αναφερ 656b11g 952;ούμε σε δύο paper Hui Zang Jason P Jue Biswanath Mukherjee Rajiv Ramaswami Kumar N Sivarajan
Wavelength Division Multiplexing WDM
Wavelength Division Multiplexing WDM Σε ένα καθοδηγημένο wdm δίκτυο, οι χρήστες επικοινωνούν ο ένας με τον άλλο μέσω οπτικών wdm καναλιών,τα οποια αναφέρονται ως lightpaths. Ένα lightpath είναι
Πιο συγκεκριμένα ένα lightpath είναι ένα οπτικό κανάλι μεταξύ δυο κόμβων. Τα περιεχόμενά του δεν μετατρέπονται σε ηλεκτρικό σήμα σε ενδιάμεσους κόμβους αλλα παραμένουν και δρομολογούνται με τη μορφή του φωτός. Δύο lightpaths

lightpath
ligthpaths RWA
Static Lightpath Establishment SLE
Για επαυξητικό αριθμό συνδέσεων αιτήσεις για σύνδεση φτάνουν ακολουθιακά και εγκαθιδρύεται ένα lightpath για κάθε σύνδεση η οποία είναι και μόνιμη.
lightpath
lightpaths lightpath Dynamic Lightpath Establishment DLE
RWA
fixed routing, fixed-alternate routing,adaptive routing LP,Fault tolerant routing.
fixed routing
Είναι η πιο απλή επιλογή που μπορούμε να κάνουμε καθώς η κάθε διαδρομή είναι προκαθορισμένη. Μας συμφέρει να διαλέγουμε κάθε φορά την ελάχιστη (αλγόριθμοι Dijkstra Bellman Ford
θα οδηγηθούμε σε συγκρούσεις ενώ στη περίπτωση του στατικού αριθμού συνδέσεων θα οδηγηθούμε σε μεγάλο αριθμό μηκών κύματος ο οποίος δεν είναι εύκολα διαθέσιμος.
δεν θα μπορούμε να το αντιμετοπίσουμε.
Fixed-alternate routing.
Εδώ κάθε κόμβος έχει έναν πίνακα δρομολόγησης ο οποίος έχει μια ταξινιμημένη λίστα με τις διαδρομές για κάθε πιθανό κόμβο προορισμού.
alternate route
Adaptive routing
Εδώ η διαδρομή μεταξύ δύο κόμβων γίνεται δυναμικά και σχετίζεται με τη κατάσταση όλων των συνδέσεων τη συγκεκριμένη στιγμή. Για παράδειγμα θεωρούμε σε ένα δίκτυο ένα αχρησιμοποίητο σύνδεσμο να έχει κόστος 1, ένα κατηλημένο κόστος άπειρο και οποιοδήποτε μετατροπέα μήκους κύματος c adaptive routing
ILP Formulation for static lightpath establishment
Λύση μπορούμε να δώσουμε με τον ILP P complete ligthpaths
Fault tolerant routing
Σε αυτό το μοντέλο κάθε κόμβοι έχουν δύο πιθανές διαδρομές μεταξύ τους. Η μια είναι η κύρια και χρησιμοποιείται για να στέλνει δεδομένα και η άλλη είναι εφεδρική(backup κόμβους. Στη περίπτωση του fixed alteranate μοντέλου μπορούμε να χρησιμοποιήσουμε τις εναλλακτικές διαδρομές ως εφερ 656b11g 953;κές.
adaptive routing
lightpath lightpaths lightpath Static Wavelength Assignment Graph coloring Random Wavelenght assignment First Fit Least used Most used Min Product Least loaded Max Sum Relative Capacity loss Wavelength reservation Protecting Threshold
Random Wavelenght assignment R)
First Fit FF
Least used
Most used
Min Product
multi fiber single fiber First Fit
Least loaded
multi fiber χωρητικότητα. Για single fiber χωρητικότητα είναι 1 ή 0 και η μέθοδος είναι ίδια με την First Fit
Max Sum
multi fiber single fiber όλες τις πιθανές διαδρομές(ligthpaths o lightpaths
Relative Capacity loss
max sum capacity loss lightpaths relative capacity loss relative capacity loss lightpaths max sum
Wavelength reservation
lightpaths

Wavelength Router W W x swithes μπορεί να υποστιρίξει διαφορετικά μήκη κύματος. Δε γίνεται μετατροπή απο φως σε ηλεκτρικό σήμα και έτσι δεν χρειάζεται να γίνει αποθήκευση. Υπάρχει περίπτωση ένα σήμα εισόδου να θέλει να συνδεθεί άμμεσα με ένα κόμβο ο οποίος είναι συνδεδεμένος με τον δρομολογητή. Σε αυτή τη περίπτωση το φως μετατρέπεται σε ηλεκτρικό σήμα και μεταφέρεται στο υψηλότερο επίπεδο. Επίσης ένα μήκος κύματος μπορεί να χρειάζεται να μετατραπεί σε ένα άλλο μήκος κύματος οπότε θα μετατραπεί σε ηλεκτρικό σήμα και θα γίνει πάλι φως με την επιθυμητή συχνότητα.

“A REVIEW OF ROUTING AND WAVELENGTH ASSIGNMENT APRROACHES FOR WAVELENGTH-ROUTED OPTICAL WDM NETWORKS”
Hui Zang, Jason P.Jue, Biswanath Mukherjee
DISTRIBUTED RELATIVE CAPACITY LOSS
Αυτή η μέθοδος βασίζεται στον relative capacity loss
RCL fixed routing adaptive routing
Για να επιχύνουμε την διαδικασία ανάθεσης μήκους κύματος κάθε κόμβος στο δίκτυο θα αποθηκεύει την πληροφορία του capacity loss το δίκτυο θα αλλάζει.Ο αλγόριθμος αυτός λέγεται distributed relative capacity loss DRCL Bellman Ford relative capacity loss RCL rcl DRCL rcl
s d
s d w rcl
s d w rcl k s d
s d s n n d rcl k n
DRCL RCL rcl rcl rcl

rcl relative capacity loss DRCL ο adaptive routing
“ROUTING AND WAVELENGTH ASSIGNMENT IN ALL-OPTICAL NETWORKS”
Rajiv Ramaswami, Kumar N. Sivarajan
ILP ILP LP G s d mi i N ι και m offered load p offered load P
Px i j i j i j
Px i j j i
i j
Px ci j RWA j i ci j
RWA ILP Co p

circuit switched network fi i ILP Cc p

C p)>= Cc p
i i RWA w f

![]()
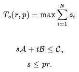
r r p linear program LP
![]()

circuit switch LP
r p c r p r r p c r p
LP LP source destination fixed routing LP RWA circuit swithed
Η επαναχρησιμοποίηση των ίδιων μηκών κύματος σε μεγάλα δίκτυα φέρνει καλά αποτελέσματα. Παραδείγματος χάρη αν σε ένα δίκτυο χωρίς μετατροπείς μηκών κύματος έχουμε 32 διαφορετικές συχνότητες μπορούμε να χρησιμοποιήσουμε κατα μέσω όρο 10 συνδέσεις ανα κόμβο.
Είναι σημαντικό να σημιώσουμε ότι υπάρχει διαφορά στις συγκρούσεις για ανάθεση συχνότητας και στην απόδοση μεταξύ δικτύων με και χωρίς μετατροπείς μηκών κύματος.
paper relative capacity loss
paper
To γενικό πρόβλημα της δρομολόγησης και της ανάθεσης μηκών κύματος μπορεί να λυθεί με τον γραμμικό προγραμματισμό. Έτσι ο γραμμικός προγραμματισμός στη γενική λύση οδηγεί σε μείωση της πολυπλοκότητας για μικρά δίκτυα, αλλα για μεγάλα δίκτυα είναι προτιμότερο να σπάσουμε το πρόβλημα αυτό, σε αυτό της δρομολόγησης και της ανάθεσης και να τα επεξεργαστούμε ξεχωριστά.
στατική δρομολόγηση όπου ξέρουμε απο πρίν τις συνδέσεις είναι μια καλή επιλογή.
“A REVIEW OF ROUTING AND WAVELENGTH ASSIGNMENT APRROACHES FOR WAVELENGTH-ROUTED OPTICAL WDM NETWORKS”
Hui Zang, Jason P.Jue, Biswanath Mukherjee
“ROUTING AND WAVELENGTH ASSIGNMENT IN ALL-OPTICAL NETWORKS”
Rajiv Ramaswami, Kumar N. Sivarajan
“A SURVEY OF VIRTUAL TOPOLOGY DESIGN ALGORITHMS FOR WAVELENGTH ROUTED OPTICAL NETWORKS”
Rudra Dutta, George N. Rouskas.
|