Facultatea de Management Financiar Contabil Bucuresti Anul universitar 2006-2007
Specializarea Contabilitate si Informatica de Gestiune
Asigurari-resigurari Lector univ. dr.
Īntrebari pentru examen
1. Continutul tematic al disciplinei
1. Esenta si rolul asigurarilor.
2. Contractul de asigurare.
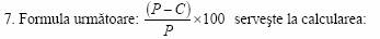
3. Asigurarile de bunuri.
4. Asigurarile de persoane.
5. Asigurarile de raspundere civila.
6. Asigurarile de riscuri financiare.
7. Asigurarile maritime si fluviale.
8. Asigurarile de aviatie.
9. Asigurarile la culturi vegetale si la animale.
10. Reasigurarea.
11. Piata asigurarilor si specificul marketingului īn asigurari.
12. Aspecte specifice contabilitatii din domeniul asigurarilor, armonizate cu Directivele
Europene si cu Standardele Internationale de Contabilitate.
13. Managementul īn asigurari si reasigurari.
14. Asigurarile sociale de stat din Romānia.
2. TESTE GRILĂ
SUBIECTUL NR. 1
Īn domeniul asigurarilor, Tratatul de la Roma prevedea:
1. libera circulatie a marfurilor;
2. libera circulatie a serviciilor;
3. libera circulatie a capitalurilor;
4. libera circulatie a persoanelor;
5. libertate de stabilire limitata, care sa permita unei societaŃi de asigurari sa-si deschida sucursale īn anumite conditii.
Combinatia corecta este:
a) b) 1+3+5; c) 2+4; d) 1+2+3+4; e) toate variantele sunt adevarate.
Ans: d
Īn domeniul asigurarilor, termenul general de prescriptie nu se aplica īn cazul:
a) asigurarilor de persoane la care obligatiile devin exigibile prin ajungerea la termen sau prin amortizare;
b) dreptului asiguratorului la actiunea de regres īmpotriva tertului responsabil;
c) drepturilor asiguratilor asupra sumelor rezultate din rezerva de prime ce se constituie la asigurarile de persoane;
d) dreptului tertei persoane pagubite la actiune directa īmpotriva asiguratorului;
e) dreptului asiguratului (īn asigurarea de bunuri) īmpotriva tertului responsabil pentru prejudiciul cauzat, īn anumite conditii.
Indicati raspunsul corect.
Ans: c
Privind persoana care poate aparea īn calitate de asigurat īn contractul de asigurare, una dintre afirmatiile urmatoare este adevarata:
a) persoana fizica, care, īn schimbul primei de asigurare, īsi asigura viata si integritatea corporala;
b) persoana fizica si/sau juridica, care, īn schimbul primei de asigurare platite asiguratorului īsi asigura bunurile īmpotriva unor riscuri de tipul calamitatilor naturale si accidentelor;
c) persoana fizica, care, īn schimbul primei de asigurare, īsi asigura bunurile īmpotriva uzurii fizice si morale;
d) persoana fizica si/sau juridica, care, īn schimbul primei de asigurare platite asiguratorului īsi asigura bunurile īmpotriva unor evenimente a caror producere este certa;
e) persoana juridica care efectueaza un export īntr-o tara īmpotriva careia este instituit un embargou de catre organizatiile internationale competente, resp 727j97h ectat de catre tara de origine a exportatorului si care vizeaza produsele care fac obiectul contractului de export, īn schimbul unei prime de asigurare majorate.
Indicati raspunsul corect.
Ans: b
La data de 20 ianuarie a.c. o societate comerciala īncheie o asigurare a bunurilor dintrun magazin, pentru cazurile de furt prin efracŃie, pe o perioada de un an. Suma asigurata este de 20000 RON. Cota de prima la data asigurarii este de 3%. Sistemul de acoperire a pagubei practicat este cel al raspunderii proportionale. La data de 10 februarie a.c. are loc un furt prin efractie, īn urma caruia se constata o paguba de 2000 RON. Bunurile aflate īn magazin la data producerii evenimentului sunt evaluate la 25000 RON. Prima de asigurare platita si despagubirea la care are dreptul asiguratul sunt:
a) 750 RON 1600 RON
b) 600 RON nu se acorda despagubire
c) 7500 RON nu se acorda despagubire
d) 600 RON 1600 RON
e) 600 RON 2000 RON
Indicati raspunsul corect.
Ans: d
La asigurarile de persoane, constatarea si evaluarea consecintelor producerii riscului asigurat se efectueaza:
a) de catre o societate de asigurari specializata īn astfel de operatiuni;
b) de catre fiecare compartiment solicitat;
c) de catre inspectorii de asigurari din teritoriu;
d) de catre un compartiment distinct, subordonat direct managerului unitatii;
e) nu apare ca fiind necesara existenta unui compartiment distinct.
Indicati raspunsul corect.
Ans: e
Variantele reasigurarii proportionale sunt:
a) cota-parte, excedent de suma asigurata, oprire de dauna, pe baza de pool;
b) cota-parte, excedent de suma asigurata pe risc, pe eveniment, oprire de dauna;
c) cota-parte, excedent de suma asigurata, mixta pe baza de pool.
d) cota-parte, excedent de dauna pe risc, mixta pe baza de pool;
e) cota-parte, oprire de dauna, mixta pe baza de pool.
Indicati raspunsul corect.
Ans: b
Managementul activitatii īn domeniul asigurarilor, are particularitatile sale specifice care deriva din faptul ca:
a) exista un cadru legislativ mai restrictiv;
b) activitatea de asigurare este pe de o parte, o relatie de repartitie īn forma baneasca, iar pe de alta parte, apare ca o prestare de servicii de un gen deosebit, care se efectueaza īn baza contractului de asigurare;
c) trebuie constituite mai multe categorii de rezerve tehnice;
d) exista mai multe riscuri decāt īn sistemul bancar;
e) evidentele sunt tinute pe tipuri de asigurari.
Indicati raspunsul corect.
Ans: b
Indicatorul Gradul de acoperire prin asigurare" se determina:
a) ca raport īntre numarul bunurilor asigurate si numarul bunurilor asigurabile;
b) ca raport īntre totalul cheltuielilor efectuate de asigurat si totalul primelor de asigurare, precum si a altor venituri īncasate de asigurator;
c) ca raport īntre suma asigurata si valoarea reala a bunurilor īn momentul īncheierii asigurarii;
d) ca raport īntre despagubirea acordata asiguratului si valoarea pagubei produse la bunul asigurat;
e) ca raport īntre totalul despagubirilor platite de asigurator si totalul primelor de asigurare īncasate de asigurator.
Indicati raspunsul corect.
Ans: c
Un bun face obiectul unui contract de asigurare despre care se cunosc: suma asigurata 10000 RON; cota de prima de asigurare 1,5%; durata 1 an. Producerea riscului asigurat īn cursul anului a generat o paguba de 5000 RON, valoarea bunului la momentul producerii evenimentului fiind de 15000 RON. Īn aceasta situatie, cu īncepere de la data producerii evenimentului asigurat, pentru restul perioadei asigurarii:
a) suma asigurata si prima de asigurare ramān nemodificate;
b) suma asigurata se micsoreaza, iar prima de asigurare se modifica corespunzator;
c) suma asigurata se diminueaza cu valoarea despagubirii, iar prima de asigurare nu se modifica;
d) suma asigurata se diminueaza cu valoarea pagubei, iar prima de asigurare se modifica corespunzator;
e) suma asigurata se diminueaza cu valoarea pagubei, iar prima de asigurare nu se modifica.
Indicati raspunsul corect.
Ans: c
O persoana īn vārsta de 30 de ani, īncheie o asigurare de deces, valabila īn urmatorii 5 ani, prin care urmasii sai sa īncaseze la decesul sau (daca este cazul) suma de S euro. Stiind ca asiguratul achita prima neta unica PN=1743,5 euro si cunoscānd numerele de comutatie: D =5403; N =55822; M =339; D =3311; M =276, atunci suma S (rotunjita la ordinul sutelor) este:
a) S=180500,50 ; b) S=175430 c) S=121417,80 d) S=88730,60 e) S=149525,90
Ans: e
SUBIECTUL NR. 2
Īn domeniul asigurarilor, asiguratul este īntotdeauna:
a) persoana fizica sau juridica care īncheie o asigurare;
b) titularul interesului asigurat;
c) titularul indemnizatiei de asigurare, daca survine cazul asigurat;
d) cel care se obliga sa plateasca primele de asigurare;
e) persoana care are dreptul sa īncaseze despagubirea sau suma asigurata.
Indicati raspunsul corect.
Ans: b
La asigurarile de bunuri, interesul asigurarii este reprezentat de:
a) valorile patrimoniale expuse riscului sau riscurilor mentionate īn contractul de asigurare;
b) dauna efectiva evaluabila īn bani, pe care o poate suferi asiguratul īn cazul pierderii sau degradarii bunului;
c) indemnizatia de asigurare pe care urmeaza sa o plateasca asiguratorul;
d) bunurile asigurate;
e) despagubirea pe care urmeaza sa o īncaseze asiguratul, daca survine cazul asigurat.
Indicati raspunsul corect.
Ans: b
Asigurarea riscurilor politice ofera protectie īmpotriva urmatoarelor evenimente:
1. deprecierea monedei nationale a importatorului;
2. neplata la termen a sumelor datorate de debitorii publici;
3. refuzul admiterii pe teritoriul tarii a anumitor produse;
4. impunerea de restrictii la import;
5. imposibilitatea valorificarii garantiilor solicitate asiguratorului la īncheierea contractului de asigurare.
Combinatia corecta este:
a) b) 1+2+5; c) 1+4+5; d) 2+3+4; e) 3+4+5.
Ans: d
Privind rezervele de daune, se poate afirma:
a) se constituie pentru asigurarile de viata;
b) se prevede prin lege un nivel minim al lor;
c) pot fi urmarite de asigurati sau creditori;
d) nu se instituie prin lege o limita minima a acestora;
a) nu se constituie pe baza estimarilor statistice.
Indicati raspunsul corect.
Ans: b
Dintre primele īncasate, sunt percepute numai la anumite societati special autorizate:
a) primele īncasate din asigurari facultative de raspundere civila;
b) primele īncasate din asigurari de accidente;
c) primele īncasate din asigurari facultative de bunuri;
d) primele īncasate din asigurarea obligatorie de raspundere civila auto;
e) primele īncasate din asigurari de viata.
Indicati raspunsul corect.
Ans: d
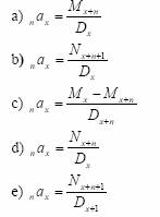
Pentru o asigurare de deces valabila n ani de la contractare, prima neta unica unitara platita de asiguratul īn vārsta de x ani si notata nAx, calculata cu ajutorul numerelor de comutatie este:
a) nAx = ( Mx+Mx+n)/Dx c) nAx = Dx /Mx+n
b) nAx = Dx* Mx+n d) nAx = ( Mx - Mx+n)/Dx e) nAx = Dx+Mx - Mx+n
Indicati raspunsul corect.
Ans: d
La asigurarile de persoane asiguratul poate sa īncheie:
a) doar o asigurare īn limita maxima a valorii sale stabilita de catre agentul de asigurare;
b) maximum doua asigurari (una obligatorie si cealalta facultativa);
c) un numar nederminat de asigurari de acelasi fel, fara nici o restrictie;
d) o asigurare pentru fiecare tip de asigurare de persoane;
e) un numar nedeterminat de asigurari, dar pāna la o valoare stabilita de agentul de asigurare.
Indicati raspunsul corect.
Ans: c
Indicatorul "Costul relativ al activitatii de asigurare" se calculeaza astfel:
a) ca raport īntre despagubirile platite de asigurator si primele de asigurare īncasate;
b) raportānd diferenta īntre totalul cheltuielilor si totalul despagubirilor platite de asigurator pe parcursul unui an, la diferenta īntre totalul veniturilor si totalul cheltuielilor;
c) raportānd diferenta dintre totalul veniturilor si totalul cheltuielilor īnregistrate īntr-o anumita perioada la totalul veniturilor;
d) raportānd totalul cheltuielilor ocazionate de activitatea de asigurare la totalul īncasarilor obtinute din primele de asigurare si din alte surse;
e) ca raport īntre totalul sumelor asigurate si totalul primelor de asigurare īncasate.
Indicati raspunsul corect.
Ans: d
La data de 20 ianuarie a.c. o societate comerciala īncheie o asigurare a bunurilor dintrun magazin, pentru cazurile de furt prin efractie, pe o perioada de un an. Suma asigurata este de 20000 RON. Cota de prima la data asigurarii este de 3%. Sistemul de acoperire a pagubei practicat este cel al raspunderii proportionale. La data de 10 februarie a.c. are loc un furt prin efractie, īn urma caruia se constata o paguba de 2000 RON. Bunurile aflate īn magazin la data producerii evenimentului sunt evaluate la 25000 RON. Prima de asigurare platita si despagubirea la care are dreptul asiguratul sunt:
a) 750 RON 1600 RON
b) 600 RON nu se acorda despagubire
c) 7500 RON nu se acorda despagubire
d) 600 RON 1600 RON
e) 600 RON 2000 RON
Indicati raspunsul corect.
Ans: d
Īn cazul unei persoane īn vārsta de 30 de ani, asigurarea de deces īncheiata, prevede ca urmasii sai sa primeasca suma de 75000 euro, la decesul sau, daca decesul survine dupa vārsta de 60 de ani. Daca se utilizeaza numerele de comutaŃie: D =20138; D =3885,7; M =3199; M =1863; atunci prima neta unica PN, este:
a) PN ; b) PN c) PN d) PN ; e) PN
Indicati raspunsul corect.
Ans: b
SUBIECTUL NR. 3
Organizatiile de asigurare de tip mutual prezinta caracteristicile:
1. contributiile membrilor se regularizeaza la sfārsitul fiecarui an īn functie de anumite criterii;
2. fiecare membru are calitatea atāt de asigurat, cāt si de asigurator;
3. īsi desfasoara activitatea conform legii, urmarind obtinerea de profit;
4. fondul comun se constituie pe baza unor cotizatii anuale stabilite īn raport cu vārsta;
5. actioneaza ca asociaŃii constituite pentru o perioada de timp determinata.
Combinatia corecta este:
a) b) 3+4; c) 2+4; d) 3+5; e) 2+3.
Ans: a
Asigurarile de daune:
a) reprezinta o masura de prevedere si de capitalizare a unor sume de bani;
b) au ca scop repararea prejudiciului care ameninta patrimoniul unor terte persoane;
c) sunt asigurari contra pagubelor;
d) reunesc asigurarile de bunuri si asigurarile de raspundere civila;
e) au caracter de despagubire.
Indicati raspunsul incorect.
Ans: a
Īn cazul asigurarilor de bunuri, interesul patrimonial este reprezentat de:
a) despagubirea de asigurare pe care urmeaza sa o īncaseze asiguratul īn cazul producerii
evenimentului asigurat;
b) bunurile asigurate;
c) dauna evaluabila īn bani pe care o poate suferi asiguratul īn cazul pierderii sau degradarii bunului;
d) dauna efectiva pe care o poate suferi asiguratul;
e) bunurile aflate īn proprietatea sa.
Indicati raspunsul corect.
Ans: b
Indicatorul "gradul de acoperire a daunei" se determina astfel:
a) ca raport īntre suma asigurata si valoarea reala a bunului īn momentul īncheierii asigurarii;
b) ca raport īntre nivelul daunei produse la bunul asigurat si nivelul primei totale īncasate de catre asiguratori;
c) ca raport īntre marimea primei nete īncasate si nivelul pagubei produse la bunul asigurat;
d) ca raport īntre totalul despagubirilor platite de asigurator si totalul primelor de asigurare īncasate de asigurator;
e) ca raport īntre despagubirea acordata si valoarea pagubei produse la bunul asigurat.
Indicati raspunsul corect.
Ans: e
Fondul de asigurare poate fi folosit pentru:
1. plata indemnizatiei de asigurare;
2. finantarea unor actiuni cu caracter preventiv;
3. acoperirea cheltuielilor administrativ-gospodaresti ale societatii de asigurari si constituirea unor fonduri de rezerva;
4. finantarea unor actiuni caritabile;
5. acoperirea cheltuielilor cu asistenta post-vānzare acordata de agenti asiguratilor.
Combinatia corecta este:
a) b) 2+4+5; c) 1+2+3+4+5; d) 1+2+3; e) 2+3+4.
Ans: d
Una dintre atributiile de mai jos nu revine Comisiei de Supraveghere a Asigurarilor:
a) analizarea bilanturilor anuale ale societatilor de asigurari;
b) vizarea bugetelor de venituri si cheltuieli ale societatilor de asigurari;
c) avizarea constituirii societatilor comerciale din domeniul asigurarilor;
d) stabilirea tarifelor de prime si emiterea normelor tehnice privind aplicarea acestora;
e) stabilirea termenelor de varsare a capitalului pāna la nivelul subscris.
Indicati raspunsul corect.
Ans: b
Despagubirile platite de catre asigurator īn baza unei asigurari obligatorii de raspundere civila se recupereaza de la persoanele vinovate de producerea pagubei īn urmatoarele cazuri:
1. accidentul a fost produs īn timpul comiterii unor fapte incriminate de dispozitiile legale privind circulatia pe drumurile publice, ca infractiuni savārsite cu intentie;
2. persoana raspunzatoare de producerea pagubei a condus autovehiculul, fara consimtamāntul asiguratului;
3. accidentul a fost produs cu intentie;
4. autovehiculul care a produs accidentul era condus, cu consintamāntul asiguratului, de catre copilul acestuia;
5. accidentul a fost produs īn timpul cānd autorul infractiunii savārsite cu intentie īncerca sa se sustraga de la urmarire.
Combinatia corecta este:
a) b) 1+3+4; c) 1+3+5; d) 1+2+5; e) 1+2+4+5.
Ans: a
8. Formula redata mai jos reprezinta:

a) media indemnizatiilor la asigurarile de supravietuire;
b) durata medie de lichidare a daunelor;
c) despagubirea medie;
d) o formula neutilizata;
e) suma maxima a despagubirilor la asigurarile de bunuri.
Indicati raspunsul corect.
Ans:b
Un bun a carui valoare de asigurare este de 5000 euro face obiectul unui contract de asigurare pentru suma de 3000 euro. Producerea riscului asigurat provoaca o paguba evaluata la 4000 euro. Asiguratorul practica sistemul primului risc. Īn cazul producerii riscului asigurat, despagubirea la care are dreptul asiguratul, este:
a) ; b) c) 4000 d) 5000 e) nu se poate calcula, fiind necesare si alte informatii.
Indicati raspunsul corect.
Ans: b
10. O persoana īn vārsta de 30 de ani cumpara o asigurare prin care urmeaza ca la vārstele de 50 si 60 de ani sa īncaseze sumele de 20000 euro si respectiv, 30000 euro.
Cunoscānd numerele de comutatie: D =20138; D =7070,2; D =3885,7 prima neta unica este:
a) PN b) PN c) PN d) PN e) PN
Indicati raspunsul corect.
Ans: c
SUBIECTUL NR. 4
1. Dintre riscurile enumerate, urmatorul risc nu intra īn categoria riscurilor investitionale:
a) riscul de supraevaluare;
b) riscul de devalorizare;
c) riscul dobānzilor;
d) riscul de lichiditate;
e) riscul privind garantiile date īn favoarea tertilor.
Indicati raspunsul corect.
Ans: e
La asigurarea de bunuri, īn afara de proprietar, pot avea interes:
a) persoanele din familia proprietarului;
b) uzufructuarul si creditorii cu garantii reale;
c) alte persoane ce sunt interesate īn baza unor contracte cu titlu oneros, īncheiate cu proprietarul;
d) depozitarul;
e) uzufructuarul, creditorul cu garantii reale, depozitarul si persoanele din familia proprietarului.
Indicati raspunsul corect.
Ans: e
Cele mai uzuale excluderi ale contractului de asigurare a creditelor de export se refera la:
a) reclamatii privind livrarile de bunuri sau prestari de servicii necorespunzatoare;
b) amenzi de orice fel;
c) sumele obtinute din valorificarea garantiilor;
d) pierderi survenite ca urmare a evenimentelor politice, tulburarilor sociale, actelor de sabotaj sau a altor evenimente asemanatoare;
e) pierderi provocate de calamitati naturale.
Indicati raspunsul incorect.
Ans: c
Dimensiunea juridica a contractului de asigurare se bazeaza pe elemente cum sunt:
1. faptul ca un asigurator organizeaza pe principiul mutualitatii un numar mare de asigurati;
2. obligatia asiguratului de a plati o prima asiguratorului;
3. indemnizarea celor care sufera un sinistru se face pe seama unui fond comun constituit din primele īncasate;
4. obligaŃia asumata de asigurator de a plati indemnizatii la producerea riscului asigurat;
5. indemnizarea asiguratului sau a unei persoane desemnate de acesta nu este īnsotita de obligatia asiguratului de a plati o prima asiguratorului.
Combinatia corecta este:
a) b) 1+2; c) 2+4; d) 2+5; e) 3+4.
Ans: c
Partea din paguba care depaseste suma asigurata este suportata īn īntregime de asigurat īn cazul aplicarii:
a) principiul acoperirii proportionale si al primului risc;
b) oricarui principiu de rapundere a asiguratorului;
c) principiul raspunderii limitate;
d) principiul primului risc;
e) principiul acoperirii proportionale.
Indicati raspunsul corect.
Ans: b
Īn cazul fransizei deductibile:
a) asiguratorul acopera īn īntregime paguba - pāna la nivelul sumei asigurate daca aceasta este mai mare decāt fransiza;
b) asiguratorul acorda despagubirea numai pentru partea de paguba care depaseste fransiza;
c) cuantumul sau se scade din orice paguba, indiferent de principiul de despagubire care se aplica;
d) cota de prima tarifara este mai mare;
e) se acorda despagubiri, numai pentru pagubele care se īncadreaza īn limitele fransizei.
Indicati raspunsul corect.
Ans: b
Īn legatura cu Banca de Export Import a Romāniei (EXIMBANK), unele dintre afirmatiile urmatoare sunt corecte:
1. EXIMBANK īsi desfasoara activitatea īn nume propriu si pe cont propriu īn conditiile economiei de piata;
2. nivelul primei de asigurare este diferentiat de EXIMBANK īn functie de tara cumparatorului, statutul juridic al cumparatorului, garantiile disponibile, etc.
3. EXIMBANK īsi desfasoara activitatea īn nume si pe contul statului, īn calitate de agent al acestuia, pe baza de conventie;
4. contractele de asigurare se deosebesc si dupa riscurile pe care le acopera si care difera īn functie de tara cumparatorului (importatorului);
5. EXIMBANK utilizeaza diverse tipuri de contracte (polite) īn functie de dimensiunea protectiei pe care o ofera asiguratului.
Combinatia corecta este:
a) b) 1+2+3+4; c) 1+2+3; d) 1+2; e) toate variantele sunt corecte.
Ans: e
![]()
a) repartizarea daunelor probabile īntre reasigurat si reasigurator;
b) repartizarea primelor īntre reasigurat si reasigurator īn cadrul reasigurarii neproportionale;
c) repartizarea primelor īntre reasigurat si reasigurator īn cadrul reasigurarii proportionale;
d) repartizarea daunelor, īntre reasigurat si reasigurator la reasigurarea proportionala;
e) stabilirea modului de repartizare a raspunderii īntre reasigurat si reasigurator la reasigurarea neproportionala.
Indicati raspunsul corect.
Ans: b
Un bun evaluat la 30000 RON este asigurat la o societate de asigurari pentru suma de 20000 RON. Societatea de asigurari practica o fransiza deductibila de 500 RON. Īn urma producerii riscului asigurat bunul este avariat īn proporŃie de 30%. Despagubirea la care are dreptul asiguratul este:
a) 8500 RON; b) 10000 RON; c) 3100 RON; d) 3600 RON; e) egala cu paguba.
Indicati raspunsul corect.
Ans: a
O persoana īn vārsta de 32 de ani, īncheie o asigurare prin care urmeaza sa primeasca pentru tot restul vieŃii, lunar anticipat, cāte 350 euro, īncepānd cu vārsta de 62 de ani. Īn condiŃiile īn care numerele de comutatie utilizate sunt: D =182, N =45517, N =1812, N =1370, prima anuala platita pāna la īmplinirea vārstei de 60 de ani, este:
a) b) 158,72 c) 84,95 d) 174,58 e) 123,63
Ans: e
SUBIECTUL NR. 5
Prin directivele adoptate de Consiliul Europei vizānd domeniul asigurarilor s-a reusit:
1. armonizarea deplina a aspectelor esentiale ale practicilor de operare īn tarile membre;
2. instituirea unui sistem unic de licenta;
3. nearmonizarea modului de exercitare a controlului financiar de catre statul gazda al agentiei sau sucursalei de asigurare;
4. recunoasterea controalelor efectuate īn fiecare stat membru vizānd practicile de operare;
5. armonizarea deplina a conditiilor de acces la activitatea de asigurare de bunuri, de raspundere civila si de viata.
Combinatia corecta este:
a) b) 1+2+5; c) 1+3+4; d) 2+4+5; e) 2+3+5.
Ans: d
Ca sistem de acoperire, la asigurarile de bunuri, practicarea sistemului primului risc:
a) este mai avantajoasa pentru asigurator;
b) nu influenteaza nivelul primelor de asigurare;
c) influenteaza nivelul primelor de asigurare īn sensul ca acestea sunt mai mari comparativ cu cele corespunzatoare altor sisteme de acoperire;
d) influenteaza nivelul primelor de asigurare īn sensul ca acestea sunt mai scazute comparativ cu cele corespunzatoare altor sisteme de acoperire;
e) face de regula, obiectul negocierii īntre asigurator si asigurat.
Indicati raspunsul corect.
Ans: c
Īn cazul asigurarii cladirilor, constructiilor, echipamentelor precum si a altor bunuri, asiguratorul acorda despagubiri pentru:
a) pagube produse cladirilor sau altor contructii prin izbirea lor de catre un vehicul;
b) pagube produse bunurilor puse la caldura sau la foc pentru prelucare;
c) pagubele produse numai de fermentatie, oxidare, caldura, afumare, patare sau pārlire, provenite dintr-o sursa normala de caldura;
d) cheltuielile reclamate de curatarea locului unde s-a produs paguba, īn masura īn care nu sunt īn legatura cu riscurile asigurate si nici necesare pentru executarea lucrarilor de reparatii;
e) pagube produse datorita pierderii sau disparitiei bunurilor asigurate necauzate direct de riscuri asigurate.
Indicati raspunsul corect.
Ans: a
4. Īn cadrul managementului riscurilor investitionale, riscurile cel mai frecvent īntālnite sunt:
a) riscurile privind garantiile date īn favoarea tertilor;
b) riscurile de devalorizare a investitiei;
c) riscul dobānzilor;
d) riscul de supraevaluare a investitiei;
e) riscul de lichiditate al unei investitii.
Indicati raspunsul fals.
Ans: a
Contractele de reasigurare neproportionale prezinta urmatoarele trasaturi care le deosebesc de cele proportionale:
1. repartizarea raspunderii īntre asigurat si reasigurator se face proportional cu suma asigurata;
2. necesita clauze standardizate pentru a micsora costul reasigurarii;
3. repartizarea raspunderii īntre asigurator si reasigurator se face īn functie de volumul probabil al daunei;
4. gestionarea contractelor reclama cheltuieli reduse;
5. operatiunile contabile sunt reduse la minimum, dar fiind mai laborioase.
Indicati varianta falsa:
a) b) 2+5; c) 1+4; d) 3+5; e) 3+4.
Ans: a
Prima medie īncasata pe contract se obtine:
a) ca suma a tuturor rapoartelor dintre prima si suma asigurata;
b) raportānd totalul īncasarilor din prime la numarul de contracte de asigurare īncheiate;
c) raportānd totalul īncasarilor din prime la totalul sumelor asigurate pentru toate contractele aflate īn vigoare;
d) raportānd totalul īncasarilor din prime la numarul contractelor īncheiate la asigurarile de viata;
e) raportānd totalul īncasarilor din prime la numarul contractelor īncheiate la asigurarile generale.
Indicati raspunsul corect.
Ans: b
7. La asigurarea bunurilor īn timpul transportului terestru, societatea de asigurari nu acorda despagubiri īn urmatoarele situatii:
1. pierderi rezultate īn timpul īncarcarii bunurilor asigurate īn mijlocul de transport;
2. paguba a rezultat īn urma unei alunecari de teren;
3. paguba s-a produs īn urma rasturnarii autovehiculului care transporta bunurile asigurate;
4. paguba a rezultat ca urmare a alterarii bunurilor asigurate;
5. paguba a fost produsa de insecte si rozatoare;
8. paguba s-a produs ca urmare a conservarii necorespunzatoare de catre asigurat a bunurilor transportate.
Combinatia corecta este:
a) 1+3+5; b) 1+4+6; c) 2+3+6; d) 3+4+5; e) 4+5+6.
Ans: e
Un bun evaluat la 5000 RON este asigurat de catre proprietarul sau la doua societati de asigurare X si Y pentru urmatoarele sume: 1500 RON la societatea X si 1500 RON la societatea Y. Ambele societati practica sistemul primului risc. Se produce riscul asigurat si se īnregistreaza o paguba estimata la 2000 RON. Despagubirile platite asiguratului de catre cele doua societati de asigurari sunt:
a) 1500 RON 1500 RON
b) 1400 RON 1600 RON
c) 800 RON 800 RON
d) 1000 RON 1000 RON
e) 900 RON 900 RON
Indicati raspunsul corect.
Ans: d
O sucursala a unei societaŃi de asigurari, a īnregistrat la sfārsitul anului, urmatoarele rezultate:
- total prime de asigurare īncasate: 80000 euro;
- total despagubiri platite: 50000 euro;
- total cheltuieli administrativ-gospodaresti: 5000 euro;
- total angajaŃi ai sucursalei: 20 persoane.
Sa se calculeze:
1. Rata daunei;
2. Costul relativ al activitaŃii de asigurare;
3. Cheltuielile administrativ-gospodaresti ce revin la o unitate monetara venit net.
Combinatia corecta este:
a) 62,50% 68,75% 0,5 u.m.
b) 31,25% 62,50% 0,2 u.m.
c) 68,75% 31,25% 0,4 u.m.
d) 62,50% 68,75% 0,2 u. m.
e) 68,75% 62,50% 0,3 u.m.
Ans: d
O persoana īn vārsta de 32 de ani, īncheie o asigurare prin care urmeaza sa primeasca pentru tot restul vieŃii, lunar anticipat, cāte 360 euro, īncepānd cu vārsta de 60 de ani. Īn conditiile īn care numerele de comutatie utilizate sunt: D =232, N =45517, N =3480, N =1812, prima anuala platita pāna la īmplinirea vārstei de 55 de ani, este:
a) b) 218,56 ; c) 113,45 ; d) 197,64 e) 141,27
Ans: a
SUBIECTUL NR. 6
Din punct de vedere tehnic, asigurarea presupune:
1. obligatia asumata de asigurator de a plati indemnizatii la producerea riscului asigurat;
2. evitarea sinistrelor;
3. faptul ca un asigurator organizeaza pe principiul mutualitaŃii un numar mare de asigurati;
4. indemnizarea celor care sufera un sinistru se face pe seama unui fond comun constituit din primele īncasate;
5. organizarea mutualitatii riscurilor se face dupa reguli matematice riguroase.
Combinatia corecta este:
a) 1+3+4; b) 2+3+5; c) 2+3+4; d) 3+4+5; e) 1+2+4.
Ans: d
La asigurarea lucrarilor de constructii-montaj si a raspunderii constructorului, se acorda despagubiri pentru:
1. disparitia unor bunuri, daca aceasta a fost constatata numai cu prilejul unor inventarieri periodice;
2. disparitia unor echipamente, materiale, unelte sau a altor bunuri cauzate direct de riscuri asigurate;
3. confiscarea sau distrugerea de bunuri pe baza regulilor vamale, de carantina, din ordinul guvernului sau a oricarei autoritati publice;
4. furt prin efractia depozitelor;
5. diferente de tarif cuprinse īn contractul de asigurare.
Indicati varianta neadevarata:
a) b) 4+5; c) 1+3; d) toate variantele sunt adevarate; e) 3+4+5.
Ans: c
Īn cazul asigurarii de bunuri, indemnizatia de asigurare:
a) nu poate depasi valoarea bunului din momentul producerii cazului asigurat;
b) se plateste īn limita sumei asigurate;
c) nu poate depasi paguba īnregistrata;
d) īn caz de pierdere partiala a bunului, se plateste de regula, dupa sistemul primului risc;
e) beneficiul nerealizat nu este supus repararii.
Indicati raspunsul corect.
Ans: d
Cu privire la aplicarea principiului primului risc, se fac urmatoarele afirmatii:
a) nu influenteaza nivelul primelor de asigurare;
b) permite practicarea unor tarife de prime mai scazute comparativ cu alte principii de acoperire (raspundere) īn asigurare;
c) prezinta, īn toate cazurile, avantaje deosebite atāt pentru asigurat, cāt si pentru asigurator;
d) presupune cote de prime de asigurare mai mari fata de cele practicate īn cazul aplicarii altor principii de acoperire;
e) permite realizarea unui profit substantial de catre asiguratori.
Indicati raspunsul corect.
Ans: d
Durata medie de lichidare a daunelor se calculeaza:
a) ca raport īntre numarul de zile trecute de la avizarea daunei, pāna la plata despagubirilor si numarul daunelor solutionate;
b) ca raport īntre numarul de zile trecute de la aparitia daunei si pāna la solutionarea acesteia;
c) ca produs īntre duratele medii ale solutionarii daunelor pentru fiecare contract īn parte;
d) ca medie a numarului de zile trecute de la īncheierea contractului si pāna la solutionarea daunelor;
e) ca raport īntre numarul de zile trecute de la īncheierea contractului si pāna la aparitia daunei.
Indicati raspunsul corect.
Ans: a
Pentru un anumit bun, contractul de asigurare īncheiat prevede o fransiza deductibila de 1000 RON. Īn urma producerii riscului asigurat, bunul respectiv necesita reparatii. Acordarea despagubirii se efectueaza īn conditiile:
1. Costul reparatiilor se ridica la 500 RON. Asiguratorul nu datoreaza nimic.
2. Costul reparatiilor se ridica la 2000 RON. Asiguratorul datoreaza īntreaga suma.
3. Costul reparatiilor se ridica la 1400 RON. Asiguratorul va plati 1000 RON, iar asiguratul suporta diferenta de 400 RON.
4. Costul reparatiilor se ridica la 1800 RON. Asiguratul va suporta 1000 RON, iar asiguratorul va plati diferenta de 800 RON.
5. Costul reparatiilor se ridica la 1000 RON. Asiguratul suporta īn īntregime paguba.
Combinatia corecta este:
a) b) 2+4+5; c) 1+4+5; d) 1+2+5; e) 3+4+5.
Ans: c
Un bun a fost asigurat la un asigurator pentru 10000 RON, iar la un alt asigurator, pentru 20000 RON. Producāndu-se riscul asigurat, se constata pierderea totala a bunului. Paguba este evaluata la 30000 RON. Despagubirea se va suporta:
a) 1/3 din paguba va fi acoperita de primul asigurator, iar 2/3 din paguba de catre cel deal doilea asigurator;
b) īn mod egal de catre cei doi asiguratori;
c) 2/5 din paguba va fi acoperita de primul asigurator, iar 3/5 din paguba de catre cel deal doilea asigurator;
d) nu se poate raspunde, fiind necesare informatii suplimentare;
e) nici o varianta de raspuns nu este corecta.
Indicati raspunsul corect.
Ans: a
O sucursala a unei societati de asigurari a īnregistrat la sfārsitul anului urmatoarele rezultate:
Pe forme de asigurare si pe total, rata daunei, se prezinta astfel:
Obligatorii Facultative Total
a) 70,5% 50% 61,2%
b) 70,0% 63,6% 64,6%
c) 70,0% 64,0% 55,0%
d) 70,0% 68,0% 64,0%
e) 70,0% 58,6% 68,0%
Alegeti varianta corecta.
Ans: b
Un bun a carui valoare reala este de 30000 euro se asigura la o societate de asigurari A pentru suma de 5000 euro, iar la o alta societate de asigurari B, pentru suma de 10000 euro. Se produce o paguba de 15000 euro. Despagubirea va fi suportata astfel:
a) 5000 euro asiguratorul A si 5000 euro asiguratorul B;
b) proportional cu suma asigurata;
c) 2500 euro primul asigurator si 5000 euro al II lea asigurator;
d) 1/3 din paguba primul asigurator si 2/3 al II-lea asigurator;
e) 1/2 din paguba primul asigurator iar cealalta jumatate din paguba al doilea asigurator.
Indicati raspunsul corect.
Ans: c
O persoana īn vārsta de 36 de ani īncheie o asigurare de supravietuire pe termen de 14 ani, prin care urmeaza sa īncaseze suma de 85000 euro, la scadenta politei. Cunoscāndu-se numerele de comutatie: D =3000, N =30070, D =2013, N =19600, N =10155, D =716, atunci, prima anuala anticipata egala, achitata de catre asigurat īn urmatorii 10 ani, este:
a) 3146,64 b) 2982,93 c) 3546,02 ; d) 3055,98 e) 4122,51
Ans: d
SUBIECTUL NR. 7
Stiind ca īncheierea asigurarii implica responsabilitate din partea asiguratorului, precizati care dintre urmatoarele afirmatii este corecta:
a) responsabilitate fata de contract, responsabilitate fata de prima, responsabilitate fata de lege;
b) responsabilitatea agentului de asigurare fata de stat, fata de public si fata de client;
c) responsabilitate fata de stat si fata de client;
d) responsabilitate fata de lege, fata de societatea de asigurari, fata de public si fata de stat;
e) responsabilitate pe piata asigurarilor, fata de client, fata de lege si fata de contract.
Indicati varianta corecta.
Ans: b
Fondul de protejare a asiguratilor destinat platilor de despagubiri si sume asigurate īn caz de faliment al societatilor comerciale din domeniul asigurarilor se constituie astfel:
a) alocarea unei sume de la bugetul de stat care este pusa la dispozitia Comisiei de Supraveghere a Asigurarilor;
b) pe baza fondurilor puse la dispozitia Comisiei de Supraveghere a Asigurarilor de catre Ministerul Finantelor Publice;
c) din resursele proprii ale Comisiei de Supraveghere a Asigurarilor;
d) fiecare societate de asigurari si reasigurari īsi constituie un asemenea fond din primele īncasate;
e) se constituie si se administreaza de catre Comisia de Supraveghere a Asigurarilor, care va stabili anual o cota procentuala ce se va aplica asupra volumului de prime īncasate de catre societatile de asigurari, respectiv reasigurari si va elabora norme privind utilizarea acestuia.
Indicati raspunsul corect.
Ans: e
Īn cazul asigurarii de bunuri, interesul asigurarii este reprezentat de:
a) valorile patrimoniale expuse riscului sau riscurilor cuprinse īn contractul de asigurare;
b) dauna efectiva, evaluabila īn bani, pe care asiguratul o poate suferi īn cazul pierderii sau degradarii bunului;
c) indemnizatia de asigurare pe care urmeaza sa o plateasca asiguratorul;
d) despagubirea pe care urmeaza sa o īncaseze asiguratul daca survine cazul asigurat;
e) bunurile asigurate.
Indicati raspunsul corect.
Ans: b
4. Marimea despagubirii va fi diferita daca se aplica principiul acoperirii proportionale sau al primului risc, atunci cānd:
1. suma asigurata este mai mica decāt valoarea reala a bunului īn momentul producerii evenimentului;
2. suma asigurata este egala cu valoarea bunului īn momentul producerii evenimentului;
3. paguba este totala;
4. paguba este partiala;
5. paguba este egala cu suma asigurata.
Combinatia corecta este:
a) 1+3; b) 2+4; c) 1+4; d) 2+3; e) toate raspunsurile sunt incorecte.
Ans: c
Gradul de acoperire prin asigurare, care se calculeaza ca raport īntre suma asigurata si valoarea reala a bunului asigurat, are semnificatie numai daca:
a) se calculeaza separat pentru fiecare forma de asigurare (obligatorie sau facultativa);
b) se calculeaza separat pentru fiecare bun cuprins īn asigurare;
c) se calculeaza separat pentru asigurarile de bunuri si separat pentru cele de persoane;
d) se calculeaza separat pe fiecare sucursala, pentru a evidentia eficienta activitatii de asigurare;
e) se calculeaza separat pentru asigurarile interne si separat pentru cele externe.
Indicati raspunsul corect.
Ans: b
Daca tpx este probabilitatea de supravietuire a unei persoane īn vārsta de x ani peste t ani si lx este functia de supravietuire, atunci:
a) tpx = lx * lx+t b) tpx = lx+t /lx c) tpx = lx / lx+t d) tpx = lx+t * x; e) tpx = l x+t * lt
Indicati raspunsul corect.
Ans: b
Reasigurarea oprire de dauna se poate defini astfel:
a) reasiguratul retine īn sarcina sa o cota procentuala din suma asigurata;
b) reasiguratul se obliga sa acopere din daunele produse īn cursul anului o suma echivalenta cu un anumit procent din volumul primelor īncasate, iar reasiguratorii sa suporte tot ceea ce depaseste acest nivel;
c) reasiguratul retine īn sarcina sa daunele ce nu depasesc nivelul prioritatii stabilite īn contract;
d) raspunderea reasiguratului este limitata pentru fiecare dauna la un anumit plafon (prioritate), iar raspunderea reasiguratorilor vizeaza partea de dauna ce depaseste prioritatea;
e) raspunderea reasiguratului se stabileste anticipat sub forma unei sume fixe din suma asigurata.
Indicati raspunsul corect.
Ans: b
Una dintre urmatoarele cheltuieli nu poate fi cuprinsa īn categoria cheltuielilor ce intra īn avaria comuna:
a) cheltuielile de dispasa;
b) cheltuielile portuare efectuate īn portul de refugiu;
c) īntretinerea echipajului si combustibilul consumat;
d) salariile si retributia aferenta orelor suplimentare cuvenite echipajului navei;
e) comisioane si dobānzi.
Indicati raspunsul corect.
Ans: e
Pentru un anumit bun, proprietarul acestuia īncheie trei contracte de asigurare cu trei societati de asigurari diferite A, B si C. Bunul este asigurat pentru urmatoarele sume:
- 5000 RON la asiguratorul A;
- 8000 RON la asiguratorul B;
- 10000 RON la asiguratorul C.
Ca urmare a producerii riscului asigurat se īnregistreaza o paguba de 20000 RON. Cele trei societati de asigurari practica pentru acoperirea pagubei sistemul primului risc. Care sunt despagubirile cuvenite asiguratului ?
Asiguratorul A Asiguratorul B Asiguratorul C
a) 1250 RON 3200 RON 5000 RON
b) 5750 RON 9200 RON 11500 RON
c) 5000 RON 8000 RON 10000 RON
d) 1910 RON 3100 RON 5750 RON
e) 1660 RON 2660 RON 3330 RON
Indicati raspunsul corect.
Ans: c
O persoana īn vārsta de 40 de ani īncheie o asigurare de deces pentru suma asigurata de 100000 RON. Polita intra īn vigoare dupa īmplinirea vārstei de 50 de ani, urmānd ca beneficiarii asigurarii sa primeasca suma asigurata daca decesul survine pāna la īmplinirea vārstei de 65 de ani. Cunoscāndu-se numerele de comutatie: D =12053; M =2416 si M =1519, atunci, prima neta unica pe care asiguratul trebuie sa o achite la semnarea politei de asigurare, este de:
a) 8674,52 RON; b) 7442,13 RON; c) 7939,76 RON; d) 7348,81 RON; e) 8298,43 RON.
Ans: b
SUBIECTUL NR. 8
Contractul de asigurare nu prezinta una dintre urmatoarele trasaturi:
a) oneros;
b) de adeziune;
c) aleatoriu;
d) unilateral;
e) consensual.
Indicati raspunsul corect.
Ans: d
Īn legatura cu fondurile de asigurare propriu-zise, se fac urmatoarele afirmatii:
1. fondurile sunt folosite pentru plata despagubirilor si finantarea unor actiuni cu caracter preventiv, acolo unde este cazul;
2. fondurile de asigurare acopera deficitul bugetar, īn cazul īn care el este mai mare de 4% din PIB;
3. fondurile se constituie descentralizat, dar se utilizeaza centralizat de catre societatile de asigurari;
4. de la caz la caz, bugetele locale pot mobiliza resursele banesti ale fondurilor de asigurare;
5. fondurile se folosesc pentru acoperirea cheltuielilor administrativ-gospodaresti si constituirea unor fonduri de rezerva ale societatii de asigurare;
Combinatia incorecta este:
a) 1+2; b) 1+3; c) 2+3; d) 2+4; e) 4+5.
Ans: d
Reasigurarea "excedent de dauna" se īncheie pentru:
a) cazurile īn care daunele sunt de dimensiuni mari si cu frecventa redusa;
b) cazurile īn care raspunderea reasiguratorului vizeaza partea de dauna care depaseste prioritatea;
c) cazurile īn care daunele sunt obisnuite ca marime, dar avānd o aparitie relativ ridicata;
d) cazurile īn care riscul acumularii daunelor generate de o catastrofa, este foarte mare;
e) cazurile īn care raspunderea reasiguratului nu este limitata īn nici un fel.
Indicati raspunsul corect.
Ans: b
Indicatorul "grad de cuprindere īn asigurare" poate fi utilizat pentru:
a) aprecierea calitatii activitatii personalului care se ocupa de contractarea de asigurari;
b) aprecierea nivelului de dezvoltare al asigurarilor facultative;
c) aprecierea profitabilitatii la asigurarile de viata;
d) aprecierea nivelului rentabilitatii obtinut la asigurarile facultative de bunuri;
e) aprecierea nivelului de dezvoltare al asigurarilor obligatorii.
Indicati raspunsul corect.
Ans: b
. La asigurarea bunurilor īn timpul transportului pe calea ferata, raspunderea asiguratorului īncepe:
a) din momentul primirii bunurilor de catre transportator;
b) dupa 24 ore de la expirarea zilei īn care s-au achitat primele;
c) din momentul īncarcarii bunurilor īn vagoane;
d) la cinci zile de la expirarea zilei īn care s-au platit primele de asigurare;
e) la trei zile dupa ce s-a īncheiat contractul de asigurare.
Indicati raspunsul corect.
Ans: a
La asigurarea pentru pierderea sau avarierea unei aeronave, asiguratorul nu acorda despagubiri īn legatura cu:
1. pierderile suferite īn timpul īn care aeronava se afla īn zbor, fara ca certificatul de aeronavigabilitate sa fie valabil;
2. cheltuielile efectuate de asigurat cu ocazia elaborarii studiului tehnico-economic de repunere īn functiune a aeronavei;
3. pierderea totala constructiva a aeronavei;
4. cheltuielile ocazionate de salvarea si conservarea aeronavei, precum si pentru prevenirea extinderii pagubei produse;
5. avariile provocate aeronavei de masurile de salvare.
Combinatia corecta este:
a) b) 1+4; c) 2+4; d) 2+5; e) 3+5.
Ans: a
Repartizarea primelor īntre reasigurat si reasigurator se efectueaza:
a) prin negociere directa īntre cele doua parti;
b) automat, conform Legii nr.136/1995, privind asigurarile si reasigurarile īn Romānia;
c) diferentiat, īn functie de metoda de reasigurare (proportionala sau neproportionala) care se utilizeaza;
d) īn cadrul contractului de reasigurare, īn care se precizeaza printr-o clauza speciala cāt din prima se retine de fiecare din cele doua parti;
e) automat, anual, conform Hotarārilor Comisiei de Supraveghere a Asigurarilor.
Indicati raspunsul corect.
Ans: c
Īn sfera preocuparilor unui asigurator privind obtinerea performantei randamentelor si a unor venituri corespunzatoare, pot aparea urmatoarele riscuri investitionale:
1. riscul de lichidare;
2. riscul managerial;
3. riscul cheltuielilor de exploatare;
4. riscul de supraevaluare;
5. riscul de devalorizare;
6. riscul de lichiditate.
Combinatia corecta este:
a) 1+2+4; b) 2+3+5; c) 2+3+6; d) 3+4+6; e) 4+5+6.
Ans: e
Un bun a carui valoare de asigurare este de 5000 RON face obiectul unui contract de asigurare pentru suma de 3000 RON. Producerea riscului asigurat genereaza o paguba evaluata la 4000 RON. Asiguratorul practica sistemul primului risc. Determinati despagubirea la care are dreptul asiguratul, īn cazul producerii riscului asigurat.
a) 2400 RON;
b) 3000 RON;
c) 4000 RON;
d) 5000 RON;
e) nu se poate calcula deoarece sunt necesare si alte informatii.
Indicati raspunsul corect.
Ans: b
O persoana īn vārsta de 40 de ani, īncheie o asigurare prin care dupa īmplinirea vārstei de 60 de ani, sa primeasca la fiecare sfārsit de luna, tot restul vietii, o pensie (renta viagera) de 500 euro. Cunoscāndu-se numerele de comutatie: D =12053; D =3885,7; N =181816 si N =38569,8 atunci, prima de asigurare pe care trebuie sa o plateasca asiguratul la fiecare sfārsit de luna, de la vārsta de 40 de ani si pāna la vārsta de 60 de ani, este de:
a) b) 129,87 c) 137,25 d) 142,29 e) 157.32
Ans: c
SUBIECTUL NR. 9
Cu privire la asigurari, cazul asigurat este:
a) un eveniment posibil;
b) un eveniment care s-a produs;
c) evenimentul asigurat care s-a produs deja, iar pentru īnlaturarea consecintelor lui s-a īncheiat asigurarea;
d) evenimentul care s-a produs prin fapta intentionata a beneficiarului asigurarii;
e) un eveniment viitor.
Indicati raspunsul corect.
Ans: c
Marimea despagubirii va fi aceeasi, indiferent daca se aplica principiul acoperirii proportionale sau principiul primului risc, atunci cānd:
1. suma asigurata este mai mica decāt valoarea reala a bunului īn momentul producerii evenimentului;
2. suma asigurata este egala cu valoarea bunului īn momentul producerii evenimentului;
3. paguba este totala;
4. paguba este partiala;
5. paguba este egala cu suma asigurata.
Combinatia corecta este:
a) 1+4; b) 1+5; c) 2+3; d) 4+5; e) toate raspunsurile sunt incorecte.
Ans: c
Ca sistem de acoperire, la asigurarile de bunuri, practicarea sistemului primului risc:
a) este mai avantajoasa pentru asigurator;
b) nu influenteaza nivelul primelor de asigurare;
c) influenteaza nivelul primelor de asigurare, īn sensul ca acestea sunt mai mari, comparativ cu cele corespunzatoare altor sisteme de acoperire;
d) influenteaza nivelul primelor de asigurare, īn sensul ca acestea sunt mai scazute, comparativ cu cele corespunzatoare altor sisteme de acoperire;
e) face de regula obiectul negocierii īntre asigurator si asigurat.
Indicati raspunsul corect.
Ans: c
Īn cadrul asigurarilor de raspundere civila auto, societatile de asigurari acorda despagubiri daca:
a) paguba se datoreaza exclusiv culpei persoanei pagubite;
b) paguba este urmarea exclusiv a culpei unei terŃe persoane;
c) paguba este rezultata īn urma unui transport de produse radioactive sau inflamabile;
d) producerea pagubei s-a datorat conducatorului autovehiculului asigurat;
e) sunt emise pretentii referitoare la reducerea valorii bunurilor dupa efectuarea reparatiilor.
Indicati raspunsul corect.
Ans: d
Contractele de reasigurare neproportionala prezinta o serie de trasaturi:
1. Repartizarea raspunderii īntre asigurator si reasigurator se face īn funcŃie de volumul probabil al daunei;
2. Prima cedata īn reasigurare se determina cu anticipatie;
3. Participarea reasiguratorului se stabileste sub forma unei cote procentuale din suma asigurata;
4. Asiguratorul nu participa la beneficiile reasiguratorului;
5. Asiguratorul participa la beneficiile reasiguratorului.
Combinatia corecta este:
a) b) 1+2+4; c) 1+2+5; d) 2+3+5; e) 1+3+5.
Ans: b
Factorii care au o influenta determinanta asupra managementului īn asigurari sunt:
1. caracterul aleatoriu al daunelor;
2. forma juridica a asigurarii;
3. caracterul ciclic al economiei;
4. sfera de cuprindere īn profil teritorial a asigurarii;
5. ramura de asigurare;
6. dimensiunea fondurilor pe care le poate constitui o societate de asigurari.
Combinatia corecta este:
a) b) 2+3+4+5+6; c) 1+3+4+5+6; d) 1+2+4+5+6; e) 2+3+4+6.
Ans: d
Īn cazul īn care īn contractul de asigurare se prevede o fransiza deductibila, valoarea despagubirii reprezinta:
a) cuantumul pagubei;
b) suma dintre cuantumul pagubei si fransiza;
c) nivelul fransizei, daca aceasta este mai mica decāt paguba;
d) fransiza;
e) diferenta dintre cuantumul pagubei si fransiza.
Indicati raspunsul corect.
Ans: e
Reasigurarea neproportionala cuprinde urmatoarele variante:
1. reasigurararea excedent de dauna;
2. reasigurarea cota-parte;
3. reasigurarea oprire de dauna;
4. reasigurarea pe baza de pool;
5. reasigurarea excedent de suma asigurata.
Indicati varianta corecta:
a) 2+5; b) 1+3; c) 3+4; d) 2+4; e) 3+5.
Ans: b
Un bun a carui valoare de asigurare este de 8000 RON a fost asigurat pentru suma de 6000 RON. Ca urmare a producerii riscului, se īnregistreaza pierderea partiala a bunului, īn urma careia se estimeaza o paguba de 4000 RON. Asiguratorul practica sistemul acoperirii proportionale. Care este despagubirea la care are dreptul asiguratul ?
a) 5000 RON
b) 4000 RON
c) 3000 RON
d) 2000 RON
e) Nu se poate calcula, īntrucāt sunt necesare si alte informatii.
Indicati raspunsul corect.
Ans: c
O persoana īn vārsta de 30 de ani īncheie o asigurare prin care urmeaza sa primeasca lunar anticipat o renta īn valoare de 200 euro, īncepānd cu vārsta de 60 de ani. Achitarea politei o efectueaza prin prime trimestriale posticipate egale pe o durata de 25 de ani. Cunoscāndu-se numerele de comutatie: D =33958,32; D =12491,518; D =9761,756; N =707166,845; N =169496,698; N =125141,267; prima de asigurare trimestriala pe care o achita asiguratul este de:
a) b) 120,44 c) 129,17 d) 130,05 e) 131,98
Ans: a
SUBIECTUL NR. 10
Practicarea sistemului acoperirii proportionale este aplicabila:
a) numai atunci cānd obiectul asigurarii este nedeterminat si nedeterminabil pāna īn momentul realizarii riscului;
b) numai īn caz de pierdere totala a bunului;
c) la asigurarile obligatorii de bunuri;
d) la asigurarile facultative de bunuri si prezinta importanta numai īn caz de pierdere partiala a bunului asigurat;
e) la asigurarile generale.
Indicati raspunsul corect.
Ans: d
Prin asigurarea "CARGO" unul din urmatoarele riscuri nu este acoperit:
a) intrarea apei de mare, īn nava, cala, container sau loc de depozitare;
b) esuarea, scufundarea sau rasturnarea navei;
c) īntārzierea directa determinata de un risc asigurat;
d) incendiu sau explozie;
e) aruncarea sau luarea de valuri peste bord.
Indicati raspunsul corect.
Ans: c
Factorul de actualizare viager (numit si suma unitara amānata n ani) notat cu nEx , calculat cu numere de comutaŃie este:
a) nEx= n * Dx b) nEx= Dx+n*Dx ; c) nEx = Dx / Dx+n d) nEx = Dx*Dx+n e) nEx = Dx+n / Dx
Indicati raspunsul corect.
Ans: e
La asigurarea facultativa a bunurilor pe timpul transportului terestru, unul dintre urmatoarele riscuri nu este cuprins īn asigurare:
a) accidente īn timpul īncarcarii, asezarii sau descarcarii bunurilor;
b) caderi, deraieri, derapari, rasturnari sau īmpotmoliri;
c) incendiu si alte riscuri generale;
d) pagube produse din cauza unor īnsusiri proprii naturii bunurilor transportate;
e) accidente ale mijloacelor de transport soldate cu coliziuni.
Indicati raspunsul corect.
Ans: d
Stiind ca prin asigurarile de raspundere civila pot fi acoperite pagubele produse de asigurat unor terte persoane, daca sunt īndeplinite īn mod cumulativ anumite conditii, precizati care este conditia eronata:
a) sa existe un raport de cauzalitate īntre fapta ilicita a asiguratului si prejudiciul adus tertei persoane;
b) sa existe un raport juridic īntre asigurator si terta persoana pagubita;
c) sa se poata constata culpa asiguratului;
d) savārsirea unei fapte ilicite de catre asigurat;
e) sa se poata dovedi existenta unui prejudiciu cauzat de asigurat tertei persoane.
Indicati raspunsul corect.
Ans: b
La asigurarea facultativa a animalelor se acorda despagubiri numai atunci cānd:
a) animalele sunt predate procesatorilor din industria carnii;
b) animalele au atins o anumita vārsta si nu mai au capacitate de reproductie;
c) animalele sunt īn scadere a capacitatii de munca;
d) animalele au reacqionat pozitiv la tuberculinare fara ca boala sa se fi manifestat;
e) principala cauza a pieirii animalelor a fost boala mentionata.
Indicati raspunsul corect.
Ans: e
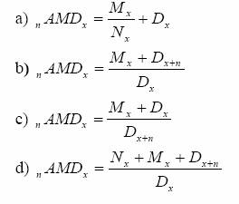
Pentru o asigurare mixta pe n ani prima neta unica unitara platita de asiguratul īn vārsta de x ani, notata nAMx, calculata cu ajutorul numerelor de comutatie este:
a) nAMx= (Mx+Mx+n) / Dx b) nAMx= (Nx+Mx) / Dx+n
c)nAMx = (Nx - Mx+n) / Dx d) nAMx = ( Mx - Mx+n+Dx+n) / Dx
e) nAMx=(Nx- Mx) / Dx+n
Indicati raspunsul corect.
Ans: d
O societatea comerciala īncheie trei contracte de asigurare: unul pentru avarii si furturi īn valoare de 15000 RON, altul pentru constructii industriale īn valoare de 250000 RON si un al treilea pentru accidente ale personalului angajat īn valoare de 1000 RON. Societatea de asigurari retine īn sarcina sa din fiecare contract 200 RON iar restul īl cedeaza īn reasigurare. Excedentul de suma totala pe care cedenta īl plaseaza īn reasigurare si raportul dintre marimea plinului de conservare si gradul de risc sunt de:
a) 264600 RON; plinul de conservare este proportional cu gradul de risc;
b) 600 RON; cu cāt frecventa aparitiei riscului este mai mare, cu atāt retinerea cedentei este mai mica;
c) 265400 RON; marimea plinului de conservare este invers proportionala cu gradul de risc;
d) 264400 RON; plinul de conservare este egal cu gradul de risc;
e) fiind necesare si alte date, problema nu se poate rezolva.
Indicati raspunsul corect.
Ans: c
O societate de asigurari a īncheiat un contract de asigurare cu o fabrica de aparate electrocasnice. Plinul de conservare este stabilit pentru suma de 120000 euro. Sa se determine excedentul de suma asigurata (īn suma absoluta si procentual) pentru o suma asigurata de 840000 euro.
Varianta corecta este:
a. 720000 euro 85,7%
b. 420000 euro 80,0%
c. 720000 euro 84.3%
d. 640000 euro 82,4%
e. 740000 euro 88,6%
Ans: a
O persoana īn vārsta de 60 de ani, are dreptul la o renta lunara de 100 euro. Ea renunta la dreptul sau de renta timp de 5 ani, pretinzānd īn schimb, daca este īn viata, sa primeasca de la īmplinirea vārstei de 65 de ani, o renta mai mare. Cunoscāndu-se numerele de comutatie:
D =7469,1; D =5270; N =80839,8; N =48031,6; renta respectiva este:
a) b) 195,34 c) 243,44 d) 261,85 e) 258,12
Ans: c
SUBIECTUL NR. 11
La asigurarile cu fransiza, cota de prima tarifara este:
a) neinfluentata de existenta fransizei;
b) mai mare, īntrucāt apare īn calcule un element tehnic īn plus, iar contractul de asigurare se complica;
c) calculata diferit datorita aparitiei unui element tehnic suplimentar;
d) aceeasi ca la asigurarile fara fransiza;
e) mai redusa comparativ cu cea stabilita la asigurarile la care nu se aplica fransiza.
Indicati varianta de raspuns corecta.
Ans: e
. Legislatia din Romānia, referitoare la asigurarea obligatorie de raspundere civila auto, stabileste:
1. se prevede termen de pasuire;
2. īncalcarea obligatiei de asigurare de catre persoanele fizice si juridice care detin autovehicule supuse īnmatricularii īn Romānia sau care folosesc autovehicule īnmatriculate īn strainatate si care nu sunt asigurate īn mod valabil īn strainatate constituie infractiune;
3. asigurarea obligatorie de raspundere civila auto se practica numai de catre asiguratori autorizati de Comisia de Supraveghere a Asigurarilor;
4. īncheierea acestei asigurari este obligatorie si pentru asiguratorii autorizati;
5. refuzul societatii de asigurari autorizate de a īncheia contractul de asigurare obligatorie la cererea detinatorului de autovehicul constituie contraventie.
Combinatia corecta este:
a) b) 2+3+4; c) 1+4+5; d) 2+4+5; e) 1+2+3.
Ans: a
Un cal a carui valoare de piata este de 1000 RON a fost asigurat pentru suma de 600 RON. Ca urmare a unei fracturi suferite, animalul a fost sacrificat, recuperāndu-se produse din carne īn valoare de 500 RON. Paguba īnregistrata si despagubirea platita de asigurator sunt:
a) 400 RON 240 RON
b) 500 RON 300 RON
c) 600 RON 360 RON
d) 1000 RON 600 RON
e) nu se poate calcula, fiind necesare si alte informatii.
Indicati raspunsul corect.
Ans: b
La asigurarea "CARGO" suma asigurata poate fi formata din:
a) valoarea bunului din factura majorata cu 3%; costul transportului si al asigurarii majorate cu 4%; cheltuieli si taxe vamale; o supraasigurare de 12% din valoarea bunului, pentru acoperirea unor cheltuieli pe care asiguratul le poate justifica;
b) valoarea bunului potrivit facturii; costul transportului, al asigurarii, precum si alte costuri legate de transportul bunului nementionate īn factura; cheltuieli si taxe vamale; o supraasigurare de 10% din valoarea bunului pentru acoperirea acelor cheltuieli care nu pot fi prevazute la īncheierea asigurarii;
c) valoarea bunului mentionata īn factura majorata cu 5%; costul transportului si prima de asigurare achitata; cheltuieli si taxe vamale; o supraasigurare de 15% din valoarea bunului pentru acoperirea unor cheltuieli;
d) valoarea bunului potrivit facturii sau, īn lipsa acesteia, valoarea pe piata a bunului la locul de expediere īn momentul īncheierii asigurarii; costul transportului, al asigurarii, precum si alte costuri legate de transportul bunului si necuprinse īn valoarea facturii, cheltuieli si taxe vamale; o supraasigurare de 10% din valoarea bunului pentru acoperirea acelor cheltuieli care nu pot fi prevazute la īncheierea asigurarii;
e) valoarea bunului trecuta īn factura diminuata cu 2%; costul transportului majorat cu 10%, costul asigurarii si alte cheltuieli de transport; o supraasigurare de 20% din valoarea bunului.
Indicati raspunsul corect.
Ans: d
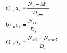
Pentru rentele viagere fractionate de m ori pe an, imediate, anticipate, prima neta unica platita de asiguratul īn vārsta īn vārsta de x ani, notata ax si calculata cu ajutorul numerelor de comutatie este:
Indicati raspunsul corect.
Ans: c
Reasigurarea reprezinta:
a) un acord īncheiat īntre un asigurator si o companie cedenta;
b) un acord īncheiat īntre o companie cedenta si un reasigurat;
c) un acord īncheiat īntre o companie cedenta si un reasigurator;
d) un acord īncheiat īntre un asigurat, o companie cedenta si un reasigurator;
e) o asigurare a asiguratorului direct, la o alta societate de asigurari, mai puternica din punct de vedere financiar.
Indicati raspunsul corect.
Ans: e
Managementul īn asigurari are particularitatile sale specifice ce deriva din faptul ca:
a) trebuie constituite mai multe categorii de rezerve tehnice;
b) evidentele se tin pe tipuri de asigurari;
c) exista mai multe riscuri decāt īn sistemul bancar;
d) exista un cadru legislativ mai restrictiv;
e) aceasta activitate economica apare, pe de o parte, ca o relatie de repartitie īn forma baneasca, iar pe de alta parte ca o prestare de servicii de un gen deosebit care se efectueaza īn baza contractului de asigurare.
Indicati raspunsul corect.
Ans: e
Vechimea īn cāmpul muncii este data de:
a) timpul aferent depasirii normei īntregi prestata de catre un salariat cu contract de munca pe durata nedeterminata;
b) timpul īn care o persoana a fost īncadrata si a activat pe baza unui contract de munca;
c) timpul īn care femeile au fost īncadrate īn functii cu jumatate de norma pentru a creste copiii īn vārsta de pāna la 6 ani;
d) timpul īn care persoana īncadrata īn munca urmeaza cursuri de pregatire profesionala cu acordul angajatorului;
e) perioada concediului pentru sarcina si lehuzie precum si concediul pentru īngrijirea copiilor īn vārsta de pāna la un an.
Indicati raspunsul fals.
Ans: a
. Pentru un anumit bun se īncheie de catre proprietarul acestuia doua contracte de asigurare cu doua societati de asigurari diferite A si B. Bunul este asigurat pentru urmatoarele sume:
15000 RON la asiguratorul A;
20000 RON la asiguratorul B.
Ca urmare a producerii riscului asigurat se īnregistreaza o paguba de 30000 RON. Cele doua societati de asigurari practica pentru acoperirea pagubei sistemul acoperirii proportionale. Bunul avānd o valoare de 70000 RON, care sunt despagubirile cuvenite asiguratului ?
Asiguratorul A Asiguratorul B
a) 6430 RON 8570 RON
b) 17500 RON 13330 RON
c) 7500 RON 10000 RON
d) 3215 RON 4285 RON
e) 15000 RON 20000 RON Indicati raspunsul corect.
Ans: c
O persoana īn vārsta de 40 de ani, īncheie o asigurare prin care īncepānd cu vārsta de 60 de ani, sa primeasca la fiecare sfārsit de luna, o suma fixa de bani, cāt timp va trai. Īn acest scop, persoana respectiva achita la fiecare sfārsit de luna cāte 27,45 euro, īn intervalul de vārsta de la 40 la 60 de ani. Cunoscāndu-se numerele de comutatie: D =12053; D N =181816; N =38569,8; atunci, pensia lunara de care va putea beneficia asiguratul, este:
a) ; b) 200 c) 120 d) 150 e) 110
Ans: a
SUBIECTUL NR. 12
. Īn categoria riscurilor investitionale, mai frecvent īntālnite sunt:
a) riscul de supraevaluare a investitiei;
b) riscul dobānzilor;
c) riscul de devalorizare a investitiei;
d) riscul de schimb valutar;
e) riscul de lichiditate al unei investitii.
Indicati raspunsul fals.
Ans: d
Prin asigurarile de raspundere civila pot fi acoperite numai prejudiciile produse de asigurat unor terte persoane cu īndeplinirea cumulativa a urmatoarelor conditii:
a) producerea de catre asigurat a unei fapte ilicite; trebuie sa se poate dovedi existenta unui prejudiu produs de asigurat tertei persoane accidentate; existenta unui raport de cauzalitate īntre fapta ilicita a asiguratului si prejudiciul adus tertei persoane; este necesar sa se poata constata culpa asiguratului care, infaptuind fapta ilicita, a produs accidentul;
b) savārsirea cu intentie de catre asigurat a unei fapte ilicite; existenta unei pagube produse de asigurat tertei persoane accidentate; existenta unui raport de cauzalitate īntre fapta ilicita si prejudiciu;
c) savārsirea de catre asigurat a unei fapte ce nu contravine normelor legale; existenta unui raport de cauzalitate īntre fapta asiguratului si paguba produsa unei alte persoane; asiguratul sa fi contribuit la producerea accidentului si a pagubei rezultate īn urma acestuia;
d) producerea de catre asigurat a unei fapte ilicite; existenta unui prejudiciu produs tertei persoane; existenta vinovatiei asiguratului īn ceea ce priveste producerea pagubei;
e) savārsirea cu intentie de catre asigurat a unei fapte ilicite; existenta unei legaturi īntre fapta si paguba; trebuie sa se poata dovedi culpa asiguratului īn producerea pagubei.
Indicati raspunsul corect.
Ans: a
Din Fondul de protectie a victimelor strazii se pot plati despagubiri numai īn urmatoarele conditii:
1. paguba afecteaza bunurile tertei persoane;
2. autorul accidentului a ramas neidentificat;
3. paguba a fost cauzata prin atingerea adusa persoanei;
4. autovehiculul care a produs accidentul este neasigurat;
5. paguba afecteaza bunurile persoanei si depaseste o anumita suma, stabilita prin lege.
Combinatia corecta este:
a) b) 1+3+4+5; c) 1+2+4; d) 2+3+4; e) 3+4+5.
Ans:d
Asigurarea maritima sau fluviala, īncheiata īn conditia « Pierdere totala si avarii » acopera:
1. pierderea totala a navei;
2. pierderile si avariile la nava;
3. cheltuielile de salvare;
4. contributia la cheltuielile de avarie comuna;
5. cheltuielile rezultate ca urmare a coliziunii navei asigurate cu un corp fix;
6. daunele rezultate din coliziunea navei asigurate cu o alta nava.
Combinatia corecta este:
a) b) 1+2+3+4; c) 2+4+6; d) 3+4+5+6; e) 1+2+3+5.
Ans: b
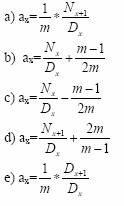
La un asigurat īn vārsta de x ani, pentru o renta trimestriala imediata, anticipata, limitata la n ani, prima neta unica unitara este de:
Indicati raspunsul corect.
Ans: c
Īntr-un contract de reasigurare, comisionul de baza este:
1. influentat de raportul dintre cererea si oferta pe piata reasigurarilor;
2. destinat acoperirii cheltuielilor de achiziŃie si de gestionare a asigurarilor cedate īn reasigurare, a impozitelor si a altor servicii;
3. datorat de reasigurator asiguratorului;
4. stabilit procentual la īncheierea perioadei de valabilitate a contractului de reasigurare;
5. datorat de asigurator reasiguratorului;
Combinatia corecta este:
a) 1+2+3; b) 2+4+5; c)1+3+5; d) 2+3+4; e) 1+3+4.
Ans: a
Suma medie asigurata se defineste ca fiind raportul dintre totalul sumelor asigurate si numarul total al contractelor de asigurare īncheiate. Acest indicator se foloseste numai:
a) pentru stabilirea rezultatelor la asigurarile financiare;
b) pentru evaluarea rezultatelor la asigurarile facultative de viata;
c) pentru a analiza rezultatele la asigurarile de bunuri;
d) pentru a analiza rezultatele la asigurarile tip dota;
e) pentru evaluarea rezultatelor la asigurarile obligatorii.
Indicati raspunsul corect.
Ans: b
Conform legii, inaccesibilitatea dreptului la pensie īnseamna ca:
a) dreptul la pensie poate fi cedat total unei persoane din familia pensionarului;
b) pensia nu poate sa faca obiectul unei donatii;
c) dreptul la pensie nu poate fi cedat;
d) dreptul la pensie poate fi cedat total doar īn favoarea unei institutii publice;
e) dreptul la pensie poate fi cedat partial (de exemplu: pensie de urmas).
Indicati raspunsul corect.
Ans: c
Un bun a fost asigurat la un asigurator pentru 20000 RON, iar la un alt asigurator pentru 30000 RON. Se produce riscul asigurat si se īnregistreaza pierderea totala a bunului. Paguba este evaluata la 40000 RON. Despagubirea se va suporta:
a) 40% din paguba va fi acoperita de primul asigurator, iar 60% din paguba de catre cel de-al doilea asigurator;
b) īn mod egal de catre cei doi asiguratori;
c) proportional cu paguba;
d) toate variantele de raspuns sunt false;
e) nu se poate raspunde, fiind necesare informatii suplimentare.
Indicati raspunsul corect.
Ans: a
O persoana īn vārsta de 25 de ani, īncheie o asigurare prin care sa primeasca īncepānd cu vārsta de 60 de ani o renta viagera lunara anticipata, daca va fi īn viata. Pentru aceasta ea contribuie pāna la vārsta de 60 de ani cu o suma lunara anticipata constanta de 40 de euro. Cunoscāndu-se numerele de comutatie: D =40572,603; D =9761,756; N =930318,475; N 125141,267; atunci, marimea rentei viagere este de:
a) b) 283,12 c) 296,43 d) 262,22 e)275,08
Ans: d
SUBIECTUL NR. 13
Īn cazul asigurarilor, asiguratul, respectiv contractantul asigurarii este:
1. cel care se obliga sa plateasca primele de asigurare;
2. parte contractanta īn contractul de asigurare;
3. titularul indemnizatiei de asigurare, daca survine cazul asigurat;
4. purtatorul asigurarii, īn sensul ca riscurile vizeaza patrimoniul sau persoana sa;
5. titularul interesului asigurat.
Combinatia corecta este:
a) b) 1+2+4+5; c) 2+3+5; d) 1+2+3; e) 4+5.
Ans: e
Īn ceea ce priveste fondul de asigurare se fac urmatoarele afirmatii:
1. fondul de asigurare se constituie īn expresie baneasca chiar si atunci cānd asiguratorul īsi onoreaza obligatiile asumate prin prestatii īn natura;
2. prin participarea la constituirea fondului de asigurare la dispozitia unei organizatii specializate, se formeaza o comunitate de risc;
3. fondul de asigurare se formeaza īn mod centralizat si se utilizeaza īn mod descentralizat;
4. constituirea si utilizarea fondului de asigurare se bazeaza pe principiul mutualitatii;
5. din fondul de asigurare se suporta pierderile determinate de folosirea normala a unor bunuri.
Combinatia corecta este:
a) 1+3+5; b) 2+3+4; c) 2+4+5; d) 3+4+5; e) 1+2+4.
Ans: e
Conform "principiului raspunderii limitate", despagubirea de asigurare:
a) se stabileste īn raport de paguba, daca suma asigurata reprezinta cel puŃin 2/3 din valoarea bunului asigurat;
b) este egala cu paguba, iar uneori īn cazuri speciale o poate depasi;
c) poate fi mai mare decāt paguba, daca suma asigurata depaseste cu cel putin 10% valoarea bunului;
d) se acorda numai daca paguba produsa de riscul asigurat depaseste o anumita limita dinainte stabilita, fara ca aceasta sa depaseasca suma asigurata;
e) este egala cu acea parte din valoarea bunului pentru care s-a īncheiat asigurarea.
Indicati raspunsul corect.
Ans: d
La asigurarile de animale, se acorda despagubiri īn cazul īn care:
1. animalele au fost sacrificate pentru necesitatile asiguratului;
2. animalele au pierit datorita unor accidente care au avut loc;
3. animalele au pierit din cauza unei furajari necorespunzatoare cantitativ sau calitativ;
4. animalele au pierit datorita contractarii unor boli infectioase;
5. pieirea animalelor s-a datorat operatiunilor militare īn timp de razboi.
Combinatia corecta este:
a) b) 2+4; c) 2+5; d) 3+4; e) 3+5.
Ans: b
Īn legatura cu asigurarile de raspundere civila, se poate afirma:
1. suma asigurata nu ramāne la acelasi nivel pe toata durata asigurarii;
2. īn calitate de beneficiari ai asigurarii pot aparea numai terte persoane necunoscute īn momentul īncheierii asigurarii;
3. de regula, prin aceste asigurari, sunt acoperite numai prejudiciile produse de asigurat unor terte persoane, care sunt urmarea unui accident;
4. eventuala vinovatie a asiguratilor īn producerea riscului duce de regula, la decaderea din drepturi a acestora;
5. obiectul acestor asigurari īl reprezinta prejudiciul produs unor terte persoane de catre asigurat.
Combinatia corecta este:
Ans: d
a) 1+2+3; b) 2+3+4; c ) 1+2+5; d)
2+3+5; e) 1+3+5.
La asigurarile de persoane suma asigurata se stabileste:
a) de catre agentii de asigurare;
b) pe baza cerificatelor medicale si a facturilor prezentate de asigurat;
c) pe baza de negociere libera;
d) īn mod forfetar, īn functie de nevoile si posibilitatile financiare ale asiguratului;
e) īn functie de tabelele oferite spre consultare viitorilor asigurati.
Indicati raspunsul corect.
Ans: d
Īn legatura cu navlul, se pot face urmatoarele afirmatii:
a) navlul este compus din costul transportului pe apa si din profitul net;
b) navlul reprezinta perioada de timp, exprimata īn zile om, īn care nava este pusa la dispozitia navlositorului īmpreuna cu echipajul acesteia;
c) navlul reprezinta suma de bani pe care armatorul o īncaseaza de la navlositor, īn schimbul transportarii marfurilor pe baza contractului de transport;
d) stabilirea navlului se face īn functie de timpul pentru care nava este pusa la dispozitia navlositorului, numarul voiajelor, greutatea marfii etc;
e) navlul reprezinta tariful pentru transportul maritim sau fluvial de marfuri.
Indicati raspunsul gresit.
Ans: b
Reasigurarea proportionala cunoaste urmatoarele variante:
1. reasigurarea oprire de dauna;
2. reasigurarea excedent de dauna;
3. reasigurarea cota-parte;
4. reasigurarea proportionala-mixta;
5. reasigurarea excedent de suma asigurata.
Combinatia corecta este:
a) 1+3+5; b) 2+4+5; c) 2+3+4; d) 3+4+5; e) 1+3+4.
Ans: d
O societate comerciala, contracteaza o asigurare a bunurilor din magazinul sau, pentru cazurile de furt prin efractie, pentru o perioada de un an. Asigurarea este īncheiata la data de 20 februarie a. c. pentru suma asigurata de 20000 euro. Cota de prima īn vigoare la data asigurarii este de 3% din suma asigurata. Sistemul de acoperire a pagubei aplicat, este cel al raspunderii proportionale. La data de 10 iunie a. c. are loc un furt īn urma caruia se constata o paguba de 2000 euro. Bunurile aflate īn magazin la data producerii evenimentului au fost evaluate la 25000 euro.
Prima de asigurare platita si despagubirea la care are dreptul asiguratul sunt de:
a) 750 euro 1600 euro
b) 600 euro nu se acorda despagubire
c) 750 euro nu se acorda despagubire
d) 600 euro 1600 euro
e) 600 euro 2000 euro
Indicati raspunsul corect.
Ans: d
O persoana īn vārsta de 35 de ani īncheie o asigurare prin care urmeaza ca de la īmplinirea vārstei de 60 de ani sa primeasca o renta viagera anuala anticipata de 1500 euro. Cunoscānd numerele de comutatie: D =15608 si N =42455,5 prima neta unica PN platita de asigurat (rotunjita la ordinul sutelor) este:
a) PN b) PN c) PN=4170,52; d) PN e) PN
Indicati raspunsul corect.
Ans: b
SUBIECTUL NR. 14
Una dintre urmatoarele trasaturi nu este specifica domeniului asigurarilor:
a) calitatea de intermediar financiar;
b) ramura prestatoare de servicii;
c) caracterul aleatoriu al fenomenelor generatoare de pagube;
d) fondurile de asigurare se formeaza īn mod centralizat si se utilizeaza īn mod descentralizat;
e) se bazeaza pe principiul mutualitatii.
Indicati raspunsul corect.
Ans: d
Privind coasigurarea se afirma:
1. īntre asigurat si fiecare asigurator exista raporturi de asigurare distincte;
2. asiguratul nu poate īncasa o despagubire mai mare decāt prejudiciul efectiv, ca o consecinta directa a riscului;
3. īntre asiguratori nu se practica solidaritatea conventionala;
4. obligatia platii indemnizatiei de asigurare nu se īmparte īntre doi sau mai multi asiguratori;
5. fiecare asigurator nu este obligat la plata proportional cu suma asigurata si pāna la concurenta acesteia.
Combinatia corecta este:
a) 1+2+3; b) 1+3+5; c) 2+4+5; d) 2+3+4; e) 3+4+5.
Ans: a
Partea din paguba care depaseste suma asigurata este suportata īn īntregime de asigurat īn cazul aplicarii:
a) principiului raspunderii limitate;
b) principiului primului risc;
c) principiului acoperirii proportionale;
d) oricarui principiu de raspundere a asiguratorului;
e) principiului acoperirii proportionale si al primului risc.
Indicati raspunsul corect.
Ans: d
La asigurarile de animale nu se acorda despagubiri īn cazurile īn care:
1. animalele au pierit ca urmare a electrocutarii;
2. animalele au pierit datorita unei furajari insuficiente;
3. animalele au fost sacrificate din motive de ordin gospodaresc;
4. animalele au pierit datorita atacului animalelor salbatice;
5. animalele au fost sacrificate datorita lipsei de productivitate.
Combinatia corecta este:
a) 1+2+3; b) 1+2+5; c) 1+4+5; d) 2+3+4; e) 2+3+5.
Ans: e
Īn legatura cu asigurarea navelor maritime si fluviale se fac urmatoarele afirmatii:
a) raspunderea asiguratorului pentru fiecare paguba la nava se limiteaza la suma asigurata;
b) asigurarea se poate īncheia de unitati economice romāne si straine precum si de catre persoane fizice;
c) pentru pagubele produse de nava asigurata altor nave, raspunderea asiguratorului se limiteaza la 3/4 din suma asigurata pe eveniment;
d) aceasta asigurare, numita si CASCO maritim, cuprinde navele comerciale, navele de pescuit, navele colectoare, precum si alte ambarcatiuni civile;
e) fransiza se aplica si īn cazurile de avarie comuna si de coliziune cu alte nave.
Indicati raspunsul fals.
Ans:e
La asigurarea de persoane, asiguratorul se obliga ca la producerea riscului asigurat sa plateasca:
a) o despagubire pentru urmasii asiguratului;
b) o suma asigurata;
c) o despagubire de asigurare;
d) o suma pentru sprijinirea asiguratului;
e) o suma pentru ajutorarea familiei asiguratului.
Indicati raspunsul corect.
Ans: b
Contractul de asigurare de bunuri se reziliaza automat īn cazurile īn care:
a) pagubele au fost produse din culpa asiguratului, contractantului sau beneficiarului asigurarii;
b) evenimentul s-a produs īnainte de a īncepe raspunderea asiguratorului, iar asigurarea a ramas fara obiect;
c) pagubele s-au datorat operatiunilor militare īn timp de razboi;
d) producerea evenimentului era posibila;
e) asiguratul a dat raspunsuri inexacte sau incomplete referitoare la schimbarea īmprejurarilor esentiale privind riscul.
Indicati raspunsul corect.
Ans: b
Īn cazul asigurarii de raspundere civila, terta persoana pagubita are statut de:
a) persoana cuprinsa īn asigurare;
b) contractant;
c) beneficiar al asigurarii;
d) asigurat;
e) contractant si stipulant al asigurarii.
Indicati raspunsul corect.
Ans: c
Pentru un anumit bun se īncheie de catre proprietarul acestuia trei contracte de asigurare cu trei societati de asigurari diferite A, B si C. Bunul este asigurat pentru urmatoarele sume:
- 5000 euro la asiguratorul A;
- 5000 euro la asiguratorul B;
- 10000 euro la asiguratorul C.
Pentru acoperirea pagubei, cele trei societati de asigurari, practica sistemul primului risc. Īn urma producerii riscului asigurat se īnregistreaza o paguba de 20000 euro. Despagubirile cuvenite asiguratului sunt:
Asiguratorul A Asiguratorul B Asiguratorul C
a. 1250 3200 5000
b. 5750 9200 11500
c. 5000 5000 10000
d. 1910 3100 5750
e. 1660 2660 3330
Indicati raspunsul corect.
Ans: c
Asigurarea mixta cu suma dubla īncheiata de o persoana īn vārsta de 30 de ani, prevede ca asiguratorul sa-i plateasca peste 15 ani, daca este īn viata, suma de 40000 euro sau sa plateasca urmasilor sai aceeasi suma, daca survine decesul sau īntre timp. Cunoscāndu-se numerele de comutatie: D =20130; M =3199; D =9274,3; M =2631; prima neta unica este:
a) PN b) PN c) PN d) PN e) PN
Ans: c
SUBIECTUL NR. 15
Indicatorul "gradul de cuprindere īn asigurare" se determina ca raport īntre:
a) suma asigurata si valoarea reala a bunului;
b) numarul bunurilor asigurate si numarul bunurilor care pot face obiectul asigurarii;
c) marimea primei īncasate si nivelul pagubei produse bunului asigurat;
d) totalul cheltuielilor efectuate de asigurator si totalul primelor de asigurare, precum si a altor venituri īncasate de asigurator;
e) despagubirea acordata si marimea pagubei produse.
Indicati raspunsul corect.
Ans: b
Proprietarul unui autovehicul īncheie o asigurare obligatorie de raspundere civila pentru pagube produse prin accidente de autovehicul. Detinatorul autovehiculului produce doua accidente: unul īn luna aprilie si celalalt īn luna septembrie, īn urma carora instanta de judecata stabileste plata unor despagubiri, īn sarcina asiguratului, pentru raspundere civila īn suma de 800 RON pentru accidentul produs īn luna aprilie, si īn suma de 3600 RON pentru cel din luna septembrie. La acoperirea despagubirilor pentru cele doua accidente produse de asigurat, contributia asiguratorului este:
a) 2800 RON; b) 4400 RON; c) 1800 RON; d) 3600 RON; e) 800 RON.
Indicati raspunsul corect.
Ans: d
Unul dintre urmatoarele riscuri nu este acoperit prin asigurarea facultativa de avarii a autovehiculelor:
a) cheltuielile cu transportul autovehiculului la atelierul de reparaŃii cel mai apropiat de locul accidentului, care poate efectua reparatia;
b) ciocniri, loviri sau izbiri cu alte vehicule;
c) caderea unor corpuri pe constructia īn care se afla autovehiculul;
d) riscurile generale;
e) defecte de fabricatie ale unor piese sau alte componente.
Indicati raspunsul corect.
Ans: e
La asigurarile de persoane, asiguratul poate sa īncheie:
a) o asigurare pentru fiecare tip de asigurare de persoane;
b) un numar nedeterminat de asigurari de acelasi fel, fara nici o restrictie;
c) doar o singura asigurare, īn limita maxima a valorii stabilite de agentul de asigurare;
d) un numar nedeterminat de asigurari, dar pāna la valoarea stabilita de agentul de asigurare;
e) maximum doua asigurari (una obligatorie si una facultativa).
Indicati raspunsul corect.
Ans: b
Īn rentele viagere anuale, imediate, posticipate, prima neta unica unitara, platita de asiguratul īn vārsta de x ani, notata ax si calculata cu ajutorul numerelor de comutatie, este:
Indicati raspunsul corect.
Ans: c
Nava maritima "Neptun" asigurata la o societate de asigurari din Romānia pentru suma de 1500000 euro, efectua un transport de marfuri care erau asigurate la o societate de asigurari din Grecia pentru suma de 700000 euro. Īn timpul transportului nava a esuat, fiind solicitat un remorcher strain pentru a efectua operatiunile de salvare. Serviciile prestate de acesta au costat 100000 euro. Īn urma avariilor suferite, nava a necesitat reparatii īn suma de 250000 euro, iar marfa a īnregistrat o dauna de 100000 euro. Suma totala acceptata īn avarie comuna este:
a) 100000 ; b) 200000 ; c) 250000 d) 350000 ; e) 450000
Indicati raspunsul corect.
Ans: a
Una dintre urmatoarele operatiuni nu este generata de cedarile īn reasigurare:
a) īncasari cu titlul de despagubiri primite de la reasiguratori, īn caz de sinistru;
b) plati cu titlul de prime nete de asigurare cuvenite reasiguratorilor nerezidenti;
c) plati cu titlu de dobānzi aferente rezervelor tehnice, constituite de societatile de asigurari cedente, cuvenite reasiguratorilor;
d) īncasari cu titlu de participari la beneficiile reasiguratorilor cānd decontul final al contractului de reasigurare indica un rezultat net favorabil pentru reasiguratori;
e) plati de comisioane īn favoarea partenerilor externi, pentru acoperirea cheltuielilor efectuate de acestia cu achizitionarea si gestionarea riscurilor ce fac obiectul reasigurarii.
Indicati raspunsul corect.
Ans: b
Conform legii, dreptul la pensie face parte din categoria drepturilor imprescriptibile.
Aceasta īnseamna ca:
a) orice persoana, care īndeplineste conditiile legale pentru a primi pensie, poate oricānd sa solicite īnscrierea la pensie;
b) o persoana poate primi o singura pensie integrala de asigurare sociala;
c) dreptul la pensie nu permite ca prin intermediul acestuia sa se īnfaptuiasca un act juridic de dispozitie (de exemplu, donatie).
d) dreptul la pensie nu poate fi cedat, total sau partial;
e) solicitantul pensiei este īndreptatit sa primeasca drepturile cuvenite cu titlul de pensie din trecut, daca solicita acest lucru Indicati raspunsul corect.
Ans: a
. Un bun evaluat la suma de 16800 RON este asigurat de proprietarul acestuia la doua societati de asigurari pentru urmatoarele sume:
- 5400 RON la asiguratorul A;
- 6200 RON la asiguratorul B;
Prin producerea riscului asigurat se īnregistreaza o paguba īn valoare de 4000 RON. Sa se determine despagubirile cuvenite asiguratului īn cazul aplicarii principiului primului risc.
Asiguratorul A Asiguratorul B
a. 7800 RON 6200 RON
b. 5400 RON 8600 RON
c. 4500 RON 5166 RON
d. 5400 RON 6200 RON
e. 6580 RON 7420 RON Indicati raspunsul corect.
Ans: d
Asigurarea mixta generala pe termen de 12 ani īncheiata de catre o persoana īn vārsta de 30 de ani, prevede ca īn cazul supravietuirii, asiguratul sa īncaseze la scadenta suma de 18000 euro, iar īn caz de deces, urmasii sai sa beneficieze de suma de 12000 euro. Utilizānd numerele de comutatie:
D =20138; N =355641; M =3199; D =10858; M =2741, prima neta unica PN aferenta asigurarii este:
a) PN=8915,27; b) PN c) PN=9978,15; d) PN e) PN
Indicati raspunsul corect.
Ans: c
SUBIECTUL NR. 16
Privind contractul de asigurare, una dintre afirmatiile urmatoare este adevarata:
a) contractul de asigurare este o simpla īntelegere īntre asigurat si asigurator cu privire la drepturile si obligatiile reciproce;
b) contractul de asigurare este un act juridic care consemneaza obligatia asiguratorului de a plati indemnizatia de asigurare si obligatia asiguratului de a plati prima de asigurare;
c) contractul de asigurare este un act juridic care prevede obligatia asiguratului de a plati prima de asigurare si obligatia asiguratorului de a achita indemnizatia de asigurare, la producerea riscului asigurat, fie asiguratului, fie beneficiarului asigurarii, īn limitele si īn termenele convenite;
d) contractul de asigurare este un act juridic care consemneaza obligatia asiguratului de a plati prima de asigurare;
e) contractul de asigurare este un element tehnic al asigurarilor facultative si al celor īn baza legii.
Indicati raspunsul corect.
Ans: c
Pentru a īncadra un eveniment īn riscul asigurat, trebuie īndeplinite anumite conditii, respectiv:
a) evenimentul sa aiba caracter īntāmplator;
b) riscul sa lipseasca īn momentul īncheierii contractului de asigurare, dar sa fie posibila producerea lui īn timpul derularii acestuia;
c) producerea evenimentului sa fie posibila;
d) anumite riscuri nu pot face obiectul unei asigurari din motive de ordine publica (de exemplu asigurarea dolului);
e) producerea fenomenului sa nu depinda de vointa asiguratului.
Indicati raspunsul incorect.
Ans:
La asigurarea obligatorie de raspundere civila, privind indemnizatia de asigurare se prevede:
1. asiguratorul acorda despagubiri pentru pagubele cauzate tertilor, inclusiv cheltuielile facute de asigurati īn procesul civil;
2. asiguratorul nu acorda despagubiri pentru amenzile de orice fel si cheltuielile legate de procesul penal;
3. legea prevede limite īn privinta despagubirilor la care are dreptul tertul pagubit;
4. tertul pagubit are dreptul numai la repararea pagubelor efective si daca este cazul, la repararea daunelor morale;
5. obligatia asiguratorului se limiteaza prin lege, numai īn cazurile pagubelor la bunuri.
Combinatia corecta este:
a) 1+4+5; b) 1+3+5; c) 1+2+5; d) 2+3+5; e) 1+2+3.
Ans: c
Īn cadrul asigurarilor de autovehicule nu se acorda despagubiri īn urmatoarele situatii:
1. paguba a fost produsa ca urmare a trepidatiilor autovehiculului īn timpul mersului;
2. paguba nu a fost provocata cu intentie de catre asigurat;
3. paguba a fost provocata de explozia rezervorului de carburanti;
4. autovehiculul nu avea certificat de īnmatriculare valabil;
5. paguba s-a produs īn timpul comiterii de catre asigurat a unei infractiuni contra sigurantei statului.
Combinatia corecta este:
a) 2+3+4; b) 1+4+5; c) 1+2+4; d) 3+4+5; e) 2+4+5.
Ans: b
Pentru ca o paguba sau o cheltuiala sa fie acceptata ca avarie comuna, trebuie sa īndeplineasca conditiile:
1. sa aiba ca scop salvarea de la o primejdie comuna a navei, a īncarcaturii acesteia precum si a navlului;
2. sa fie rezultatul unor factori independenti de vointa comandantului navei;
3. actiunea sa aiba loc īntr-o situatie exceptionala;
4. sacrificarea voluntara a unei parti din averea aflata īn pericol nu trebuie sa fie neaparat necesara;
5. sa fie rezultatul unei actiuni īntreprinse cu intentie de catre comandant iar masura sa fie rationala.
Combinatia corecta este:
a) 2+3+4; b) 1+3+5; c) 2+4+5; d) 2+3+5; e) 1+3+4.
Ans: b
Privind rezerva de prime se fac urmatoarele afirmatii:
1. rezerva de prime se constituie īn cazul asigurarilor de raspundere civila;
2. constituirea rezervei de prime este legata de aplicarea principiului invariabilitatii primei de asigurare;
3. rezerva de prime se constituie īn legatura cu asigurarile de viata;
4. rezerva de prime nu se constituie īn cazul asigurarilor de accidente;
5. rezerva de prime confera asiguratului dreptul de a obtine un īmprumut cu dobānda, dupa ce a platit o perioada primele de asigurare.
Combinatia corecta este:
a) 1+2+3; b) 1+2+4; c) 2+3+4; d) 2+3+5; e) 2+4+5.
Ans: d
Reasigurarea proportionala cunoaste urmatoarele variante:
a) reasigurarea excedent de suma asigurata; reasigurarea excedent de dauna; reasigurarea mixta; reasigurarea cota-parte; reasigurarea pe baza de pool;
b) reasigurarea oprire de dauna; reasigurarea cota si excedent; reasigurarea excedent de suma asigurata; reasigurarea cota-parte;
c) reasigurarea cota-parte; reasigurarea oprire de dauna; reasigurarea excedent de suma asigurata; reasigurarea mixta;
d) reasigurarea cota-parte; reasigurarea excedent de suma asigurata; reasigurarea mixta, cota si excedent; reasigurarea pe baza de pool de reasigurare;
e) reasigurarea cota-parte; reasigurarea excedent de suma asigurata; reasigurarea excedent de dauna; reasigurarea cota si excedent; reasigurarea pe baza de pool de reasigurare.
Indicati raspunsul corect.
Ans: d
Cu privire la Bugetul Asigurarilor Sociale de Stat al unei tari, se dau urmatoarele date:
- contributii la asigurarile sociale de stat: 20000 u.m.;
- contributia personalului salariat pentru bilete de odihna si tratament balnear: 5000 u.m.;
- lichidarea debitelor din anii anteriori: 2000 u.m.;
- amenzi īncasate: 1000 u.m.;
- pensii: 19000 u.m.;
- indemnizatii : 5000 u.m.;
- ajutoare sociale: 5000 u.m.;
- unele cheltuieli cu ocrotirea sanatatii suportate din buget: 5000 u.m..
Sa se determine soldul pozitiv sau negativ al bugetului, precizāndu-se dupa caz, cum poate fi acoperit deficitul sau repartizat excedentul:
a) + 5000 u.m.; ajutoare externe acordate tarilor slab dezvoltate;
b) 6000 u.m.; emisiune suplimentara de moneda;
c) 5000 u.m.; bugetul de stat;
d) + 6000 u.m.; fondurile de rezerva ale statului;
e) 6000 u.m.; bugetul de stat.
Indicati raspunsul corect.
Ans: e
Un bun a carui valoare de asigurare este de 10000 euro a fost asigurat pentru suma de 8000 euro. Asiguratorul aplica principiul primului risc. Īn urma producerii riscului asigurat, s-a constatat pierderea totala a bunului. Asiguratul are dreptul la o despagubire de:
a) 2000 euro; b) 6400 euro; c) 8000 euro; d) 10000 euro; e) nu se poate calcula, fiind necesare
si alte informatii.
Indicati raspunsul corect.
Ans: c
Īn schimbul sumei de 2000 euro depuse īn momentul asigurarii, o persoana īn vārsta de 50 de ani, urmeaza sa primeasca la sfārsitul fiecarui an, o anumita suma, pāna la īmplinirea vārstei de 70 de ani. Fiind cunoscute numerele de comutatie: D =7070,2; N =90603,3; N =11998,4; atunci, suma pe care urmeaza sa o primeasca asiguratul, la sfārsitul fiecarui an, pāna la īmplinirea vārstei de 70 de ani, este de:
a) b) 179,89 ; c) 198,08 d) 167, 50 e) 195,32
Ans: b
SUBIECTUL NR. 17
Dimensiunea juridica a contractului de asigurare se bazeaza pe elemente cum sunt:
1. faptul ca un asigurator organizeaza pe principiul mutualitaŃii un numar mare de asigurati;
2. obligatia asiguratului de a plati o prima asiguratorului;
3. indemnizarea celor care sufera un sinistru se face pe seama unui fond comun constituit din primele īncasate;
4. obligatia asumata de asigurator de a plati indemnizatii la producerea riscului asigurat;
5. indemnizarea asiguratului sau a unei persoane desemnate de acesta nu este īnsoŃita de obligatia asiguratului de a plati o prima asiguratorului.
CombinaŃia corecta este:
a) b) 1+2; c) 2+4; d) 2+5; e) 3+4.
Ans: c
Neīndeplinirea obligatiei de īnstiintare a asiguratorului despre producerea evenimentului asigurat īn termenul prevazut īn contractul de asigurare:
a) conduce la decaderea din drepturi a asiguratului;
b) acorda asiguratorului dreptul de a refuza plata indemnizatiei, daca din acest motiv nu a putut determina cauza producerii evenimentului asigurat si īntinderea pagubei;
c) permite asiguratorului sa diminueze indemnizatia de despagubire;
d) acorda asiguratorului īn toate situatiile, dreptul de a refuza plata indemnizatiei;
e) conduce la rezilierea contractului de asigurare.
Indicati raspunsul corect.
Ans: b
La asigurarile de bunuri, suma asigurata trebuie sa fie:
a) egala cu valoarea reala a bunului asigurat;
b) mai mare decāt valoarea reala, fara sa depaseasca valoarea de īnlocuire a bunului asigurat;
c) mai mica sau egala cu valoarea reala a bunului asigurat;
d) cel putin egala cu valoarea reala a bunului asigurat;
e) mai mica decāt valoarea reala a bunului asigurat.
Indicati raspunsul corect.
Ans: c
Un bun care este īn proprietatea unei persoane "X" se afla depozitat, īn baza unui contract legal, īntr-un spatiu apartinānd altei persoane. Depozitarul:
a) poate īncheia un contract de asigurare avānd ca obiect bunul respectiv īn limita interesului propriu;
b) nu poate īncheia un contract de asigurare avānd ca obiect bunul respectiv;
c) poate īncheia un contract de asigurare avānd ca obiect bunul respectiv, doar daca proprietarul nu a facut acest lucru.
d) poate īncheia un contract de asigurare avānd ca obiect bunul cu conditia ca suma asigurata sa corespunda valorii reale a bunului;
e) poate īncheia un contract de asigurare avānd ca obiect bunul cu conditia sa aiba acordul proprietarului acestuia.
Indicati raspunsul corect.
Ans: a
Īn asigurarea de supravieŃuire pe termen lung, prima neta unica unitara notata nEx si datorata de catre asiguratul īn vārsta de x ani, pentru o poliŃa īncheiata pe o durata de n ani este:
Indicati raspunsul corect.
Ans: d
Obiectul asigurarii de raspundere civila īl reprezinta:
a) valorile patrimoniale expuse pericolului;
b) anumite bunuri - autovehicule - pentru caz de pierdere, furt sau alte evenimente;
c) posibilitatea de a evita plata despagubirilor civile datorate tertilor, ca urmare a raspunderii civile;
d) valoarea patrimoniala egala cu despagubirile ce ar trebui platite de asigurat, ca urmare a unui prejudiciu cauzat unei terte persoane pentru care raspunde, potrivit legii civile;
e) un anumit atribut al persoanei fizice (viata, integritatea corporala, etc).
Indicati raspunsul corect.
Ans: d
La asigurarile de bunuri īn timpul transportului maritim, asigurarea īncheiata īn Conditia « C », acopera riscul cauzat de:
a) esuarea, scufundarea, rasturnarea navei sau ambarcatiunii;
b) cutremurul de pamānd, eruptia vulcanica sau trasnetul;
c) dauna totala a unui colet pierdut peste bord īn timpul īncarcarii sau descarcarii pe si de pe nava;
d) luarea de valuri;
e) intrarea apei din mare īn cala, container sau loc de depozitare.
Indicati raspunsul corect.
Ans: a
De regula, un contract de reasigurare cuprinde:
a) denumirea partilor si obiectul reasigurarii; drepturile si obligatiile reasiguratului; raspunderea asumata de reasigurator; primele de reasigurare care se cuvin reasiguratorului;
b) obiectul reasigurarii; raspunderea asumata de reasigurator; raspunderea ce revine asiguratului; conditiile īn care se face reasigurarea (costul reasigurarii); modul de decontare a primelor si respectiv al daunelor; durata contractului; clauze "ad-hoc" privind raporturile dintre parti;
c) raspunderea retinuta de reasigurat; conditiile īn care se face reasigurarea; costul reasigurarii; modul de decontare a primelor si a daunelor; raspunderea reasiguratorului;
d) mobilul reasigurarii si partile care intervin īn reasigurare, drepturile si obligatiile reasiguratorului si ale reasiguratului; clauze "ad-hoc" privind raporturile reciproce (de exemplu: preavizarea pentru iesirea din obligatii etc);
e) denumirea partilor; raspunderea asumata de cele doua parti; primele de reasigurare; volumul despagubirilor care urmeaza a fi platite.
Indicati raspunsul corect.
Ans: b
Un bun a carui valoare reala este de 32400 euro se asigura de catre proprietarul acestuia la trei societati de asigurari pentru urmatoarele sume: 7800 euro la asiguratorul X; 4300 euro la asiguratorul Y; 9400 euro la asiguratorul Z. Cele trei societati de asigurari aplica o fransiza deductibila de 3% la suma asigurata. Prin producerea riscului asigurat se īnregistreaza o paguba īn valoare de 23000 euro. Sa se determine despagubirile ce se cuvin asiguratului, platite de catre asiguratorii X, Y si Z īn conformitate cu aplicarea principiului primului risc.
Varianta corecta este:
a. 4935,18 euro; 2720,67 euro; 5947,53 euro;
b. 7437,40 euro; 4100,0 euro; 8962,60 euro;
c. 4779,90 euro; 2635,07 euro; 5760,40 euro;
d. 7800,00 euro; 4300,00 euro; 9400,00 euro;
e. 7566,20 euro; 4171 euro; 9117,80 euro.
Ans: d
O persoana īn vārsta de 35 de ani īncheie o asigurare prin care urmeaza sa primeasca īncepānd cu vārsta de 50 de ani si pāna la vārsta de 75 de ani, la īnceputul fiecarui an, o renta viagera de 4000 euro. Cunoscānd numerele de comutaŃie: D =15608; N =264458; D =7070,2; N =97673,5; D =1030,7; N =6481,8 prima neta unica este:
a. PN ; b. PN c. PN d. PN e. PN
Indicati raspunsul corect.
Ans: d
SUBIECTUL NR. 18
Īn cazul asigurarilor facultative, raporturile dintre asigurat si asigurator, precum si drepturile si obligatiile fiecarei parti sunt stabilite:
a) prin īntelegere verbala dintre cele doua parti;
b) prin lege;
c) prin Hotarāre de Guvern;
d) prin contractul de asigurare;
e) prin Norme emise de catre Comisia de Supraveghere a Asigurarilor.
Indicati raspunsul corect.
Ans: d
Īn practica asigurarilor din cadrul Uniunii Europene, prin expresia statul membru īn care exista riscul, se īntelege:
a) statul membru, īn care contractantul asigurarii a semnat contractul pe perioade mici de timp;
b) statul membru, īn care se afla bunurile, daca asigurarea are ca obiect bunurile imobiliare si continutul lor;
c) statul membru, īn care contractantul asigurarii īsi are resedinta obisnuita;
d) statul membru, īn care s-a facut īnmatricularea, īn cazul vehiculelor de orice natura;
e) statul membru, a carui moneda euro, este moneda contractului de asigurare.
Indicati raspunsul fals.
Ans: e
Marimea despagubirii va fi diferita, daca se aplica principiul acoperirii proportionale sau al primului risc, atunci cānd:
1. suma asigurata este mai mica decāt valoarea reala a bunului, īn momentul producerii evenimentului;
2. suma asigurata este egala cu valoarea bunului, īn momentul producerii evenimentului;
3. paguba este totala;
4. paguba este partiala;
5. paguba este egala cu suma asigurata.
CombinaŃia corecta este:
a) 1+3; b) 2+4; c) 1+4; d) 2+3; e) toate raspunsurile sunt incorecte.
Ans: c
Pentru renta viagera anuala posticipata, amānata n ani, prima neta unica unitara platita de asiguratul īn vārsta de x ani, notata cu nax si calculata cu ajutorul numerelor de comutatie, este:
Indicati raspunsul corect.
Ans: b
Asiguratul intra īn posesia sumei asigurate numai īn cazul īn care este īn viata la expirarea contractului. Aceasta conditie este valabila doar īn cazul unei asigurari:
a) de viata legate de investitii;
b) de supravietuire;
c) de accidente;
d) de deces;
e) mixte de viata.
Indicati raspunsul corect.
Ans: b
Asigurarile de accidente vizeaza:
a) protejarea asiguratului īmpotriva riscului de deces;
b) acordarea unor sume de bani sub forma de renta asiguratului, īn caz de producere a unui accident īn timpul exercitarii profesiei sale;
c) constituirea treptata a unui capital de care se poate dispune īn cazul producerii unui accident;
d) constituirea unui capital care se acorda urmasilor asiguratului īn caz de supravietuire a asiguratului la un termen dinainte stabilit sau īn cazul decesului asiguratului ca urmare a unui accident;
e) protejarea economica a persoanelor fizice de consecintele nefaste ale unor evenimente neprevazute care le afecteaza viata, integritatea corporala ori capacitatea de munca.
Indicati raspunsul corect.
Ans: e
a) gradului de acoperire prin asigurare;
b) costului relativ al activitaŃii de asigurare;
c) ratei venitului net;
d) ratei daunei;
e) gradului de cuprindere īn asigurare.
Indicati raspunsul corect.
Ans: c
Reasigurarea oprire de dauna se poate defini astfel:
a) reasiguratul retine īn sarcina sa o cota procentuala din suma asigurata;
b) reasiguratul se obliga sa acopere din daunele produse īn cursul anului o suma echivalenta cu un anumit procent din volumul primelor īncasate, iar reasiguratorii sa suporte tot ceea ce depaseste acest nivel;
c) reasiguratul retine īn sarcina sa daunele ce nu depasesc nivelul prioritatii stabilite īn contract;
d) raspunderea reasiguratului este limitata pentru fiecare dauna la un anumit plafon (prioritate), iar raspunderea reasiguratorilor vizeaza partea de dauna ce depaseste prioritatea;
e) raspunderea reasiguratului se stabileste anticipat, sub forma unei sume fixe din suma asigurata.
Indicati raspunsul corect.
Ans: b
Pentru un bun īn valoare de 70000 euro se īncheie de catre proprietarul acestuia doua contracte de asigurare cu doua societati de asigurari diferite A si B. Bunul este asigurat pentru urmatoarele sume:
- 12500 euro la asiguratorul A;
- 17500 euro la asiguratorul B.
Ca urmare a producerii riscului asigurat se īnregistreaza o paguba de 30000 euro. Cele doua societati de asigurari aplica pentru acoperirea pagubei principiul primului risc. Despagubirile cuvenite asiguratului sunt:
Asiguratorul A Asiguratorul B
a) 6430 8570
b) 17500 13330
c) 10000 20000
d) 13215 14285
e) 12500 17500
Indicati raspunsul corect.
Ans: e
O persoana īn vārsta de 38 de ani, īncheie o asigurare de deces prin care urmasii sai vor primi la decesul sau suma de 40000 euro, īnsa cu conditia ca decesul sa survina peste cel putin 12 ani. Cunoscānd numerele de comutatie:
D =13374; D =7070,2; M =2896; M =2416; prima neta unica este:
a. PN b. PN c. PN d. PN e. PN
Ans: e
SUBIECTUL NR. 19
Īn asigurari, caracterul consensual īnseamna:
a) valabilitatea contractului īncepe din momentul īn care partile si-au exprimat acordul
de vointa cu privire la continut;
b) partile contractante īsi asuma obligatii reciproce si interdependente;
c) partile cunosc cu exactitate ce avantaje patrimoniale vor rezulta pentru ele din contract, īnca de la īncheierea acestuia;
d) valabilitatea contractului de asigurare se īntinde pe o perioada de timp, facānd posibila esalonarea platii primelor;
e) obligativitatea īncheierii īn scris a contractului si cuprinderea anumitor elemente prevazute de lege.
Indicati raspunsul corect.
Ans: a
Īn categoria riscurilor valutare sau economice sunt incluse:
1. riscul de schimb valutar;
2. riscul fluctuatiei ratei dobānzii;
3. riscul cresterii costurilor de fabricatie;
4. riscul de neplata din partea cumparatorului;
5. riscul de netransfer al valutei catre furnizor (creditor);
Varianta corecta este:
a) 1+3+5; b) 2+3+5; c) 1+2+3; d) 1+3+4; e) 1+4+5.
Ans: c
Prin: "indemnizatie de asigurare" se īntelege:
a) suma asigurata pe unitatea de obiect asigurat;
b) prejudiciul suferit de asigurat īn urma producerii cazului asigurat;
c) suma de bani care o plateste asiguratul asiguratorului pentru asigurarea riscului;
d) dauna efectiva, evaluabila īn bani, pe care asiguratul o poate suferi īn caz de pierdere sau degradare a bunului asigurat;
e) suma de bani pe care asiguratorul o achita asiguratului, atunci cānd survine cazul asigurat.
Indicati raspunsul corect.
Ans: e
Obiectul asigurarii de raspundere civila īl reprezinta:
a) paguba produsa de o terta persoana asiguratului;
b) paguba produsa de asigurat unei terte persoane;
c) valoarea patrimoniala a asiguratului ce a cauzat o paguba unei terte persoane;
d) valoarea patrimoniala egala cu despagubirile ce ar trebui platite de asigurat tertei persoane pagubite;
e) paguba produsa asiguratorului de catre o terta persoana.
Indicati raspunsul corect.
Ans: d
Practicarea sistemului acoperirii proportionale este aplicabila:
a) numai atunci cānd obiectul asigurarii este nedeterminat si nedeterminabil, pāna īn momentul realizarii riscului;
b) numai īn caz de pierdere totala a bunului;
c) la asigurarile obligatorii de bunuri;
d) la asigurarile facultative de bunuri si prezinta importanŃa mai ales numai īn caz de pierdere partiala a bunului asigurat;
e) la asigurarile generale.
Indicati raspunsul corect.
Ans: d
Asiguratul intra īn posesia sumei asigurate numai īn cazul īn care este īn viata la expirarea contractului de asigurare. Aceasta condiŃie este valabila īn cazul asigurarii:
a) de deces;
b) de supravietuire;
c) de accidente;
d) de raspundere civila;
e) de raspundere civila auto.
Indicati raspunsul corect.
Ans: b
Pentru asigurarea mixta cu suma dubla pe n ani, prima neta unica unitara platita de asiguratul īn vārsta de x ani, notata nAMDx si calculata cu ajutorul numerelor de comutatie, este:

Indicati raspunsul corect.
Ans: b
Īn cazul reasigurarilor neproportionale, repartizarea primelor īntre reasigurat si reasiguratori se realizeaza utilizānd metoda "costului arderii": conform formulei:

unde:
P= volumul total al primelor īncasate de reasigurat īn ultimii cinci ani, īn ramura respectiva;
D= volumul daunelor īnregistrate de reasigurat, īn ultimii cinci ani, īn ramura respectiva.
Indicati raspunsul corect.
Ans: e
Detinatorul unui remorcher, īncheie o asigurare de raspundere civila, pentru pagube produse īn caz de accident, cu doua societati de asigurari A si B. Īn urma producerii unui accident se stabileste de catre instanta de judecata, ca detinatorul remorcherului, sa plateasca despagubiri īn valoare de 10000 euro. Contributia asiguratorilor pentru acoperirea despagubirilor, este de:
Asiguratorul A Asiguratorul B
a) 2000 euro 8000 euro
b) 10000euro -
c) 5000 euro 5000 euro
d) 4000euro 6000 euro
e) 3000 euro 7000 euro
Indicati raspunsul corect.
Ans:c
O persoana īn vārsta de 45 de ani īncheie o asigurare de deces pe o durata de 5 ani prin care urmasii sai sa primeasca īn cazul decesului sau suma de 16000 euro. Cunoscānd numerele de comutatie: D =9274,3; M =2631; D =7070,2; M =2416. prima neta unica PN platita de asigurat este:
a. PN ; b. PN c. PN d. PN e.PN
Indicati raspunsul corect.
Ans: e
SUBIECTUL NR. 20
Caracteristicile exclusive ale asigurarii sunt:
a) existenta riscului, organizarea unui numar mare de asigurati dupa principiul mutualitatii si fondul comun constituit din primele īncasate;
b) existenta riscului, comunitatea de risc si principiul echivalentei īn utilizarea fondului de asigurare;
c) existenta riscului, comunitatea de risc si principiul mutualitatii īn utilizarea fondului de asigurare;
d) existenta riscului, comunitatea de risc si organizarea unui mare numar de asigurati dupa principiul mutualitatii;
e) existenta riscului, principiul echivalentei si organizarea mutualitatii riscurilor, dupa reguli matematice riguroase.
Indicati raspunsul corect.
Ans: a
. Privind asigurarile, riscul este un element obligatoriu, esential, deoarece:
1. fara acest element nu poate exista un raport de asigurare valabil;
2. producerea lui se realizeaza prin fapta intenŃionata a contractantului asigurarii;
3. producerea lui nu lasa loc hazardului;
4. este un eveniment viitor, posibil, dar incert, la care sunt supuse bunurile, patrimoniul, viata sau sanatatea unei persoane;
5. producerea lui nu se realizeaza prin fapta intentionata a asiguratului.
Combinatia corecta este:
a) 1+3+4; b) 1+4+5; c) 2+3+4; d) 2+4+5; e) 3+4+5.
Ans: b
Caracterul aleatoriu al daunelor presupune:
a) volumul daunelor nu se poate cunoaste, dar se poate aproxima prin calcule bazate pe teoria probabilitatilor;
b) daunele sunt acoperite la īntāmplare;
c) volumul daunelor se poate cunoaste cu exactitate;
d) volumul daunelor poate fi previzionat numai pe baza unor modele bine definite;
e) volumul daunelor nu poate fi cunoscut sau previzionat sub nici o forma.
Indicati raspunsul corect.
Ans: a
Pentru renta anuala imediata, posticipata, limitata la n ani, prima neta unica unitara platita de asiguratul īn vārsta de x ani, notata cu nax si calculata cu ajutorul numerelor de comutatie, este:

Indicati raspunsul corect.
Ans: c
Cu privire la activitatea de reasigurare, daca se fac urmatoarele afirmatii:
1. acest sistem de reasigurare este preferat de reasigurator deoarece nu permite o selectie a riscurilor de catre reasigurat;
2. acest tip de reasigurare se aplica de obicei la asigurarile īn care suma asigurata poate fi determinata cu precizie, iar retinerea proprie a reasiguratului poate fi diferentiata īn functie de frecventa si natura riscului asigurat;
3. īn acest tip de reasigurare, reasiguratul recupereaza o buna parte din primele cedate sub forma de comision, despagubiri, contributii la rezervele tehnice;
4. acest tip de reasigurare reduce raspunderile asumate de asigurator pāna la nivelul capacitatii sale financiare;
5. acest tip de asigurare se foloseste la contractele la care raspunderea maxima a tuturor reasiguratorilor se exprima īntr-un multiplu de plin;
6. acest tip de reasigurare asigura cel mai bine omogenizarea raspunderii asumate de reasigurat. Care dintre afirmaŃiile de mai sus corespund urmatoarelor tipuri de contracte de reasigurare ?
a) reasigurarea cota parte (1+2+4) si reasigurarea excedent suma asigurata (3+5+6);
b) reasigurarea cota parte (1+3+4) si reasigurarea excedent suma asigurata (2+5+6);
c) reasigurarea cota parte (2+3+4) si reasigurarea excedent suma asigurata (1+5+6);
d) reasigurarea cota parte (2+5+6) si reasigurarea excedent suma asigurata (1+3+4);
e) reasigurarea cota parte (1+2+3) si reasigurarea excedent suma asigurata (4+5+6).
Indicati raspunsul corect.
Ans: b
Nivelul echilibrului financiar si valutar al societatii de asigurari se stabileste:
a) de catre Consiliul de Administratie al societatii de asigurari;
b) la sfārsitul anului, atunci cānd se compara indicatorii de eficienta ai activitatii de asigurare;
c) īn urma controalelor efectuate de catre Comisia de Supraveghere a Asigurarilor;
d) īn functie de volumul veniturilor ce vor putea fi realizate īn anul respectiv si tinānduse cont de volumul cheltuielilor cu plata despagubirilor si a sumelor asigurate, precum si a cheltuielilor de constituire si administrare a fondului de asigurare;
e) dupa analiza bugetului de venituri si cheltuieli din anul precedent.
Indicati raspunsul corect.
Ans: d
Indicatorul "suma medie asigurata" se utilizeaza la:
a) aprecierea rezultatelor la asigurarile de bunuri;
b) aprecierea rezultatelor la asigurarile obligatorii;
c) aprecierea rezultatelor la asigurarile financiare;
d) aprecierea rezultatelor la asigurarile dotale;
e) aprecierea eficientei asigurarilor.
Indicati raspunsul corect.
Ans: e
Un bun a carui valoare de asigurare este de 8000 euro a fost asigurat pentru suma de 6000 euro. Ca urmare a producerii riscului, se īnregistreaza pierderea parŃiala a bunului, īn urma careia se estimeaza o paguba de 4000 euro. Asiguratorul practica sistemul acoperirii proportionale.
Asiguratul are dreptul la o despagubire de:
a) 4000 euro;
b) 3000 euro;
c) 2000 euro;
d) nu se poate calcula, fiind necesare si alte informatii;
e) 5000 euro.
Indicati raspunsul corect.
Ans: b
Un bun a carui valoare reala este de 30000 euro se asigura la o societate de asigurari A pentru suma de 5000 euro, iar la o alta societate de asigurari B, pentru suma de 10000 euro. Se produce o paguba de 15000 euro. Despagubirea va fi suportata astfel:
a) 5000 euro asiguratorul A si 5000 euro asiguratorul B;
b) proportional cu suma asigurata;
c) 2500 euro primul asigurator si 5000 euro al II lea asigurator;
d) 1/3 din paguba primul asigurator si 2/3 al II-lea asigurator;
e) 1/2 din paguba primul asigurator iar cealalta jumatate din paguba al doilea asigurator.
Indicati raspunsul corect.
Ans: c
O persoana īn vārsta de 28 de ani contracteaza o asigurare īn valoare de 30000 euro pe care sa o īncaseze la īmplinirea vārstei de 60 de ani daca va fi īn viaŃa. Se dau urmatorele numere de comutatie: D =22287; D =3885,7; N =399114; N
Prima neta aferenta este de:
a) PB=6213,09 euro; b) PB=5230,44 euro; c) PB=5816,32 euro; d) PB=5699,41 euro; e)
PB=5702,35 euro.
Indicati raspunsul corect.
Ans: b
|