Reactorul cu amestecare perfecta continuu prezinta cāteva particularitati interesante din punct de vedere al comportarii nestationare, generate de complexitatea interactiunilor īntre fenomenele fizico-chimice ce stau la baza procesului, neliniaritatea accentuata a dependentelor īntre variabile, proprietatea de a prezenta stari stationare multiple cu stabilitati diferite etc.
Pentru a ilustra cāteva din aceste particularitati, se considera cazul, mai simplu, al reactiei singulare de transformare a unui singur reactant, A, īn faza lichida, la presiune constanta, proces caracterizat de urmatoarele variable (fig. 16):
- variabile independente:debitul de alimentare (Dv0), concentratia reactantului A īn alimentare (CA0), temperatura de alimentare (T0), debitul de agent termic (Tai);
- variabilele de stare, identice cu cele de iesire: concentratia reactantului A īn amestecul de reactie (CA) si temperatura de reactie (T).

Fig. 16 Reactorul cu amestecare perfecta continuu
Modelul matematic al reactorului consta din ecuatiile de bilant masic al reactantului A si cea de bilant al energiilor . Ecuatia de bilant masic al reactantului A este de forma:
(163)
vRA - viteza de transformare a reactantului A; V - volumul amestecului de reactie, care .variaza īn timp daca apar diferente īntre debitele de intrare (Dv0) si respectiv iesire (Dv):
(164)
Din (163) si (164) se obtine legea de variatie īn timp a concentratiei CA:
(165)
Variatia īn
timp a temperaturii amestecului de reactie se obtine plecānd de la
bilantul energiilor pe volumul de reactie. Pe un interval de timp,
(Dt infinit mic),
acesta este exprimat prin ecuatia:
(166)
Cei opt termeni din ecuatia (166) au urmatoarele semnificatii:
si (5) - energia interna totala a amestecului de reactie la momentele t si respectiv t+Dt;
si (6) - lucrul mecanic efectuat din exterior asupra mediului de reactie pentru alimentarea reactantilor, respectiv lucrul efectuat de catre mediul de reactie asupra mediului exterior pentru evacuarea produsilor;
si (7) - energia interna introdusa īn sistem cu amestecul de reactanti si respectiv energia interna evacuata din sistem cu amestecul de produsi;
- energia termica transferata din exterior catre amestecul de reactie prin peretii separatori;
(8) - lucrul mecanic efectuat de catre sistem asupra mediului exterior, urmare a variatiei volumului amestecului, DV;
Notatii utilizate:
u - energia interna a amestecului de reactie; UM - energia interna molara; DM0, DM - debite molare de amestec alimentat si respectiv evacuat; VM0, VM - volume molare pentru amestecurile alimentat si respectiv evacuat; QT - debit de caldura transferata; p0, p - presiunea de alimentare, respectiv evacuare.
Din (166) dupa rearanjarea termenilor, simplificare prin Dt si trecere la limita (Dt 0) se obtine:
(167)
Ţinānd seama de definitia entalpiei:
(168)
ecuatia (167) se transcrie īn forma ce reprezinta bilantul entalpiei:
(169)
Entalpia amestecului de reactie are expresia:
(170)
nj - cantitatea de specie j īn amestec, (kmoli); HMj - entalpia molara a speciei j; s - numarul de specii chimice (componenti) din amestec.
Din (170):
(171)
Procesul fiind presupus la presiune constanta:
(172)
Cpj - caldura molara a speciei J.
Pe de alta parte acumularea de specie J īn amestecul de reactie se obtine din ecuatia de bilant masic:
(173)
Din (171), (172) si (173) rezulta:
(174)
Īn ecuatia (174) se pot face īnlocuirile:
;
si
(175)
Cu aceste īnlocuiri, din (174)
si (169), tinānd seama ca
, rezulta:
(176)
Īn ecuatia astfel obtinuta se pot introduce īn continuare substitutiile :
; ![]()
- caldura molara medie, pe intervalul [To
, T].; cp - caldura specifica medie a amestecului ;
m - masa amestecului de reactie.
Cu aceste substitutii, ecuatia (175) devine:
(177)
Uneori capacitatea calorica a amestecului se exprima īn functie de debitul masic si caldura specifica medie a amestecului:
(178)
iar caldura generata pe unitatea de volum, īn functie de variatia de entalpie raportata la unitatea de masa de reactant de referinta (A) transformat:
(179)
Debitul de caldura transferat dinspre agentul termic catre amestecul de reactie, are expresia:
(180)
Diferenta medie de temperatura īntre agentul termic si amestecul de reactie se poate exprima printr-o medie aritmetica a diferentelor de temperatura la intrare si respectiv iesire:
(181)
sau printr-o formula de mediere geometrica:
(182)
La diferente de temperatura relativ mici īntre intrarea si iesirea agentului termic, se utilizeaza de regula medierea aritmetica. Īn aceasta varianta, ecuatia (177) devine:
(183)
Uneori se prefera exprimarea debitului de caldura transferata īn functie de debitul de agent termic, acesta fiind folosit frecvent ca variabila de comanda pentru reglarea temperaturii de reactie. Īn acest scop, se scrie o ecuatie de bilant termic pentru spatiul de circulatie a agentului termic. Cea mai simpla exprimare corespunde situatiei īn care capacitatea calorica a peretelui separator īntre mediul de reactie si agentul termic este neglijabila (se poate aproxima ca transferul termic are loc instantaneu īntre cele doua fluide). Presupunānd, īn plus, ca nu au loc pierderi semnificative de caldura si nici schimbari de stare de agregare, bilantul de caldura pe spatiul de circulatie a agentului termic este exprimat prin ecuatia:
(184)
Exprimānd diferenta medie de temperatura prin relatia (181), se ajunge la relatia:
(185)
Daca se utilizeaza formula de mediere logaritmica (182):
(186)
Din aceasta relatie se poate scrie:
;
(187)
Expresia debitului de caldura transferata devine:
(188)
Evolutiile īn timp ale concentratiei reactantului de referinta si temperaturii de reactie, se obtin prin integrarea sistemului format din ecuatiile de bilant masic (165) si bilant termic (183). De mentionat faptul ca ecuatia (183) este valabila atāt pentru procese exoterme cāt si pentru procese endoterme. Īn continuare, din punct de vedere al transformarii chimice, se trateaza situatia cea mai simpla, īn care evolutia compozitiei se poate exprima īn raport cu concentratia CA, ca singura variabila. Atunci cānd transformarea chimica are loc īntre doi sau mai multi reactanti, sau atunci cānd īn sistem au loc reactii multiple, sunt necesare, de regula, mai multe ecuatii de bilant masic, de forma (165).
Calculul starii stationare a reactorului cu amestecare perfecta
Īn regim stationar, ecuatiile (165) si (183) se particularizeaza īn forma sistemului:
(189)
(190)
din care se obtin, prin rezolvare, valorile de regim stationar, CAS si Ts, ale concentratiei si respectiv temperaturii. Rezolvarea poate fi efectuata printr-o metoda numerica (Newton Raphson etc), īnsa se poate utiliza de asemenea o metoda geometrica, ce prezinta avantajul unui plus de informatii legate de natura starii stationare. Pentru ilustrarea metodei geometrice, ecuatia (190) se transcrie īn forma echivalenta, specifica proceselor exoterme:
(191)
ce reprezinta conditia de egalitate īntre debitul de caldura generata īn reactia chimica (qG) si suma (qT) a debitelor de caldura consumata pentru īncalzirea reactantilor de la temperatura de alimentare la temperatura de reactie si respectiv transferata catre agentul termic:
(193)
(194)
Urmare a slabei
dependente īn raport cu temperatura a caldurii specifice a
amestecului de reactie (cp) si a coeficientului total de
transfer termic (KT) functia
se poate aproxima
liniara īn raport cu Ts. spre deosebire de functia qG
care este puternic neliniara. O expresie de calcul mai convenabila
pentru qG(Ts) se obtine din ecuatia de
bilant masic (189):
(195)
XAs - conversia reactantului A la starea de regim stationar.
Dependenta de temperatura qG(Ts) este influentata īn mod determinant de dependenta XAs(Ts), deductibila din ecuatia de bilant masic (189).
Pentru o reactie
reversibila de ordinul I:
;
; ( CP0=0).
Īnlocuind īn (189 si (195) rezulta:
(196)
(197)
pentru o reactie ireversibila de ordinul I (vRA=k CA), se obtine īn mod similar:
(198)
Solutia
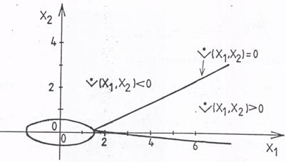
ecuatiei (192) se obtine reprezentānd grafic īn diagrama q-Ts,
functiile (194) si (197). Functia
se reprezinta
grafic printr-o dreapta. Cum se observa din figura 17, īn raport cu
pozitia dreptei
, pot apare īntre 1 si 3 solutii ale ecuatiei
(192). Īn consecinta, reactorul poate prezenta īntre 1 si 3
stari stationare (la aceleasi valori ale variabilelor
independente Dv0, CA0, T0, Tai, Da
si V). Proprietatea este denumita multiplicitate
a starilor stationare.

exoterma reversibila exoterma ireversibila
Īn cazul reactiilor singulare, starea amestecului de reactie este complet caracterizata prin valorile conversiei reactantului de referinta si temperaturii de lucru. O stare stationara definita printr-o pereche de valori (XAs, Ts) ale conversiei si temperaturii, este reprezentabila īn planul XA-T printr-un punct, denumit punct de functionare stationara. Mentinerea functionarii reactorului īntr-un astfel de punct este conditionata de mentinerea la valorile constante, corespunzatoare acestuia, a tuturor marimilor independente. Operarea īn conditii de lucru industriale este caracterizata de variatii aleatoare (denumite perturbatii) ale marimilor independente (Dv0, CA0, T0, Tai etc) care au ca efect deplasarea reactorului din punctul de functionare stationara. Se disting perturbatii temporare (la care modificarea are o durata limitata, fiind urmata de revenirea la valoarea de regim stationar) si perturbatii permanente (la care modificarea persista īn timp).
Un punct de functionare stationara este stabil, daca īn urma actiunii unei perturbatii temporare sistemul de reactie revine īn mod autonom (fara nici o actiune de reglare) īn acel punct. Īn caz contrar, punctul de functionare stationara este instabil. Īn figura 18 este reprezentata diagrama pentru cazul reactiei ireversibile exoterme, cu trei stari stationare ce corespund temperaturilor TM, TN si TP. Punctele de regim stationar corespunzatoare temperaturilor TM si TP sunt stabile, īntrucāt

![]()
Fig.
18 Analiza stabilitatii īn
diagrama q-T
la modificari pozitive ale temperaturii sistemul de reactie ajunge īn zona īn care qT>qG, de unde, dupa disparitia perturbatiei, se revine, prin racire, īn punctul de plecare. Īn mod analog, la modificari negative ale temperaturii (racire), sistemul ajunge īn zona īn care qG>qT, din care, dupa disparitia perturbatiei, revine prin īncalzire īn punctul stationar. Starea intermediara de temperatura TN, neīndeplinind aceste conditii, este o stare stationara instabila.
Din
diagrama se constata ca īn punctele ce corespund starilor
stationare stabile, M si P, panta caldurii generate este mai
mica decāt panta caldurii transferate
īn timp ce īn
punctul intermediar N, ce reprezinta o stare instabila, situatia
este inversa,
Aceste inegalitati, pot servi drept criterii pentru verificarea directa a stabilitatii unei stari stationare , S, cele doua debite de caldura, qG si qT se pot aproxima prin relatiile:
;
(199)
din care tinānd seama ca
, rezulta:
(200)
Din (200) rezulta urmatoarele:
a)
La abateri
(racire īn raport cu starea stationara)
sistemul de reactie revine prin īncalzire īn punctul stationar
(qG>qT)
daca
(201)
b)
Daca
(īncalzire īn raport cu starea stationara)
sistemul de reactie revine de asemenea, prin racire(qG<qT),
īn punctul stationar, daca relatia (201) este īndeplinita.
Inegalitatea (201) este o conditie necesara de stabilitate a starii stationare, īnsa nu si suficienta.
Īn cazul reactiilor singulare inegalitatea (201) se poate aduce la o forma explicita īn raport cu marimile ce caracterizeaza procesul. Neglijānd dependenta de temperatura a proprietatilor fizice ale sistemului de reactie, se obtin expresiile:
(202)
unde
(203)
Din ecuatia de bilant masic al reactantului A īn regim stationar:
(204)
sau
(205)
Din (203) si (205) rezulta:
(206)
Īnlocuind īn (202):
(207)
Pe de alta parte din (194) rezulta:
(208)

Īnlocuind (207) si (208) īn (201) rezulta inegalitatea echivalenta:
; (209)
unde 
Studiul pe cale analitica a stabilitatii starii stationare a reactorului
cu amestecare perfecta
Aplicarea metodei grafice descrisa mai sus presupune constructia īn prealabil a diagramei q-T, ceea ce constituie un dezavantaj al acesteia. De asemenea utilizarea inegalitatii (209) este limitata la reactii singulare. Metode mai generale si mai directe de studiu al stabilitatii starii stationare a reactorului cu amestecare perfecta continuu pot fi dezvoltate pe baza teoriei generale a sistemelor neliniare.
Modelul matematic al reactorului īn regim nestationar se poate scrie īn forma generala vectoriala:
(210)
- variabile de stare
(variabile de compozitie, temperatura de reactie, etc)
- variabile
independente (debite, temperatura de alimentare, etc)
Considerānd variabilele independente la valorile de regim stationar, ecuatia (210) se poate scrie īn forma vectoriala echivalenta:
(211)
īn care X' este vectorul variabilelor de stare, iar F este un vector functie:
; 
Ecuatiile
(300) se liniarizeaza prin dezvoltare īn serii Taylor īn jurul starii
stationare
:
(212)
Introducānd
vectorul X al variabilelor de
abatere
si matricea A de tip Jacobian avānd ca elemente
:
; 
ecuatiile (203) se pot scrie īn forma vectoriala:
(213)
Modelul
liniar (213) reprezinta o aproximare a modelului neliniar original (211),
īn domeniul din vecinatatea starii stationare
. Aproximarea este cu atāt mai buna cu cāt domeniul de
variatie a starii X' īn
jurul valorii stationare
este mai restrāns. La
limita, atunci cānd diferentele
sunt infinetizimale,
modelele (211) si (213) se pot accepta ca echivalente, astfel īncāt
stabilitatea starii stationare
se studiaza cu
ajutorul modelului liniarizat.
Pe aceasta observatie se bazeaza teorema fundamentala a stabilitatii (Varma si Mobidelli, 1995). Se considera sistemul descris īn regim tranzitoriu prin ecuatia (211) si o stare stationara obtinuta din rezolvarea ecuatiei:
(214)
Starea
stationara
este stabila
daca solutia ecuatiei (211),
, este convergenta īnspre
:
(215)
sau
(216)
īn variabilele
de abatere
:
Conform teoremei fundamentale a
stabilitatii, starea stationara
este stabila, daca sistemul liniarizat
corespunzator, descris prin ecuatia (213), este stabil, adica
solutia acestuia respecta conditia (216). Īn caz contrar, starea
stationara
este instabila.
Forma generala a solutiei ecuatiei (213) este o combinatie de exponentiale :
(217)
Cki - constante de integrare; li - valorile proprii ale matricii A (Anexa 4)
Conditia (216) este īndeplinita, daca valorile proprii li sunt reale si negative, sau complexe cu partea reala negativa.
Se considera, spre exemplificare, modelul matematic constituit din ecuatiile de bilant (165) si (177), īn care volumul V se presupune constant īn timp si concentratia reactantului A se exprima functie de conversia acestuia, XA. Ecuatia de bilant masic (165) devine:
;
; (218)
iar ecuatia de bilant termic (177):
(219)
Daca XAs si Ts sunt doua valori ce definesc un punct de functionare stationara, ecuatiile (218) si (219) se pot aproxima prin formele liniarizate:
(220-a)
(220-b)

Īn relatiile de mai sus, indicele s desemneaza valori de regim stationar. Introducānd notatiile:
;
(220-c)
ecuatiile (220-a) si (220-b) se transcriu cumulat īn ecuatia vectoriala:
(222)
Solutia ecuatiei (222) este de forma:
, i=1,2 (223)
Valorile proprii ale matricii A, l l , se calculeaza prin rezolvarea ecuatiei:
(224)
I - matricea unitate, avānd aceleasi dimensiuni cu A.
Ecuatia (224) se scrie:

sau
(225)
Conditia de stabilitate a starii stationare definita de valorile XAs, Ts se traduce prin necesitatea ca dupa o perturbatie temporara XA(t) si T(t) sa revina la valorile XAs, Ts, dupa un timp suficient de īndelungat, adica:
si respectiv
(226)
sau īn variabilele de abatere x1, x2:
si
(227)
Conditia de stabilitate (227) este satisfacuta daca valorile proprii l si l sunt reale si negative, sau numere complex conjugate cu partea reala negativa. Īn termenii coeficientilor ecuatiei (225), aceste cerinte se traduc prin inegalitatile derivate din relatiile īntre radacini si coeficienti:
(228)
(229)
Inegalitatile (228) si (229) reprezinta conditia necesara si suficienta de stabilitate, valabila pentru perturbatii de amplitudini mici, care mentin la un nivel acceptabil erorile introduse prin liniarizarea ecuatiilor de bilant. Īnlocuind expresiile de definitie pentru L, M si N īn aceste inegalitati, conditiile de stabilitate devin:
(230)
(231)
Cum se observa, conditia (231) este echivalenta cu cea dedusa prin studiul stabilitatii īn diagrama q-T, definita prin inegalitatea (209). Conditia (209) este asadar o conditie necesara, nu si suficienta. Conditiile necesare si suficiente sunt date de inegalitatile (230) si (231). Desigur, rezultatul obtinut are valabilitatea limitata pentru sistemul de reactie descris de ecuatiile de bilant (165) si (177).
Īn cazul proceselor caracterizate prin doua variabile de stare (cum este reactorul cu amestecare perfecta, descris īn paragraful anterior, prin variabilele XA si T), īn planul (XA,T), o stare stationara este asociata unui punct de coordonate (XAs, Ts). Deplasarea sistemului dintr-un punct oarecare (XAi, Ti) īn punctul stationar (XAs, Ts), descrie īn planul (XA,T) o traiectorie de stare. Convergenta traiectoriilor de stare īnspre un punct stationar poate fi continua sau oscilanta (fig. 19).

Fig. 19 Traiectorii de stare cu convergenta continua (1) sau oscilanta (2)
Convergenta continua apare atunci cānd, la descrierea prin ecuatiile diferentiale (220-a si b), valorile proprii l l , īn expresia solutiei (223), sunt reale si negative, īn timp ce convergenta oscilanta apare atunci cānd l si l sunt numere complex conjugate, cu partea reala negativa.
Este de subliniat īn acest context, faptul ca sistemul format din ecuatiile diferentiale (220-a si 220-b) poate fi transformat īn doua ecuatii diferentiale de ordinul doi liniare si omogene īn x1 si respectiv x2, echivalente, avānd solutiile deduse īn paragraful 1.2.3.2. Aceste ecuatii se obtin derivānd fiecare din ecuatiile diferentiale (220) si eliminānd una din variabile, astfel īncāt fiecare ecuatie de ordinul 2 sa ramāna īntr-o singura variabila. Se recomanda efectuarea acestor transformari ca exercitiu si particularizarea solutiei generale expusa la paragraful 1.2.3.2 pentru ecuatiile obtinute.
Metoda Lyapunov se bazeaza pe observatia ca orice traiectorie de stare care converge īnspre un punct stabil, traverseaza "vecinatati" din ce īn ce mai apropiate, situate īn jurul acestuia. O "vecinatate" din jurul unui punct poate fi descrisa ca fiind o suprafata delimitata de o curba īnchisa, ce contine acel punct. Daca, de exemplu, se considera suprafete circulare, acestea sunt descrise de ecuatii avānd forma:
, (r - raza conturului
liniar) (232)
Ecuatia (232) descrie o familie de cercuri concentrice avānd diferite raze, r. Īn notatiile introduse anterior (x1=XA - XAs si x2=T - Ts) ecuatia (232) se scrie:
(233)
sau īn forma vectoriala:
;
(234)
Īn acelasi mod se pot considera vecinatati (contururi īnchise) de forma eliptica descrise de ecuatia:
(235)
sau vectorial:
;
(236)
Īn general, o curba īnchisa īn jurul originii (care reprezinta punctul stationar īn variabilele de abatere x1 si x2), este descrisa prin ecuatia:
(a >0) (237)
Punctele de intersectie īntre o traiectorie de stare convergenta īnspre origine si o familie de curbe īnchise, de parametru a, descrise prin ecuatia (237), vor verifica simultan atāt ecuatiile ce descriu traiectoria (de exemplu (218) si (219) sau (220-a) si (220-b)) cāt si ecuatia ce descrie familia de contururi īnchise (237). Vectorul X ce reprezinta coordonatele acestor puncte si functionala V(X) īndeplinesc urmatoarele proprietati:
(238)
(239)
(240)
(241)
- norma vectorului X.
O functionala V(X) cu proprietatile de mai sus este denumita functionala Lyapunov . Inegalitatea (240) reprezinta conditia ca, īn timp, contururile īnchise pe care le intersecteaza traiectoria de stare sa aiba dimensiuni din ce īn ce mai mici, ceea ce garanteaza convergenta continua īnspre punctul stationar, de coordonate (0,0) īn planul (x1, x2) sau (XAs, Ts) īn planul (XA,T)..
Exemplu:
Fie forma particulara a ecuatiilor de stare:
(242)
(243)
si
(contur circular).
Punctele de intersectie īntre o traiectorie descrisa de
ecuatiile (242) - (243) si cercurile din jurul originii de
ecuatie
(a>0) īndeplinesc conditiile (238), (239) si (241),
prin natura functionalei V(X).
Pentru a verifica daca si conditia (230) este īndeplinita,
se calculeaza expresia derivatei:
(244)
Derivatele
si
sunt date de
ecuatiile de stare ce descriu evolutia īn timp a procesului (232)
si (233). Īnlocuind rezulta:
![]()
sau
(245)
Traiectoriile descrise de ecuatiile (242) si (243) sunt asadar convergente īnspre origine. Punctul stationar reprezentat de originea planului (x1, x2) īn aceasta descriere, este un punct stationar stabil.

Fig. 20 Traiectorie de stare si vecinatati circulare, īn jurul unui punct stationar stabil
Se propune analiza stabilitatii unei stari stationare a procesului descris prin sistemul de ecuatii diferentiale liniare īn variabilele de abatere x1, x2.xn (ecuatii obtinute prin liniarizarea modelului matematic al procesului īn jurul starii stationare analizate) :
(246)
sau ecuatia vectoriala echivalenta:
(247)
īn care:
; 
Pentru aplicarea metodei Lyapunov, se defineste o functionala de forma:
(248)
si se analizeaza conditiile īn care aceasta respecta conditiile (238) - (241) care garanteaza stabilitatea. Daca matricea P este definita pozitiv, sunt asigurate proprietatile reprezentate prin relatiile (238), (239) si (241).
Se analizeaza, īn continuare, conditiile īn care este īndeplinita proprietatea (240). Din (248) si (247) rezulta:
(249)
![]()
sau
(250)
(251)
Proprietatea (240) este īndeplinita, daca matricea Q definita prin relatia (251) este definita pozitiv. Existenta a doua matrici definite pozitiv, P si Q, corelate prin intermediul relatiei (251), reprezinta conditia necesara ca functionala V(X) definita prin relatia (248) sa fie o functionala Lyapunov, care garanteaza stabilitatea procesului descris prin ecuatia (247).
Pentru modelul reprezentat prin ecuatiile diferentiale liniare (220-a) si (220-b), sau īn forma vectoriala, prin ecuatia (222), matricea P este de dimensiuni (2 2), iar functionala V(X) are forma:
(252)
Īn relatia (251) se alege una din matricile P sau Q, definita pozitiv, urmānd ca cealalta sa fie calculata si sa fie verificat daca este definita pozitiv.
Se presupune īn continuare matricea Q īn cea mai simpla forma, aceea de matrice unitate:
(253)
Elementele matricii P se calculeaza din ecuatia vectoriala (241):
(254)
Efectuānd calculele rezulta:
(255)
sau
(256)
(257)
(258)
(259)
Elementele matricii A fiind cunoscute (definite prin relatia (220-c)), matricea P se calculeaza din ecuatiile (257) - (259). Din (257) si (258) rezulta p12=p21 (matricea P este simetrica). Matricea P, astfel obtinuta, este definita pozitiv daca valorile determinantilor principali ai acesteia sunt strict pozitive. Rezulta astfel inegalitatile necesare pentru asigurarea proprietatii de stabilitate:
(260)
(261)
Aplicatie numerica: Se considera urmatoarele valori ale parametrilor constructivi si de operare ai reactorului descris prin ecuatiile de bilant (165) si (177):
V=1.57 m3; ST = 7.07 m2; KT= 400 Kcal/m2hK; Dv0= 84.15 l/min; CA0= 2.8 mol/l; r=800 kg/m3;
cp= 0.7 kcal/kgK; T0=
=350 K; DHRA= -40Kcal/mol; vRA= k(T) CA;
.
Pentru acest sistem de reactie se obtin trei puncte de functionare stationara:
M1(XAs=0.035; Ts=353K), M2(XAs=0.5; T=400K) si M3(XAs=0.909; Ts=440.6 K).
Se va expune īn continuare aplicarea procedurii expusa mai sus, pentru verificarea stabilitatii starii stationare M3.
a) Calculul elementelor matricii coeficientilor, A, īn modelul liniarizat (relatia 220-c).
;
mol/l min
mol/l min K ;
;
;
K;
;
;
; ![]()
; ![]()
; ![]()
Solutia sistemului de ecuatii (256) - (259) este: p11=1.43; p12=p21= - 235.21; p22= 42770.925.
Inegalitatile (260) si (261) fiind verificate, punctul studiat, M3 (XAs=0.909; Ts=440.6 K), este un punct stationar stabil.
Confirmarea stabilitatii locale are o utilitate limitata,
īntrucāt indica doar faptul ca traiectoriile din vecinatatea
unui punct stationar sunt convergente, fara īnsa a furniza
informatii referitoare la extinderea acestei vecinatati.
Vecinatatea unui punct cu proprietatea enuntata mai sus este
denumita regiune de stabilitate. Convergenta traiectoriilor īntr-o
regiune de stabilitate poate avea loc fie īnspre un punct de regim
stationar (fig. 21-a), fie īnspre o traiectorie stabilizata de tip
oscilant (fig. 21-b), reprezentata īn planul fazelor printr-o curba
īnchisa. Regiunea de stabilitate descrisa īn primul caz, este
denumita regiune de stabilitate asimptotica si se
caracterizeaza matematic prin respectarea īn orice punct al acesteia, a
inecuatiei
. Traiectoria stabilizata de tip oscilant, descrisa
īn al doilea caz, apare īn cazurile de exceptie, īn care
. Conditia generala
defineste
asadar la modul general o regiune de stabilitate.
Etapele determinarii regiunilor de stabilitate ale reactorului R descris prin variabilele de stare CA si T sunt urmatoarele:
se alege o
functionala Liapunov
;
se
determina expresiile matematice ale derivatei acesteia īn raport cu timpul
si se reprezinta grafic īn spatiul starilor (planul stare CA
- T), curba descrisa de ecuatia
, care delimiteaza doua semiplane.

Fig. 21-a Regiuni de stabilitate asimptotica ; convergenta continua; (b) convergenta oscilanta

Fig. 21-b Regiune de stabilitate oscilanta

Fig. 22 Determinarea unei regiuni de stabilitate
Se
determina conturul īnchis V(X)=ct.,
de dimensiune maxima situat īn semiplanul
. Acest contur constituie o regiune de stabilitate
asimptotica. Daca īn expresia functionalei (248) se introduce P=I
(matricea unitate), regiunea de stabilitate asimptotica V(X)=ct este reprezentata prin
suprafata din interiorul unui cerc, tangent la curba
(v.fig. 21-a). Metoda
expusa permite determinarea ordinului de marime a abaterilor DCA si DT admise, īn conditiile mentinerii
stabilitatii īn jurul punctului de functionare
stationara. Conditiile de stabilitate furnizate de aceasta
metoda sunt conditii suficiente, īnsa nu neaparat necesare.
Metoda Liapunov furnizeaza informatii necesare determinarii unei
regiuni de stabilitate asimptotica, fara a garanta daca s-a
identificat īntreaga regiune reala de stabilitate a reactorului. Forma
si dimensiunile acestei regiuni sunt dependente de forma functionalei
V(X) cu care se lucreaza.
Aplicatie:
Sa se identifice o regiune de stabilitate a unui reactor R, īn care
are loc o reactie ireversibila de ordinul I. Se cunosc
urmatoarele date:
h-1
Parametrii de operare (valori de regim stationar):
CA0 = 4.325 kmoli/m3; V= 2.83 m3; Dv = 5.66 m3/h; KT ST=226.86 kcal/h K; T0=Ta= 294 K
Constantele sistemului de reactie: DHRA=-5557.2 kcal/kmol; r cp= 801.2 kcal/m3 K
Īn regim dinamic functionarea reactorului este descrisa prin ecuatiile (165) si (177) scrise īn forma:
;
(262)
(263)
iar īn regim stationar:
;
(264)
(265)
Prin solutionarea sistemului de ecuatii (264) - (265) se obtine un singur punct de functionare stationara: CA,s=2.692 kmol/m3; Ts= 304.786 K
Se definesc abaterile temperaturii si concentratiei:
; ![]()
Prin scaderea ecuatiei (265) din ecuatia (263) si a ecuatiei (264) din ecuatia (262), se obtine:
(266)
(267)
se introduc īn continuare notatiile:
;
;
;
;
; ![]()
Īnlocuind īn (266) si (267) rezulta:
(268)
(269)
Se propune o functionala Liapunov de forma:
; ![]()
Īnlocuind
si
din (268) si
(269), dupa regruparea termenilor se obtine:

Se reprezinta grafic ecuatia
si se
identifica semiplanele īn care
si
(fig. 23). Se
traseaza apoi elipsa de dimensiune maxima situata īn regiunea
, din care rezulta abateri admise ale temperaturii de
pāna la 11 °C īn jurul punctului de functionare stationara.
Ţinānd seama de forma functionalei propuse, regiunea de stabilitate
asimptotica va fi reprezentata printr-o suprafata
eliptica, situata īn semiplanul īn care
(fig. 23).
Pentru un sistem (reactor chimic) descris īn regim dinamic prin ecuatia de stare vectoriala:
; ![]()
metoda Krasovskii utilizeaza o functionala V(X) de forma:
(270)
P(n n) - matrice patrata definita pozitiv

Fig. 23 Determinarea unei regiuni de stabilitate eliptice pentru reactorul R
Ca urmare a dependentei univoce īntre X si F, īn cazul īn care n=2, unei elipse din planul (f1, f2) īi corespunde o curba īnchisa īn planul (x1, x2). Pentru n>2 se obtin hipersuprafete īnchise atāt īn spatiul (f1, f2, .) cāt si spatiul (x1, x2, .).
V(X) astfel definita
satisface conditiile unei functionale Liapunov, cu exceptia
conditiei
, ce ramāne a fi verificata. Se analizeaza īn
continuare aceasta conditie:
(271)
(272)
(273)
Īnlocuind
īn (271) si
tinānd seama ca
, se obtine īn continuare:
(274)
Se noteaza:
(275)
Rezulta:
(276)
Conditia
, se transforma astfel īn conditia ca matricea
patrata Q sa fie
definita pozitiv. Īn conformitate cu metoda Krasovskii, punctele din interiorul unei regiuni de stabilitate
asimptotica satisfac conditia ca matricea Q definita prin relatia (275) sa fie definita
pozitiv.
Etapele determinarii regiunilor de stabilitate a reactorului R sunt urmatoarele:
Se alege
functionala
, presupunānd īntr-un mod oarecare elementele matricii P;
Se determina elementele matricii J si īn continuare cele ale matricii Q;
Se determina regiunea īn care matricea Q este definita pozitiv;
Se
stabileste conturul īnchis descris de ecuatia V(X)=ct, de dimensiune maxima situat īn semiplanul
, deci semiplanul īn care matricea Q este definita pozitiv. Acest contur delimiteaza o
regiune de stabilitate asimptotica.
Īn continuare se prezinta modul de determinare prin aceasta metoda a regiunii de stabilitate a unui reactor R, īn care are loc o reactie ireversibila de ordinul I.
Se reiau ecuatiile (268) si (269) sub forma:
![]()
![]()
Se propune:
;
; (277)
;
(278)
Se calculeaza elementele matricii Q:
(279)
Pentru ca matricea Q sa fie definita pozitiv este necesar sa fie īndeplinite conditiile:
(280)
Se traseaza curbele q11=0 si
si se stabileste conturul īnchis caracterizat de
ecuatia:
, de dimensiune maxima situat īn semiplanul
, īn care matricea Q
este definita pozitiv (deci semiplanul īn care sunt īndeplinite simultan
inecuatiile (280)) . Acest contur este un cerc īn planul (f1, f2)
si o curba īnchisa de o alta forma īn planul fazelor
(x1, x2)
![]() |
Pentru o anumita metoda de determinare a
regiunii de stabilitate asimptotica, se poate identifica regiunea de
extindere maxima pe care este garantata stabilitatea,
solutionānd problema de maximizare a parametrului k din ecuatia V(X)
= k, īn conditiile
respectarii restrictiei
.
Solutionarea acestei probleme este posibila prin metoda multiplicatorilor Lagrange, maximizānd functionala:
; (L - multiplicator Lagrange). (281)
Din conditiile de maxim, rezulta ecuatiile:
(282)
Din rezolvarea sistemului (282) rezulta solutiile:
![]()
Notānd
, regiunea maxima de stabilitate asimptotica este
delimitata de conturul descris de ecuatia:
(283)
|