grupa hidroxil fenolica ( si derivatii ei alchilati)
Grupele auxocrome, pe langa faptul ca imprima substantei proprietatea de a colora, produc o inchidere si o intensificare a culorii.
2. Modalitati de fixare a colorantului pe fibra
Colorantii se clasifica tinand cont de doua criterii de clasificare:
structura lor chimica si dupa proprietatile lor tinctoriale( comportarea lor fata de fibre).
Dupa structura lor chimica se deosebesc urmatoarele clase de coloranti:
a)coloranti azoici – contin in molecula lor drept grupe cromofore una sau mai multe grupe azo, -N=N- si sunt colorantii cei mai raspanditi si cei mai usor de preparat
b)coloranti antrachinonici – care deriva de la antrachinona
c)coloranti trifenilmetanici – din clasa trifenil-metanului
d)coloranti indantrenici
e)coloranti de indigo
f)coloranti de sulf
Dupa proprietatile lor tinctoriale(comportarea in vopsitorie) se
deosebesc urmatoarele tipuri de coloranti:
a)Coloranti bazici
Au un caracter bazic datorita grupelor amino –NH2 libere, pe care le contin in molecula lor. Ei vopsesc fibrele proteice(lana si matase) in solutie neutra, fixarea lor pe fibra facandu-se prin combinare cu grupele acide –COOH ale acestora. Pot vopsi si fibre celulozice(bumbac) tratate in prealabil cu mordanti(tanin). Cei mai importanti coloranti bazici sunt colorantii azoici, trifenil-metanici, etc.
b)Coloranti acizi
Au in molecula lor grupe sulfonice –SO3H, hidroxil –OH sau carboxil –COOH libere, care le dau proprietati acide. Ei vopsesc fibrele proteice (lana si matasea) in solutie slab acida, fixandu-se pe fibre prin combinare cu grupele –NH2, cu caracter bazic, ale acestora. Din punct de vedere structural, colorantii acizi fac parte din clasa colorantilor azoici, antrachinonici.
c)Coloranti substantivi
Au proprietatea de a vopsi direct fibrele proteice(lana si matasea) si mai ales cele celulozice(bumbacul) fara o tratare prealabila. Vopsirea cu coloranti substantivi se face in baie neutra si se face mai bine daca in baie se introduc anumite cantitati de sare de bucatarie(NaCl). Dintre acesti coloranti cei mai importanti sunt cei din clasa colorantilor azoici, tipul reprezentativ fiind rosul de Congo.
d)Colorantii de mordant
Se fixeaza pe fibre numai prin tratarea in prealabil a acestora cu un mordant(alaun de aluminiu, de fier, de crom); colorantul aplicat ulterior formeaza cu mordantul un lac insolubil si rezistent, care adera la fibre. Cei mai multi coloranti de mordant sunt colorantii azoici, antrachinonici, etc., iar reprezentantul principal al acestor coloranti este alizarina
e)Colorantii de cada
f)Colorantii de developare
3. Alegerea colorantului in functie de natura fibrei
Alegerea colorantului depinde in mare masura si de natura materialului ce trebuie vopsit. Dupa cum se stie, fibrele textile sunt de urmatoarele categorii:
fibre animale: lana si matase, alcatuite din proteine, deci cu caracter amfoter; ele se fixeaza pe colorantul din grupele polare(acide sau bazice), formand saruri;
fibre vegetale naturale: bumbac, in , canepa, sunt alcatuite din celuloza, deci cu un caracter neutru; ele fixeaza colorantul prin legaturi de hidrogen;
fibre vegetale artificiale, obtinute din celuloza prin diferite metode de regenerare(vascoza, cupra, nitro) sau de modificare(acetat, eteri metilici); fixarea colorantului se face prin dizolvarea lui in fibre;
fibrele sintetice, obtinute prin polimerizarea diferitelor substante: vinilice(policlorura de vinil), amidice(Nylon,Capron), esterice.
Fibrele animale compuse din proteine contin grupe acide si bazice, in catenele laterale ale lantului polipeptidic. Vopsirea acestor fibre se face de aceea cu coloranti bazici sau acizi, care se fixeaza pe fibra prin formare de saruri. In practica se utilizeaza pentru vopsirea lanii numai coloranti acizi(continand grupe SO3H); vopsirea se face din solutie acida, continand si sulfat de sodiu care ajuta la egalizarea repartitiei colorantului pe fibra.
O cantitate de 1200g lana contine 1 echivalent-gram de grupe bazice si fixeaza un echivalent-gram de acid sau de colorant acid.
Fibrele vegetale, compuse din celuloza, fixeaza colorantii prin legaturi de hidrogen. Fibrele de acetat de celuloza in care grupe OH capabile sa formeze legaturi de hidrogen cu colorantul sunt blocate in grupe acetil, fixeaza colorantul printr-un proces pur fizic, si anume din solutia apoasa, cu un dizolvant insolubil in apa, de exemplu cu un ester sau un eter. Se produce o repartitie a colorantului intre fibra(un ester) si apa, dupa legea lui Henry-Nerst, pana la echilibru. De aceea, la vopsirea acetatului de celuloza, o mare parte di colorant ramane neabsorbit de fibra, dar prezenta sa este necesara spre a obtine in fibra concentratia(adica nuanta) voita; la vopsirea lanii, dimpotriva, colorantul se fixeaza integral pe fibra, iar solutia dupa vopsire devine incolora.
Colorantii folositi pentru vopsirea acetatului de celuloza sunt substante insolubile in apa, ca de exemplu p-nitro-p’-aminoazobenzenul:

sau 1,4-diaminoantrachinona(violet). Acesti coloranti se utilizeaza sub forma unor dispersii stabile in apa, obtinute cu ajutorul unor detergenti, ca de exemplu uleiul de ricin sulfonat(„coloranti dispersati”).
Pentru a mari solubilitatea colorantilor de acest tip, ei se condenseaza la grupele de amine primare cu oxid de etilena, obtinandu-se derivati continand grupele NH-CH2-CH2OH(coloranti ’dispersal’). De asemenea se utilizeaza esteri sulfurici ai acestor compusi, continand grupe NH-CH2-CH2-O-SO3Na (coloranti ’solacet’). Pe acelasi principiu se bazeaza si colorarea fibrelor sintetice, cum sunt fibrele de nylon, orlon si terilen(la nylon s-a observat insa si colorare cu coloranti acizi, care formeaza saruri cu grupele NH2 marginale, iar fibra orlon se poate vopsi cu anumiti coloranti de cada). In colorarea textilelor este necesar sa se tina seama de faptul ca lana este relativ stabila fata de acizi, dar este repede alterata de baze. De aceea se utilizeaza pentru lana coloranti acizi. Dimpotriva celuloza este sensibila la acizi si rezistenta la baze. Pentru vopsirea bumbacului sunt deci indicati colorantii de cada si de sulf.
Fibrele sintetice, de felul nylonului, capronului, nu suporta incalzirea pana la fierbere cu solutii de coloranti, asa cum se obisnuieste la vopsirea fibrelor naturale, de aceea vopsirea acestor fibre necesita tehnici speciale, diferite de cele obisnuite.
4. Tehnici de vopsire
a)Colorantii bazici se numesc coloranti care contin un cation colorat, de exemplu colorantii azoici bazici, colorantii trifenilmetanici bazici, colorantii oxazinici, tiazinici si fenazinici, cianinele. Colorantii bazici vopsesc fibrele animale direct(din baie slab acidulata cu acid acetic); ei nu se fixeaza insa pe bumbac, decat numai daca acesta este in prealabil tratat cu tanin(care se fixeaza direct pe fibrele celulozice) si apoi cu tartrat de potasiu si antimonil(emetic). Din cauza acestei tehnici complicate colorantii bazici sunt astazi din ce in ce mai putin utilizati in vopsirea textila.
b)Colorantii acizi contin un anion colorat. Cei mai multi sunt saruri de sodiu ale unor acizi sulfonici, continand grupa SO3-. Din clasa aceasta fac parte colorantii azoici acizi, colorantii antrachinonici acizi, indogoul si carminul. Colorantii acizi servesc la vopsirea lanii din baie acida. Aciditatea baii este necesara pentru a neutraliza grupa COO-, din fibra lanii la grupa COOH-. Acizii sulfonici fiind acizi tari, grupele SO3- din moleculele colorantului raman neschimbate chiar in solutii(apoase) puternic acide. Printre colorantii acizi se numara si colorantii fenolici, cum sunt aurina si ftaleinele.
c)Colorantii directi sau substantivi sunt coloranti care au proprietatea de a se fixa direct pe bumbac, fara a mai fi necesara o tratare prealabila a acestuia cu tanin sau alte substante. Descoperirea colorantilor substantivi(rosu Congo, Böttinger, 1884) a rezolvat, la timpul sau, una din problemele grave ale vopsitoriei textile. Cum circa 75% din materialele textile supuse vopsirii sunt fibre de bumbac se intelege ca acesti coloranti au o mare insemnatate practica.
Vopsirea cu coloranti directi se face la 80-90°C in solutie neutra continand un electrolit(NaCl sau Na2SO4). Cei mai multi coloranti directi sunt coloranti azoici sulfonati si, prin urmare ei contin grupe SO3- complet ionizate.
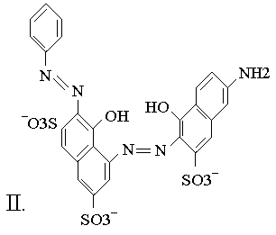
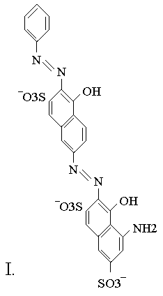
Cum nu toti colorantii azoici au proprietatea de a se fixa direct pe fibra de celuloza s-a incercat de mult sa se stabileasca ce conditii strucutrale trebuie sa indeplineasca moleculele unui colorant spre a avea proprietati substantive. O prima observatie este ca moleculele colorantilor substantivi au forme alungite intr-o directie. Marea importanta a acidului J si a benzidinei, in fabricatia colorantilor azoici, se explica prin aceea ca acesti intermediari dau nastere unor coloranti cu molecule alungite. Au fost sintetizati doi coloranti izomeri cu formulele:

Dintre acestia numai colorantul cu molecula lineara(I) este substantiv.(Se va observa ca in ambii coloranti grupa azo are configuratia trans):

Pe de alta parte, exista indicatii ca nu este suficient ca molecula sa aiba o forma alungita, ci ea trebuie sa fie si plana. Dupa cum se stie, coplanaritatea celor doua inele ale bifenilului este impiedicata prin substituenti in pozitiile 2,2’. In consecinta, colorantul benzidinic 3 este lipsit de proprietatile substantive, in timp ce izomerul sau cu grupele metil in pozitiile 3,3’ este unul dintre colorantii cu cea mai pronuntata substantivitate. (Benzopurpurina 4B)
In colorantul III devierea de la coplanaritate provoaca o intrerupere a conjugarii in sistemul de 8 duble legaturi cuprinse intre cele doua grupe auxocrome NH2. O asemenea conjugare neintrerupta pare sa fie necesara pentru substantivitatea substantei respective(asa cum este necesar pentru aparitia culorii). In afara de aceste doua proprietati, liniaritate si coplanaritate, moleculele colorantilor substantivi trebuie sa mai posede si grupe capabile de a forma legaturi de hidrogen(HO sau NH2). Este probabil ca fixarea colorantilor substantivi, pe macromolecula de celuloza, si anume la grupele de HO ale acestuia, se face prin doua legaturi de hidrogen, asa cum se indica schematic, pentru rosu Congo, in urmatoarea figura:
d)Colorantii de mordanti
Despre marimea rezistentei la spalare si lumina, prin formarea de complecsi chelatici cu metale polivalente, s-a vorbit mai sus, cu ocazia descrierii colorantilor azoici de cromare care sunt si cei mai importanti. O alta clasa de coloranti care formeaza complecsi chelatici insolubili si rezistenti, cu aplicatii in vopsitoria textila(’lacuri’), sunt colorantii o-hidroxi-cetonici si o-hidroxi-chinonici(Alizarina).
e)Colorantii de developare sunt compusi colorati insolubili, care iau nastere printr-o reactie chimica avand loc chiar pe sau in fibra textila. Alti coloranti de developare se formeaza in fibra textila prin reactii de oxidare (negrul de anilina si ursolii) sau prin reactii de condensare(ftalocianine).
f)Colorantii de cada sunt substante in apa cu caracter neutru si, care, prin urmare, nu formeaza nici saruri solubile. Metoda de vopsire, specifica acestor coloranti, se bazeaza pe reducerea lor in mediul alcalin(de obicei cu ditionit de sodiu). Aceasta operatie duce la hidroderivati(leucoderivati), prin transformarea unor grupe CO, cetonice sau chinonice, in grupe OH fenolice, sau mai exact in fenoxizii respectivi( cu grupe –O-Na+) solubili. Acestia au proprietatea de a se fixa pe fibra(caracter substantiv). Dupa scoaterea din baie(’cada’) a fibrei astfel imbibata, hidroderivatul se oxideaza, sub actiunea aerului, regenerand colorantul insolubil, care astfel ramane fixat pe fibra. Cei mai importanti coloranti de cada sunt colorantii antrachinonici(indantrenici) si colorantii din clasa indigoului.
g)Colorantii de sulf se aseamana in ce priveste modul de vopsire cu colorantii de cada, solubilizarea se face insa cu sulfura de sodiu si se bazeaza pe reducerea grupelor disulfurice, caracteristice ale acestor coloranti, in grupe tiofenolice, solubile sub forma de saruri(tiofenoxizi) de sodiu:

Acestea poseda substantivitate pentru fibra de bumbac. Prin actiunea aerului se regenereaza apoi colorantul insolubil, pe fibra.
Din cauza alcanilitatii solutiei de vopsire colorantii de sulf, la fel ca si colorantii de cada, servesc numai pentru vopsirea fibrelor celulozice.
Utilizarea colorantilor
In afara de colorarea fibrelor textile, colorantii organici servesc inca pentru multe alte scopuri, printre care cele mai importante sunt: colorarea pielii tabacite, a hartiei, a alimetelor(mezeluri, cofetarie), a cernelulilor de tipar, a cauciucului, a benzinei si a uleiurilor minerale(coloranti fluorescenti). Mai sunt apoi utilizati coloranti in fotografie(ca sensibilizatori ai bromurii de argint pentru lumina rosie si infrarosie; ’Cianine’), in fotografia si cinematografia in culori, in biologie(pentru colorarea preparatelor microscopice) si in medicina. Unii coloranti insolubili sau complecsii metalici insolubili ai unor coloranti, asa-numitele ’lacuri metalice’, servesc ca pigmenti, in locul colorantilor minerali, la fabricarea de vopsele pe baza de ulei de in sau de nitrat de celuloza. Principala aplicatie practica a colorantilor organici sintetici ramane insa colorarea fibrelor textile.
Bibliografie
& Chimie organica,vol.II, edit. Didactica si pedagogica, autor C.D.Nenitescu, Bucuresti 1980
& www.preferatele.com
& www.referatele.com
|