Experimentul cu un singur subiect
Obiective
Dupa parcurgerea acestui modul, studentul va cunoaste:
Relatia dintre design-ul cu un singur subiect si design-ul grupal
Caracteristicile design-ului cu nivel de baza
Modul concret in care design-ul cu nivel de baza asigura: validitatea interna, fidelitatea, respectiv generalitatea (validitatea externa a unei cercetari).
Modul concret de utilizare si particularitatile variantelor design-ului cu nivel de baza:
Design-ul reversibil ABAB,
Design-ul cu schimbarea criteriului
Design-ul interventiilor alternative
Design-ul cu niveluri de baza multiple
1.1. O strategie alternativa de cercetare
Planurile experimentale grupale, necesita unul sau mai multe esantioane de subiecti, expusi la diferite modalitati ale variabilei independente. Datele obtinute de fiecare grup, sunt condensate sub forma unor indici descriptivi (frecvente, medii), apoi se utilizeaza teste statistice inferentiale care permit determinarea probabilitati ca diferentele observate sa fie datorate hazardului. Daca aceasta probabilitate este redusa, (de obicei mai mica de 0.05), experimentatorul atribuie aceste diferente efectului exercitat de variabila independenta.
In cadrul acestui capitol va fi prezentata o abordare diferita, bazata pe studierea sistematica a comportamentului individual.
Scurt istoric. Tendinta de determinare a unor legitati aplicabile comportamentului uman, are o traditie indelungata, in cadrul psihologiei experimentale existand precedente remarcabile. In acest sens se poate aminti abordarea individuala pe baza careia Gustav Fecher (1860) a dezvoltat metodele psihofizice formalizand legea lui Weber. Pavlov, elaboreaza, pornind de la studiul secretiei gastrice la canine, principiile reflexului conditionat. Experimentele clasice, asupra memoriei efectuate de catre Hermann Ebbinghaus, (1912), evidentiaza utilizarea cu succes in psihologie a studiului pe un singur subiect.
Consacrarea acestui tip de design insa apartine lui Skinner, care a elaborat in cadrul paradigmei conditionarii operante diferite modalitati de analiza experimentala a comportamentului. Studiul unui lot mare de subiecti, intr-o perioada scurta de timp, este inlocuit prin studierea sistematica a comportamentului unui subiect un timp indelungat. Aceasta strategie are rolul de a reduce, varianta-eroare bazandu-se pe sursele acesteia: prima datorata diferentelor individuale, iar cea de a doua de controlul insuficient al variabilelor. Prima sursa este eliminata prin studiul unui singur subiect, iar a doua prin stabilirea unor conditii stricte de control al situatiei experimentale (un mediu controlat similar camerei de conditionare operanta).
Cea mai importanta forma a design-ului cu un singur subiect este design-ul cu nivel de baza.
1.2. Design-ul experimental cu nivel de baza
Trasatura esentiala a acestui tip de design consta in stabilirea unui nivel de start comportamental pe parcursul fazei de baza a experimentului, in aceasta etapa fiind determinat nivelul variabilei dependente anterior expunerii la actiunea variabilei independente.
Consecutiv fazei de baza subiectul va fi expus tratamentului experimental, pe parcursul fazei de interventie comportamentul fiind din nou masurat. Cele mai multe aplicatii ale acestui design sunt asociate cu tehnicile de modificare comportamentala.
Exemplul 1.
Experienta durerii este insotita de reactii manifeste (unele controlabile, altele nu), prin care pacientul comunica semnificatia atribuita acestui eveniment. Reactiile comportamentale asociate durerii constituie prin urmare, o forma indirecta de comunicare avand drept scop declansarea anumitor raspunsuri din partea mediului (tabel 1.1).
Tabel 1.1. Reactiile comportamentale asociate durerii.
|
COMPORTAMENTE ASOCIATE DURERII |
|
|
1. Expresii faciale |
Grimase |
|
2. Activitate motorie |
Miscari lente |
|
3. Reactii verbale |
Solicitarea ajutorului |
|
Autocompatimire: "de ce mi se intampla tocmai mie ? " |
|
|
4. Adoptarea unor pozitii corporale |
Cautarea unei pozitii antalgice |
|
Acoperirea zonei dureroase |
|
|
Compresiunea zonei dureroase |
|
|
5. Comportamente de reducere a durerii |
Administrarea de antialgice |
|
Evitarea activitatii |
|
|
Solicitarea consultului de specialitate |
|
|
6. Limitari functionale |
Mers lent cu opriri frecvente |
|
Repaus la pat perioade indelungate fara a dormi |
|
Se considera ca dobandirea reactiilor fata de durere se produce in timp prin procesul de conditionare operanta. Considerat unul din mecanismele bazale in invatare, conditionarea operanta, numita si instrumentala, studiaza relatia dintre comportament si consecintele sale. Principiul teoretic ce stabileste aceasta relatie este numit "legea efectului" fiind consacrat de Thorndike prin studiile sale asupra modificarilor comportamentale. Conform acestei legi, probabilitatea aparitiei comportamentului poate sa creasca sau sa scada in functie de consecintele sale imediate, (aparitia comportamentelor ce au consecinte pozitive fiind mult mai probabila fata de cele care au consecinte negative).
Studierea sistematica a comportamentelor la pacientii cu dureri cronice, a evidentiat patru tipuri de relatii comportament-consecinte, importante in achizitia si mentinerea reactivitatii fata de durere. Dupa cum se poate observa in tabelul 1.2, aceste relatii pot fi clasificate in functie de natura consecintei (pozitiva, aversiva), respectiv de efectul comportamentului asupra aparitiei consecintei (declansare, respectiv retragere).
Tabel 1.2. Relatiile dintre comportament si consecinte in cazul
conditionarii operante.
|
EFECTUL COMPORTAMENTULUI ASUPRA CONSECINTEI |
NATURA CONSECINTEI |
|
|
Pozitiva |
Aversiva |
|
|
Declansare |
Intarire pozitiva (creste probabilitatea comportamentului) |
Pedeapsa (scade probabilitatea comportamentului) |
|
Retragere |
Extinctie (scade probabilitatea comportamentului) |
Intarire negativa (creste probabilitatea comportamentului) |
Atunci cand un comportament are o consecinta pozitiva, 646g61g sau declansarea sa determina o recompensa (intarire pozitiva), frecventa de aparitie creste. Astfel, pacientii care prin diagnosticarea unei afectiuni si exprimarea unor comportamente legate de durere obtin anumite beneficii secundare -reducerea programului de lucru, atentia personalului medical si a familiei- vor manifesta mult mai frecvent aceste reactii.
Implicatiile in evaluarea durerii sunt considerabile, intrucat orice comportament aparut in contextul unei dureri clinice va trebui investigat pornind de la posibilele beneficii secundare asociate. Cu cat aceste beneficii sunt mai mari, cu atat posibilitatea eliminarii sale va fi mai redusa.
Un alt exemplu al efectului recompensei asupra reactiei fata de durere il constituie administrarea de analgezice la cererea pacientului. Comportamentul de solicitare a unui analgezic este, in consecinta, urmat de administrarea sa. Aceasta determina reducerea durerii, deci are rolul unei recompense pentru subiect, ceea ce va conduce la cresterea frecventei de solicitare a medicatiei.
Aceste observatii prezinta certe implicatii practice, in cazul pacientilor cu dependenta fata de medicatia analgezica. La astfel de cazuri este recomandata reducerea progresiva a dozei administrate (fapt posibil prin eliminarea comportamentului de solicitare din partea pacientului).
In situatia in care comportamentul conduce la o consecinta aversiva (deci va fi asociat cu o pedeapsa), rata de aparitie a reactiei tinde sa scada. De exemplu, in cazul unui pacient la care durerea are o baza musculara, orice miscare va conduce la exacerbarea durerii. In aceasta situatie, implicarea in activitate pe care subiectul o asociaza cu cresterea intensitatii durerii (consecinta aversiva) va fi mult redusa. Prin urmare, acest comportament, va fi mult diminuat cu evidente efecte nefavorabile in timp asupra adaptarii fata de durere. Pacientul va evita treptat, datorita consecintei aversive, chiar in absenta durerii, implicarea in activitate datorita anticiparii unei posibile declansari a acesteia.
In a treia situatie, numita extinctie, comportamentul poate conduce la retragerea unei consecinte pozitive. Astfel, in cazul unui pacient caruia in timpul perioadei de internare i se administreaza intariri ori de cate ori se implica in exersarea unor tehnici cognitive de distragere a atentiei, dar ulterior dupa externare nu i se ofera aceeasi valorizare de catre familie, se va constata o reducere pana la neglijare a acestei metode de autocontrol.
Cel de-al patrulea tip de relatie intre comportament si consecinte se refera la situatia in care declansarea reactiei produce eliminarea unei consecinte negative. Aceasta este numita intarire negativa si are drept rezultat cresterea frecventei acelui comportament. De exemplu, in cazul initierii unui program de interventie axat pe tehnici de relaxare la un pacient cu dureri cronice se va constata dupa o perioada reducerea intensitatii durerii, aceasta consecinta actionand ca o intarire negativa cu efect benefic asupra practicarii sistematice a tehnicilor recomandate.
Identificarea intaririlor necesita observarea minutioasa a dinamicii reactiilor comportamentale pentru a surprinde efectul diferitelor consecinte. Acestea vor diferi de la caz la caz, in functie de semnificatia pe care subiectii o atribuie ca urmare a experientei personale. Lectura unei carti sau practicarea unui hobby se poate dovedi o intarire eficienta in cazul unui pacient dar poate fi complet lipsita de relevanta pentru un altul. Prin urmare, orice modificare comportamentala la pacientii cu dureri cronice trebuie individualizata si precedata de identificarea exacta a intaririlor semnificative pentru subiectul in cauza. Din punct de vedere practic, se poate recurge la utilizarea unor chestionare sau liste de intariri din care subiectul va selecta ceea ce considera relevant in situatia sa. In general, aceste liste contin intariri clasificate in urmatoarele categorii:
produse ce pot fi consumate: hrana, bauturi, medicamente etc.;
activitati: hobby-uri, lectura, munca in gospodarie, mersul la cumparaturi, plimbarea, practicarea sportului;
primirea de cadouri: se precizeaza orice obiect pe care subiectul ar dori sa il primeasca;
contacte sociale: lauda, atentia si recunoasterea meritelor de catre alti membrii ai grupului (sunt considerate unele dintre cele mai eficiente forme de intarire);
simboluri: obiecte care dobandesc valoare in functie de semnificatia ce le este atribuita (de exemplu compensatiile banesti obtinute de un pacient prin diagnosticarea unei anumite boli profesionale).
Modul de administrare al intaririlor este extrem de important in achizitia si mentinerea comportamentelor operante. Se considera ca cea mai eficienta modalitate de achizitie a unui comportament este administrarea intaririi imediat si in mod constant (schema continua de administrare). Un pacient internat cu dureri cronice acutizate va avea o atitudine mult mai favorabila daca i se va acorda atentie, de fiecare data cand va evita repausul prelungit la pat. In acest sens, monitorizarea in cadrul saloanelor in care sunt internati acesti pacienti, se poate realiza de asa natura incat administrarea intaririlor de catre personalul medical (medici sau asistente) sa se realizeze dupa o schema riguros stabilita. Acest fapt va conduce in cazul pacientilor cronici la dezvoltarea pe durata spitalizarii a unor comportamente mult mai adaptative. Dificultatea va consta insa in mentinerea acestor comportamente dupa externare. Studiile realizate arata faptul ca mentinerea comportamentelor se imbunatateste semnificativ prin administrarea intermitenta a intaririlor. Prin urmare, in cadrul programelor avand ca scop modificarea comportamentelor asociate durerii se recomanda utilizarea intaririlor continue in fazele initiale ale terapiei (de exemplu: recompensarea pacientului dupa fiecare exersare a relaxarii) si a intaririlor intermitente in fazele finale ale interventiei (administrarea recompensei dupa un numar variabil de exercitii).
Pe baza acestor principii de interventie se pot dezvolta programe terapeutice de modificare a comportamentelor asociate durerii la pacientii cu dureri cronice.
De exemplu in intr-un studiu efectuat de Epstein, Hersen & Hemphill, (1984), in cazul unui pacient cu migrene, s-a studiat eficienta antrenamentului de tip biofeedback electromiografic asupra relatarii durerii. Intrucat in etiologia migrenei s-a constatat ca un rol important il are nivelul tensiunii musculare la nivelul musculaturii frontale, s-a preconizat ca tehnica de interventie dobandirea unei modalitati de relaxare pe baza tehnicii biofeedback (figura 1.1).

Figura 1.1 Perioada medie cu un nivel ridicat al tensiunii musculare pe parcursul fazelor experimentului
In acest sens s-a determinat pentru inceput nivelul bazal al tensiunii musculaturii frontale prin inregistrarea cu ajutorul unor electrozi aplicati cutanat si conectati la electromiograf. Variabila dependenta determinata a fost numarul mediu de secunde pe parcursul unor sedinte de observatie de 10 minute alcatuite din observatii repetate cu durata de un minut, in cadrul carora subiectul manifesta un nivel de tensiune musculara ridicata. Perioada in care subiectul manifesta un grad ridicat de tensiune a fost in acest caz in medie de 30-40 secunde in fiecare minut de observatie (adica mai mult de 50% din timp). Consecutiv determinarii nivelului de baza al tensiunii musculare, s-a introdus o faza de interventie pe parcursul careia subiectului i se prezenta o melodie preferata (intarire pozitiva), ori de cate ori reusea sa reduca nivelul tensiunii musculare sub un anumit nivel. In aceste conditii s-a constatat o reducere a perioadei cu nivel ridicat al tensiunii musculare pana la 15-20 secunde in medie in cadrul minutelor de observatie (adica 25% din timp). Pentru a verifica daca reducerea observata s-a datorat feedback-ului oferit, in etapa a treia s-a retras feedback-ul constatandu-se o crestere a perioadei cu nivel ridicat de tensiune musculara pana la valori apropiate situatiei initiale. Prin reintroducerea feedback-ului in etapa a patra a studiului s-a obtinut o reducere a periodei medii cu nivel ridicat de tensiune musculara pana la 10-15 secunde (mai putin de 25% din timp).
Exemplul 2:
Intr-un studiu efectuat de Brown si Palincsar, (1982), s-a urmarit rolul strategiilor metacognitive in invatare. S-a urmarit gradul in care insusirea acestor strategii permite imbunatatirea compreheniunii unui text scris, la subiectii cu intelect de limita. (figura 1.2). In prima faza a studiului s-a inregistrat performanta initiala a subiectilor. Procentul raspunsurilor corecte la intrebarile vizand textul studiat s-a incadrat in 15 procente. Dupa initierea unui program de instruire a strategiilor cognitive de tipul: parafrazarea ideilor principale, clasificarea informatiilor, relationarea ideilor la cunostintele existente etc., procentul obtinut a fost intre 60%-80%. In etapa urmatoare s-a revenit la situatia initiala performanta inregistrand un declin (replicarea fazei de baza), iar apoi s-a reintrodus etapa formativa inregistrandu-se o imbunatatire a performantei (replicarea fazei de interventie).

Figura 1.2. Procentul raspunsurilor corecte pe parcursul fazelor experimentului
Caracteristicile design-ului cu nivel de baza
Design-urile experimentale indeplinesc doua functii: ele permit determinarea unor modificari ale variabilei dependente in ciuda variantei eroare si realizarea unor inferente valide asupra cauzelor modificarilor observate. Acestea conduc la identificarea efectului produs de variabile independente (cauzale). Design-ul experimental cu nivel de baza satisface aceste cerinte prin intermediul urmatoarelor caracteristici:
utilizarea unor serii temporale ( masuratori repetate ale variabilei dependente). In cazul
acestui design se realizeaza inregistrarea valorilor variabilei dependente in cazul aceluiasi subiect sau mai multor subiecti intr-un anumit interval de timp. Datele obtinute in aceleasi conditii sunt grupate si constituie rezultate in cadrul unei anumite faze a experimentului. Adesea una dintre faze este numita de baza deoarece in cadrul ei se determina nivelul variabilei dependente in absenta interventiei variabilei independente (ea constituie o faza de control), iar o alta faza de interventie in aceasta situatie fiind studiat efectul variabilei independente asupra celei dependente.
reprezentarea grafica si analiza vizuala si statistica a seriilor temporale inregistrate pe
parcursul fazelor experimentului. Comparatiile se realizeaza in cadrul unor perechi de tipul: faza de baza-faza de interventie. Scopul reprezentarii grafice a acestor combinatii este acela de a evidentia (detecta), diferente vizibile intre cele doua situatii. In acest caz analiza grafica a datelor, suplimentata de o analiza statistica descriptiva se face in functie de urmatorii parametrii: tendinta, nivel si variabilitate.
Tendinta reprezinta fluctuatia sistematica a valorilor observate in timp. In figura 1.3. seria A, evidentiaza o tendinta pozitiva a datelor, seria C o tendinta negativa iar in seria B se constata absenta tendintei.

Figura 1.3 Trei serii temporale cu tendinte diferite
O forma particulara de tendinta este periodicitatea, ce se refera la fluctuatiile ritmice ale datelor in timp. Periodicitatea unei serii temporale poate fi definita in doua moduri: prin frecventa sau perioada. Frecventa se refera la numarul de cicluri pe unitatea de timp, iar perioada la timpul necesar pentru completarea unui ciclu. De exemplu o serie temporala poate avea o frecventa de 5 cicluri pe ora daca in cadrul unei ore secventa se repeta de 5 ori, si o periodicitate de 12 minute. (desfasurarea unui ciclu necesita 12 minute). Figura 1.4. evidentiaza doua serii ce difera din punct de vedere al frecventei. Seria B prezinta o frecventa mai redusa respectiv o perioada mai mare decat seria A.

Figura 1.4. Doua serii ce difera ca frecventa si perioada.

Existenta unei tendinte ciclice in cadrul unei serii temporale alcatuite
din faze de baza si faze de interventie poate determina o serie de dificultati
de interpretare a influentei variabilei independente in cadrul fazei de
interventie. Periodicitatea seriei temporale poate constitui o variabila
confundata ce conduce la concluzia existentei unui afect al variabilei
independente, desi in realitate acesta nu exista. De exemplu in figura 1.5 este prezentat graficul rezultatelor obtinute in cadrul unui
experiment ce a avut ca scop reducerea frecventei unui comportament
indezirabil. Aparent, actiunea variabilei independente in cadrul fazelor B
conduce la modificarea comportamentului in directia dorita. Ajustarea unei
linii pentru seria temporala prezentata arata insa faptul ca evolutia
comportamentului pe parcursul celor patru faze este una sinusoidala, cauza
modificarii constatate fiind de fapt aceasta tendinta si nu efectul aplicarii
variabilei independente.

Figura 1.5. Rezultatele unui experiment avand scopul verificarii efectului unei tehnici de reducere a frecventei unui comportament indezirabil. Se constata fluctuatia sinusoidala a comportamentului.
Contracararea efectului periodicitatii in interpretarea rezultatelor din cadrul unei serii temporale se realizeaza prin determinarea tendintelor ciclice pe baza unor teste statistice parametrice (testul ARIMA ) sau neparametrice (testul Tryon, testul punctelor de intoarcere, testul diferentelor succesive)*.
Nivelul unei serii temporale este reprezentat de linia ce aproximeaza tendinta centrala a seriei intr-un anumit interval de timp.In figura 1.6. sunt prezentate doua serii temporale ce au aceeasi tendinta dar niveluri diferite.

Figura 1.6. Doua serii temporale cu niveluri diferite.
Variabilitatea unei serii temporale se refera la deviatia scorurilor in jurul nivelului. In figura 1.7. sunt prezentate doua serii temporale ce au acelasi nivel dar variabilitati diferite. Spre deosebire de designurile grupale unde controlul variabilitatii se realizeaza prin analiza surselor sale pe baza unor tehnici statistice (analiza de varianta-ANOVA), in cadrul experimentului cu un singur subiect controlul variabilitatii se realizeaza procedural prin crearea unui mediu experimental strict controlat.
Figura 1.7 Doua serii temporale cu variabilitati diferite.
Pornind de la exemplele prezentate, se pot evidentia principalele caracteristici ale designului cu nivel de baza: stabilirea nivelului de baza, determinarea unui criteriu de stabilitate si replicarea.
Nivelul comportamental de baza O caracteristica a designului cu nivel de baza, consta in
utilizarea unui nivel comportamental de baza, o inregistrare a performantei subiectului in timp, in cadrul unei faze pretest. Nivelul comportamental de baza indeplineste doua functii importante: stabilirea nivelului variabilei dependente in fiecare faza si determinarea variabilitatii necontrolate. Pentru stabilirea nivelului comportamental de baza se recurge la inregistrarea repetata a comportamentului in functie de timp.
Criteriul de stabilitate.Variatiile sistematice determinate de invatare sau habituare apar in
cadrul nivelului de baza sub forma tendintei spre valori crescatoare sau descrescatoare. Asemenea tendinte apar imediat dupa trecerea intr-o faza cand comportamentul se afla in tranzitie intre doua nivele stabile . Pentru a surprinde gradul de fidelitate in care nivelul bazal indica modificare comportamentala indusa printr-o anumita manipulare, se utilizeaza un criteriu de stabilitate ce precizeaza conditiile in care nivelul este considerat stabil. Atunci cand nivelul de baza indeplineste conditiile de stabilitate subiectul este incadrat in faza de studiu urmatoare. Determinarea unui criteriu de stabilitate adecvat este posibila prin analiza descriptiva a datelor ce formeaza o serie temporala.*
Replicarea intrasubiect.In acest caz se repeta atat faza de baza cat si cea de interventie astfel
incat se poate compara performanta subiectului in cadrul primei evaluari si in timpul replicarii pentru a determina daca nivelurile de performanta obtinute in cadrul fazelor initiala si de interventie sunt repetabile sau replicabile.Posibilitatea replicarii datelor initiale indica fidelitatea acestora si faptul ca modificarile observate sunt rezultatul conditiilor de tratament si nu a variatiilor aleatoare ale comportamentului.
Replicarea intersubiecti. Presupune includerea in designul experimental a mai multor
subiecti. Rezultatele fiecarui subiect reprezinta o replica independenta a intregului experiment. Spre deosebire de design-urile grupate, in design-urile cu nivel de baza, datele sunt prezentate independent pentru fiecare subiect si nu sub forma unor medii ale mai multor subiecti.
Functiile design-ului cu nivel de baza
Evaluarea utilitatii practice a unui design, se face pe baza modului in care acesta e capabil sa ofere solutii la urmatoarele cerinte ale unei cercetari:
a) un grad de validitate interna cat mai ridicat;
b) un grad cat mai mare de fidelitate a masurarii;
c) un grad de generalitate (validitate externa), cat mai ridicat.
a) Validitatea interna
Scopul manipularii variabilei independente este de a induce anumite modificari in cadrul comportamentului, sub forma unei variatii sistematice. Este cunoscut insa faptul ca pot apare si modificari ale comportamentului ce nu au legatura cu variabila independenta, fiind determinate de factori necontrolati prin experiment. Aceste variatii sunt numite varianta-eroare sau varianta aleatoare. In cazul designului cu un singur subiect, ele sunt evidentiate sub forma fluctuatiilor nesistematice ale nivelului de baza.
Spre deosebire de designul grupal (unde diferite surse de variabilitate pot fi controlate statistic), designul cazului singular utilizeaza ca principal mijloc de eliminare a variatiei-eroare, controlul riguros al conditiilor experimentale. Ca atare eforturile sunt orientate spre identificarea surselor de variatie, pornind de la reprezentarea grafica a datelor. Varianta-eroare apare sub forma unui grad inalt de instabilitate a observatiilor efectuate. Astfel, masurarea repetata a variabilei dependente permite evaluarea influentei posibile a unor factori necontrolati.
De exemplu in cazul unui experiment de conditionare operanta, rata raspunsurilor poate varia, desi conditiile experimentale raman aceleasi. Variatiile observate, pot fi induse de o serie de factori cum ar fi motivatia subiectilor , experienta acestora, momentul din zi cand se efectueaza experimentul.
Unii dintre acesti factori sunt necontrolati, dar altii pot fi controlati. Cresterea stabilitatii variabilei dependente va fi posibila prin asigurarea unui nivel apropiat al motivatiei in diferitele faze de interventie, realizarea probelor in acelasi moment al zilei, etc.
Un alt mijloc de reducere a variabilitatii datelor consta in determinarea criteriului de stabilitate. Astfel, comportamentul inregistreaza pe parcursul fazelor experimentului, o serie de modificari lente adaptandu-se noilor situatii. In anumite cazuri, schimbarile devin observabile pe parcursul instalarii invatarii, situatie in care discriminarea se accentueaza, comportamentul fiind adus sub controlul unor noi intariri.
Impunerea unui criteriu de stabilitate ofera siguranta mentinerii unei faze atata timp cat este necesar pentru stabilizarea comportamentului.
b) Fidelitatea masurarii.
Designul grupal stabileste fidelitatea masurarilor printr-un sir de inferente logice pornind de la un singur experiment. Mediile si variantele obtinute in fiecare faza sunt utilizate pentru estimarea unor caracteristici ale populatiei. Acestea sunt utilizate pentru a determina probabilitatea ca datele obtinute pe parcursul fazelor experimentului sa provina de la aceeasi populatie. Indicele de probabilitate permite studiul ipotezei nule conform careia diferentele obtinute sunt datorate hazardului si nu actiunii variabilei independente. Respingerea ipotezei nule permite postularea influentei variabilei independente. Astfel, daca variabila independenta este singura responsabila pentru diferentele aparute, atunci aceleasi rezultate vor fi obtinute in conditiile repetarii experimentului. Deci masurarile vor prezenta un grad corespunzator de fidelitate.
Designul cu un singur subiect recurge la evaluarea fidelitatii masurarii in mod direct pe baza replicarii. Fiecare subiect va fi supus diferitelor faze experimentale de doua sau mai multe ori, performantele obtinute cu ocazia acestor expuneri multiple fiind comparate. Daca in conditiile replicarii diferitelor faze se obtin rezultate similare, atunci se conchide asupra fidelitatii datelor.
Desigur, datele obtinute pe parcursul replicarii vor fi similare, dar nu identice. Se ridica astfel intrebarea gradului de similaritate acceptabil. Solutia depinde de gradul de control al variabilei dependente pe parcursul fazei experimentale si de intrebarea la care experimentatorul isi propune sa raspunda. Un grad ridicat de control al variabilei dependente, va determina o variatie minima in cadrul nivelului de baza, astfel incat orice influenta a variabilei independente va fi usor vizibila ca o modificare superioara sau inferioara fata de nivelul de baza.
c) Gradul de generalitate al rezultatelor
Designul grupal stabileste generalitatea datelor prin calculul mediilor pe un numar mare de subiecti. Acest design postuleaza faptul ca performanta medie va fi reprezentativa pentru populatia din care subiectii fac parte.
In cazul designului cu un singur subiect se recurge la replicarea intersubiect - repetarea experimentului in conditii absolut identice pe un alt subiect.
Comparatia directa a comportamentului diferitilor subiecti ofera o masurare a replicabilitatii intersubiect (replicare directa). Pe baza acestei comparatii se pot identifica sursele variabilitatii-intersubiect, acestea fiind aduse sub control.
O alta modalitate de verificare a generalitatii rezultatelor este pe baza mentinerii structurii experimentului, dar a extinderii sirului de variabile evaluate, tipului de variabile manipulate sau de subiecti testati. De exemplu patternul de raspuns generat pe baza diferitelor scheme de intarire poate fi replicat prin utilizarea unor intariri diferite. Asemenea extensii care incorporeaza aspecte ale experimentului initial dar induc noi valori poarta numele de replicari sitematice, spre deosebire de replicarile directe (Sidman, 1960).
Tabel. 1.3. Paralela design experimental grupal - design experimental cu un singur subiect.
|
Calitati |
Design-ul experimental grupal |
Design-ul experimental cu un singur subiect |
|
VALIDITATEA INTERNÃ |
Reducerea variantei -eroare pe baza randomizarii si a procedurilor statistice a) prin repartizarea ale-atoare a subiectilor in grupul experimental, respectiv de control, se asigura un efect egal al variabilelor necontrolate la nivelul celor doua grupuri. b) Procedurile statistice evalueaza variabilitatea datorata actiunii factorului manipulat in raport cu variabilitatea indusa de factorii necontrolati Varianta intergrup F = ----- ----- ------------ Varianta intragrup In conditii in care, acest raport este semnificativ la p< 0.05, se considera efectul variabilei independente relevat ignorand influenta surselor de eroare |
Controlul riguros al conditiilor experimentale (ex. camera de conditionare) Determinarea criteriului de |
|
FIDELITATEA |
Studierea fidelitatii indirect, pe baza inferentei statistice |
Pe baza replicarii intrasubiect stabilitate |
|
VALIDITATEA EXTERNÃ |
Se studiaza semnificatia indicilor obtinuti la nivelul esantionului (problema de estimare) |
Pe baza replicarii intersubiect (replicari directe ) sau a replicarilor sistematice |
1.5. Variante ale design-ului experimental cu nivel de baza
Un prim criteriu de clasificare a acestor tipuri de design se refera la variabila independenta. Astfel se pot diferentia:
design-uri ce manipuleaza o singura variabila independenta - design-uri cu un singur factor:
design care manipuleaza mai multe variabile independente - designul multifactorial
Al doilea criteriu se refera la variabila dependenta si in acest caz distingem design-ul cu niveluri de baza multiple in cazul studierii mai multor variabile dependente.
Design-ul cu un singur factor
In aceasta categorie se incadreaza: design-ul reversibil (ABAB) si design-ul cu schimbarea criteriului.
1.5.1.1. Design-ul reversibil (ABAB)
Acest design include o faza de baza (A), in cadrul careia se stabileste nivelul de baza si o faza de interventie (B) in care se observa efectul variabilei independente.
Designul de tip AB include o singura administrare a fiecarei faze, lipsind posibilitatea replicarii intrasubiect. Din acest punct de vedere implicarea unor variabile confundate legate de aspectul temporal constituie o problema serioasa a acestui design.
Designul ABA include o faza reversibila in care se restabileste nivelul de baza dupa expunerea la 'tratament'. Aceasta reevaluare a nivelului de baza permite verificarea influentei variabilei independente. Astfel spus, daca dupa revenirea in faza A se observa o modificare a comportamentului in sensul variatiei initiale, se poate concluziona ca modificarea din cadrul fazei de interventie este datorata variabilei independente si nu unor factori aleatori.
Designul ABAB adauga o a doua faza reversibila oferind o replicare completa a designului AB.
Acest design are multiple aplicatii in reducerea ratei unui comportament indezirabil cat si in studiul eficientei unor interventii care au scopul de a creste frecventa unor comportamente adaptative.
Exemplu
In cadrul unei cercetari s-a verificat gradul in care atentia acordata de profesor are efectul de a intari comportamentele autostimulatorii la copiii retardati (Graziano, 1993).
O fetita cu diagnostic de autism, incadrata la o scoala speciala, prezenta in timpul lectiei o serie de comportamente constand in tipete ascutite, grimase faciale si miscari rapide, energice ale mainilor. Aceste trei comportamente se produceau simultan avand o frecventa mare de aparitie. Ele o impiedicau sa invete, dar impiedicau si desfasurarea adecvata a lectiei.
Pe baza unor observatii sistematice s-a formulat ipoteza ca atentia acordata de profesor constituie intarirea ce mentine aceste comportamente. S-a formulat astfel urmatoarea explicatie: atunci cand nu i se acorda atentie copilul va declansa comportamente ce vor determina profesorul sa se apropie de ea, si sa incerce sa o linisteasca. Cu alte cuvinte in eforturile sale de a suprima comportamentul, profesorul poate determina mentinerea acestuia.
Pentru a testa aceasta ipoteza s-a utilizat designul ABAB in care in cadrul fazei de baza (A), profesorul acorda atentie ori de cate ori fetita manifesta comportamente indezirabile. In conditia (B), faza de interventie a implicat o procedura diferita de intarire in care profesorul acorda atentie si sprijin copilului ori de cate ori se angaja in studiu, dar evita sa-i acorde atentie cand manifesta comportamente indezirabile . Inregistrarea datelor s-a realizat in cadrul unor sedinte cu durata de o ora in acelasi moment al zilei, variabila dependenta constand in numarul de minute din cadrul unei ore in care comportamentul se manifesta. Prin replicarea celor doua faze s-a dovedit astfel impactul intaririlor sociale asupra mentinerii unui comportament indezirabil si rolul acelorasi intariri asupra posibilitatii de a dezvolta comportamente adaptative. (figura 1. 8).
Figura 1.8 Graficul efectului interventiei asupra comportamentului indezirabil.
Daca fiecare replica a unei anumite faze produce niveluri ale performantei superpozabile cu niveluri observate in administrarea anterioara a aceleiasi conditii, se poate afirma ca fidelitatea masurarii este extrem de ridicata.
In cazul in care gradul de control asupra variabilei dependente este redus, nivelul de baza va fi variabil iar efectul variabilei independente va fi dificil de surprins. Variatiile nivelului de baza aparute intre replicari pot fi determinate de sansa, sau ca urmare a efectului rezidual. In aceste situatii, efectul variabilei independente se va evidentia pe baza analizei tendintei datelor in cadrul fazelor de baza in raport cu cele de interventie.
Exemplu:
Intr-un studiu efectuat de Hall (1968), s-a urmarit influenta pe care utilizarea unor tehnici comportamentale o are asupra ratei studiului la subiectii hiperactivi.(figura 1.9). Graficul indica procentajul de timp in cadrul orei de curs in care subiectul este implicat in studiu. In faza de baza comportamentul fluctueaza dar nu depaseste 45%. In faza de interventie, acordarea de catre profesor a unor intariri pozitive (lauda), determina cresterea procentajului pana la 90%. Retragerea acestor intariri (faza reversibila), determina reducerea studiului, fara a se atinge nivelul de baza initial. Revenirea la faza de interventie determina restabilirea unui nivel de performanta ridicat.
In acest exemplu, nivelul variabilei
dependente obtinut in cadrul fazei de baza initiala nu se mentine in cadrul
replicarii. Cu toate acestea, tendinta de modificare a ratei de raspuns in faza
de interventie in raport cu faza de baza este similara in cazul replicarii,
desi magnitudinea nu este aceeasi.
Figura 1.9. Rata studiului in cadrul diferitelor faze ale experimentului
Cum se poate vedea din figura, succesul replicarii intrasubiect este conditionat de tipul de ipoteza a studiului experimentul. De exemplu, daca ipoteza vizeaza influenta intaririi asupra ratei studiului, raspunsul este pozitiv iar replicarea se dovedeste corespunzatoare. Comportamentul studiat sporeste fata de nivelul de baza in ambele cazuri. Daca se urmareste magnitudinea diferentei, raspunsul difera, replicarea fiind neadecvata.
Principala limita a design-ului reversibil este legata de spectrul sau redus de aplicabilitate (in cazul unor comportamente ce revin la nivelul initial dupa oprirea interventiei). In majoritatea cazurilor insa, datorita invatarii (efectului rezidual), precum si din considerente etice este aproape imposibila revenirea la un nivel similar celui initial.
1.5.1.2. Design-ul cu schimbarea criteriului.
Acest tip de design este utilizat in special in cazurile in care se estimeaza o modificare gradata a variabilei dependente sub impactul variabilei independente. In acest sens, controlul experimental este asigurat prin inregistrarea tendintei de variatie a comportamentului in conditiile fixarii unor criterii din ce in ce mai stricte de administrare a variabilei independente. Astfel, consecutiv stabilirii unui nivel de baza se include o faza de interventie in cadrul careia experimentatorul stabileste un criteriu de performanta pe care il impune subiectului. Odata ce acest criteriu a fost atins se recurge la schimbarea sa, apelandu-se astfel, din aproape in aproape la niveluri din ce in ce mai ridicate ale acestuia. (figura 1.10).

Figura 1.10 Schema design-ului cu schimbarea criteriului
Exemplu:
In cadrul unui studiu vizand dezvoltarea comportamentelor de practicare a exercitiilor fizice la subiecti normoponderali sau obezi s-a utilizat ca activitate pedalarea la ergobicicleta. In cadrul fazei de baza subiectilor li s-a precizat faptul ca pot pedala in ritmul pe care il doresc. In cadrul fazei de interventie s-a fixat la inceput un nivel al performantei usor mai crescut (mai ridicat cu 15% decat cel anterior) pentru care subiectii erau recompensati. Atunci cand subiectul atingea nivelul fixat se activa un semnal auditiv ce semnaliza performanta. Odata ce acest nivel era atins si era mentinut de subiect, se introducea un criteriu din ce in ce mai strict de acordare a intaririi (subiectul era recompensat pentru un nivel al performantei mai mare cu 30%, iar apoi cu 45%). Efectul interventiei este prezentat in figura 1.11, in care se constata performanta obtinuta de 5 subiecti (3 normoponderali si 2 obezi ), in cadrul experimentului. Pentru fiecare subiect, consecutiv atingerii performantei maxime s-a introdus o faza reversibila in care nu s-au mai acordat intariri. In aceste conditii s-a constatat o usoara reducere a performantei (ceea ce constituie un argument suplimentar in favoarea efectului interventiei realizate). Reintroducerea interventiei in conditiile fixarii criteriului atins anterior a condus rapid la reinstalarea nivelului de performanta prealabil.

Figura 1.11 Performanta subiectilor in cadrul fazelor experimentului.
Validitatea interna a design-ului cu schimbarea criteriului este mai redusa comparativ cu a design-ului reversibil. Astfel, chiar daca un comportament se modifica in conditiile stabilirii unui anumit criteriu este posibil ca aceasta modificare sa fie determinata de variabile confundate. In acest sens pentru optimizarea design-ului se recomanda alternarea unor criterii stricte cu unele mai putin stricte in cadrul experimentului. In aceste conditii modificarea bidirectionala (crestere-descrestere a frecventei comportamentului), constituie o dovada suplimentara a actiunii variabilei independente.
Design-ul multifactorial
Specific pentru acest design este studierea simultana a efectului mai multor variabile independente In aceasta categorie se incadreaza design-ul interventiilor alternative.
1.5.2.1.Design-ul interventiilor alternative
Caracteristic pentru acest design este administrarea in cadrul aceleiasi faze a mai multor variabile independente. Astfel, in prima faza se stabileste un nivel de baza comportamental, iar apoi in cadrul fazei de interventie se aplica alternativ mai multe variabile independente asupra aceleiasi variabile dependente. Prin compararea efectului exercitat de fiecare variabila independenta , se va selecta si va fi administrata in final numai variabila care s-a dovedit cea mai eficienta, fiind studiat in acest caz efectul sau asupra comportamentului.
Exemplul 1.
S-a urmarit evidentierea efectului unor tehnici diferite de interventie asupra frecventei unor ticuri motorii in cazul unui copil in varsta de 8 ani.Initial subiectul a fost observat timp de trei zile in trei momente ale zilei in mediul sau natural (sala de clasa), intr-o activitate curenta (scolara). Astfel s-a determinat un nivel de baza al frecventei gesturilor stereotipe. Ulterior s-a introdus o faza de interventie in cadrul careia in fiecare din cele trei momente ale zilei s-a recurs la o procedura diferita. Astfel, in primul caz nu s-a intervenit fiind studiata in acest context incidenta ticurilor. In al doilea caz, s-a utilizat ca tehnica de interventie imobilizarea mainilor pentru un anumit interval, conditie in care subiectul nu avea posibilitatea de a efectua gesturi stereotipe.In al treilea caz subiectului i s-a oferit o activitate prin care in permanenta avea mainile ocupate (comportamente alternative).
Prin inregistrarea frecventei ticurilor pe parcursul celor trei situatii timp de 10 zile, s-a constatat ca cea mai eficienta procedura a fost deprinderea comportamentelor alternative.

Practicarea acestei interventii in toate cele trei
momente ale zilei timp de o saptamana, in cadrul fazei a doua de interventie a
determinat o reducere semnificativa a incidentei ticurilor.(figura 1.12).
Figura 1.12. Frecventa gesturilor stereotipe pe parcursul fazelor experimentului.
Exemplul 2.
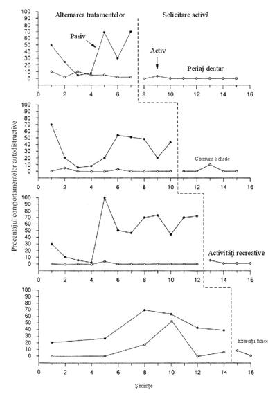
In cadrul unui studiu vizand comportamentul autodistructiv la copiii cu deficienta mentala , s-a urmarit gradul in care implicarea activa a copilului in sarcina poate reduce rata autolezarii. In acest sens s-a utilizat un design cu doua interventii, in cazul a patru comportamente: periaj dentar, consum de lichide , joc si exercitiu fizic.(figura 1.13). Pentru toate comportamentele s-a constatat ca procentajul comportamentului autodistructiv s-a redus in cazul in care s-a reusit implicarea activa a subiectului in sarcina, spre deosebire de situatia in care subiectul era ghidat de experimentator.
In conditiile in care s-a recurs numai la interventia avand ca rol implicarea subiectului, comportamentele autodistructive s-au mentinut la o rata redusa.

Figura 1.13. Rata comportamentelor autodistructive pentru cele patru comportamente, in cadrul fazelor experimentului.
Avantajul design-ului interventiilor alternative consta in posibilitatea compararii diferitelor interventii pe parcursul aceleiasi faze a experimentului. In acest sens el este foarte util in rezolvarea unor probleme practice vizand alegerea celei mei adecvate interventii pentru un subiect dat.
Aplicabilitatea sa este insa limitata la acele comportamente ce prezinta o dinamica suficient de rapida incat sa permita studierea distincta a influentelor fiecarei interventii, si nu efecte ale interactiunii acestora. De exemplu acest design este dificil de aplicat in situatia studierii efectelor a doua medicamente asupra nivelului anxietatii, intrucat efectul produs de al doilea medicament poate incorpora un efect rezidual al primului, in conditiile in care rata de metabolizare a acestuia este redusa. (persista un anumit timp la nivel celular).
1.5.3. Design-ul cu niveluri de baza multiple
In cazul utilizarii unor interventii care determina modificari ireversibile comportamentale, este indicata utilizarea design-ului cu niveluri de baza multiple. Acest design urmareste evidentierea efectului variabilei independente prin compararea unor niveluri de baza reprezentand:
comportamente diferite ale aceluiasi subiect, (design cu niveluri de baza multiple in cazul comportamentelor)
acelasi comportament in cazul mai multor subiecti (design cu niveluri de baza multiple in cazul subiectilor)
expresii ale aceluiasi comportament al unui subiect in situatii diferite (design cu niveluri de baza multiple in cazul situatiilor)
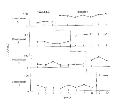
1.5.3.1. Design-ul cu niveluri de baza multiple in cazul comportamentelor
In cadrul sau, se inregistreaza simultan mai multe comportamente ale unui subiect, in acest caz fiind deci masurate mai multe variabile dependente. Dupa stabilirea nivelurilor de baza pentru fiecare comportament se introduce manipularea pentru unul dintre acestea. Relatia cauzala va fi inferata pe baza faptului ca dintre comportamentele inregistrate, numai comportamentul expus factorului experimental inregistreaza modificari, celelalte comportamente ramanand neschimbate. Odata aparuta aceasta modificare, tratamentul va fi aplicat urmatorului comportament s.a.m.d.
O prezentare schematica a acestui design apare in figura 1.14
Fiecare comportament se modifica numai dupa introducerea unui tratament. In acelasi timp comportamentul asupra caruia s-a intervenit, ramane la acelasi nivel. Dupa stabilizarea nivelului comportamentului asupra caruia s-a intervenit se intervine asupra urmatorului comportament.
Acest design utilizeaza comportamentul asupra caruia nu s-a intervenit, pentru controlul partial al modificarilor, ce pot masca efectul variabilei independente, intrucat exista posibilitatea, ca modificarile comportamentului asupra caruia s-a intervenit, sa apara in lipsa unei manipulari. Totusi, daca aceste modificari nu au fost determinate de catre variabila independenta, comportamentul asupra caruia nu s-a intervenit ar trebui de asemenea sa se modifice.
Pentru ce design-ul cu niveluri multiple sa fie eficient, comportamentele observate trebuie sa fie relativ independente. Daca acestea sunt corelate, atunci interventia asupra unuia dintre ele, va avea efect si asupra celorlalte.

Figura 1.14 Schema design-ului cu niveluri de baza multiple in cazul comportamentelor
1.5.3.2. Design-ul cu niveluri de baza multiple in cazul subiectilor.
In acest caz aceeasi interventie este aplicata secvential mai multor subiecti ce manifesta acelasi comportament.Astfel, dupa ce se determina nivelul de baza al comportamentului in cazul subiectilor investigati, se va aplica interventia an cazul unui subiect, mentinand nivelul de baza in cazul celorlalti. Efectul variabilei independente se va evidentia in conditiile in care comportamentul subiectului expus interventiei se va modifica in timp ce reactiile celorlalti subiecti inclusi in cercetare vor ramane neschimbate.Pe masura ce comportamentul subiectului supus interventiei se stabilizeaza, se va aplica variabila independenta unui alt subiect, astfel incat in final pentru fiecare subiect se va obtine o faza de baza si una de interventie. Pe baza comparatiilor intrasubiect si intersubiecti se va delimita astfel efectul variabilei independente.
Exemplu:
In cadrul unui program de preventie al afectiunilor parodontale s-a urmarit gradul in care dobandirea unor deprinderi adecvate de periaj dentar are ca efect reducerea procentului placii dentare. In acest sens s-au luat in studiu 4 subiecti la care s-au determinat indicii de placa la nivel interproximal si vestibulo-palatinal. Reducerea procentului de placa dentara in urma dobandirii deprinderilor adecvate de periaj a fost evidentiata in conditiile aplicarii succesive a interventiei pentru cei patru subiecti. (figura 1.16). Rezultatele obtinute in urma interventiei s-au mentinut si pe durata monitorizarii post-interventie.
1.5.3.3. Design-ul cu niveluri de baza multiple in cazul situatiilor
Aceasta varianta a design-ului cu niveluri de baza multiple permite investigarea efectului unei interventii asupra aceluiasi comportament dar in contexte diferite. Prin compararea fazei de interventie indusa intr-un anumit context cu nivelul de baza al comportamentului intr-o alta situatie se poate evalua efectul variabilei independente. Principala problema ce apare in acest caz este legata de generalizarea efectului interventiei, consecutiv inducerii intr-un anumit context.
Aceasta dificultate este in fapt comuna tuturor situatiilor in care se utilizeaza design-ul cu niveluri de baza multiple. Astfel, in conditiile generalizarii efectului unei interventii pentru alte comportamente sau situatii, mentinerea unui nivel de baza in vederea utilizarii ca situatie de control este improbabila.
Sumar
In cadrul acestui modul s-au prezentat particularitatile si variantele design-ului experimental cu un singur subiect S-a realizat o paralela intre design-ul cu un singur subiect si design-ul grupal folosind drept criterii de comparatie . validitatea interna, fidelitatea, respectiv validitatea externa (generalitatea). Pe baza unor exemple concrete au fost prezentate variantele design-ului cu nivel de baza , fiind evidentiate conditiile de utilizare, precum si avantajele si dezavantajele fiecarui tip.
Teme
In cadrul unui program de imbunatatire a performantei scolare a fost inclus un
subiect "problema", care in mod sistematic refuza sa isi realizeze temele. Subiectului i s-a oferit un numar de probleme de matematica timp de mai multe zile fiind observata performanta sa in absenta oricarei interventii. In paralel s-a realizat pe baza chestionarii subiectului o lista cu activitatile placute.In etapa urmatoare s-a stabilit un nivel al performantei la matematica pentru care subiectului i se oferea ca recompensa posibilitatea de a realiza activitati placute (jocul de fotbal). Pe masura atingerii performantei s-a stabilit un nou nivel al performantei pentru care subiectul era recompensat.
Discutati tipul design-ului experimental cu un singur subiect utilizat in aceasta situatie si propuneti modul concret de implementare a interventiei.
2. In vederea determinarii eficientei unor metode psihologice de control al durerii s-au preconizat doua modalitati de evaluare:
(1) nivelul global al intensitatii relatate de pacienti (cu ajutorul unei scale numerice cu 10 puncte)
1 2 3 4 5 6 7 8 9 10
Absenta Cea mai intensa
durerii durere posibila
(2) comportamentele asociate durerii: expresii faciale (C1), reactii verbale (C2) si solicitarea medicatiei (C3).
a. Discutati tipul scalei de masura folosit pentru masurarea fiecarui indice?
b.) In cadrul unei etape ulterioare a cercetarii s-au evaluat cei doi parametrii ai durerii, in conditiile in care pacientului i s-a acordat medicatie analgezica la cerere. Datele inregistrate in cadrul acestei faze de interventie sunt prezentate in tabelul de mai jos :
|
Durere |
Observatii |
|||||
|
1 zi |
a 2-a zi |
a 3-a zi |
a 4-a zi |
a 5-a zi |
a 6-a zi |
|
|
Frecventa comportamentelor asociate durerii | ||||||
|
Intensitatea durerii relatate | ||||||
Reprezentati grafic variabilele si explicati:
- evolutia celor doi parametri
- efectul acordarii medicatiei la cerere , asupra parametrilor durerii.
c.) Propuneti design-ul experimental al unui studiu cu un singur subiect, care sa investigheze efectul a doua tehnici de interventie curenta (distragerea atentiei si interventia comportamentala), asupra celor doi parametri ai durerii mentionati in cadrul punctului b.
Bordens, K. & Abott, B., (1991). Research design and methods. A process approach. Mayfield Publishing, California.
Box, G.& Jenkins, G. (1976). Time series analysis forecasting and control. San Francisco, Holden Day.
Breakwell, G. & Hammond, S., (1995). Research methods in psychology. Sage Publications. London.
Dane, F., (1990). Research mehods. Brooks, Cole, California.
Graziano, A. & Raulin, M., (1993). Research methods. A process of inquiry. Harper, Collins, New-York
Kazdin, A.E., (1994). Behavior modification in applied settings. (fifth edition).Brooks/ Cole Publishing, California.
Kratochwill, T. & Levin, J., (1992). Single-case research design and analysis : new directions for psychology and education. Hillsdale, NJ., Lawrence Erlbaum Associates.
Tryon, W., (1982). A simplified time-series analysis for evaluating treatment interventions. Journal of Applied Behavior Analysis, 15, 423-429.
|